絮凝(凝聚、絮凝)是膠體化學的重要原理之一,它被應用于水質凈化成為重要單元操作之一.通過絮凝可以使水中細小的懸浮顆粒凝并成大的絮體,然后從水中沉降分離,因此絮凝作用的對象主要是水中由不溶性物質形成的憎液溶膠及懸浮顆粒,試圖直接用絮凝法去除水中溶解性雜質或微量有機物的做法基本是無效的.在某些情況下,絮凝作用所形成的絮體會將上述雜質吸附于其上發生共沉淀,這可以看作是一種協同效應,但此協同作用所產生的凈化效果是很有限的.
現今世界上各類工業企業仍然向環境排放大量的重金屬離子,如鎘、汞、鉛、砷、鉻、銅、鋅、鉈、鎳、鈹等,由于這些重金屬不能被微生物降解而成為持久性污染物,極大地危害著生態環境和人民的身體健康,例如歷史上國外曾發生的水俁病和痛痛病、國內近年來頻發的血鉛病等皆由重金屬排放所致.此外重金屬是寶貴的資源,如不能回收,則造成經濟損失.因而對重金屬離子的污染進行治理具有及其重要的意義.
排放到水環境中的重金屬離子常常吸附于水中各種顆粒物上,自身的水解也可使之成為顆粒態.因此采用絮凝法,可以使重金屬在水中的含量得到一定程度的降低.但尚有相當部分的重金屬以溶解態存在于水中,主要為各種配合物,例如各種配體和配位數不同的羥基配離子、氯配離子、氨配離子、腐殖質配合物及其他無機和有機配合物等.由于這些配合物具有相當的穩定性,一方面使重金屬的溶解度得到了很大的提高,另一方也使常見高分子絮凝劑分子中的配位基(如羧基)難于與上述配合物中的配體發生配位競爭,因而現有絮凝劑品種不能有效地將溶解態重金屬去除,僅靠絮凝單元操作不能達到水質標準.對于這些溶解態重金屬,常用的處理方法是在絮凝處理單元之前加化學沉淀處理,或在絮凝單元之后加離子交換、吸附、反滲透、電滲析等處理單元作進一步深度處理,這樣就增加了處理單元數,大大提高了處理費用.
近年來發現,將重金屬離子的某些強配位基團通過反應連接到高分子絮凝劑分子中可以賦予其對重金屬離子的捕集功能,由此合成了一種新型“高分子重金屬絮凝劑”.將這種高分子重金屬絮凝劑用于水處理的絮凝單元,不僅能通過母體高分子絮凝劑的“電中和”、“架橋絮凝”及“網捕卷掃”等作用降低水中致濁物質的含量,也能依靠配位或螯合作用去除水中溶解態的重金屬,因而可減少后續處理單元數,降低處理成本,改善處理效果,使重金屬離子的處理變得簡單易行.
眾所周知,在各種陰離子的金屬難溶鹽和金屬氫氧化物中,金屬硫化物的溶度積是最小的,如表 1所示,因此在化學沉淀法中用硫化物脫除重金屬的效果是比較好的.受此啟發將巰基(—SH)或含有巰基的官能團,如二硫代羧酸(鹽)基(
),引入到高分子絮凝劑的分子中,制備出了性能優異的高分子重金屬絮凝劑,現將其制備原理、性能和作用機理分別敘述如下.
表 1 重金屬難溶化合物的溶度積常數(Ksp)
2 高分子重金屬絮凝劑的制備原理
2.1 以聚乙烯亞胺為母體制備高分子重金屬絮凝劑
通過向聚乙烯亞胺分子上引入二硫代羧基或巰基可以制備出兩種高分子重金屬絮凝劑:①聚乙烯亞胺基黃原酸鈉(PEX);②巰基乙酰聚乙烯亞胺(MAPEI).
其中PEX是在堿性條件下使聚乙烯亞胺(PEI)與二硫化碳(CS2)發生黃原酸化反應,在其分子上引入二硫代羧基,從而獲得的具有捕集重金屬離子和去除濁度雙重功能的高分子絮凝劑.PEX的制備原理可以用式(1)~式(2)表達.

MAPEI則是采用聚乙烯亞胺(PEI)、巰基乙酸(TGA)為原料,以EDC鹽酸(EDC.HCl)為活化劑,通過酰胺化反應將巰基引入聚乙烯亞胺分子鏈上得到的具有捕集重金屬離子和去除濁度雙重功能的高分子絮凝劑.
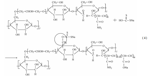
2.2 以交聯淀粉-丙烯酰胺為母體制備高分子重金屬絮凝劑
采用交聯淀粉為母體,在酸性條件下以硝酸鈰銨為引發劑,以丙烯酰胺為單體,合成交聯淀粉-聚丙烯酰胺接枝共聚物(CSA);又在堿性條件下,使該接枝共聚物與二硫化碳作用,生成交聯淀粉-聚丙烯酰胺-黃原酸酯(CSAX).由于其結構中同時存在重金屬離子的強配位基黃原酸基和具有絮凝功能的聚丙烯酰胺側鏈,因而可同時捕集重金屬離子和去除濁度.其中CSA與二硫化碳的反應可以用式(3)~式(4)表達.


2.3 以殼聚糖為母體制備高分子重金屬絮凝劑
通過在殼聚糖分子上引入巰基,可分別制備出兩種高分子重金屬絮凝劑:①巰基乙酰殼聚糖(MAC);②2-氨基-3-巰基丙酰殼聚糖(MCC).
其中MAC是以殼聚糖(CTS)、巰基乙酸(TGA)為原料,以EDC鹽酸(EDC · HCl)為活化劑,通過酰胺化反應在CTS分子上接上對重金屬離子有強配位能力的巰基乙酰,從而合成的具有捕集重金屬和除濁雙重功能的高分子絮凝劑.制備原理可以用式(5)~式(6)表達.

MCC則是以殼聚糖、L-半胱氨酸(2-氨基-3-巰基丙酸HSCH2CH(NH2)COOH)為原料,通過酰胺化反應將巰基引入殼聚糖分子上制備的一種具有重金屬捕集功能的高分子重金屬絮凝劑.
3 高分子重金屬絮凝劑的效能與作用原理
3.1 PEX的效能與作用原理
3.1.1 去除濁度
對PEX去除濁度的效能曾在兩種情況下做了對比:①以高嶺土配制濁度為90 NTU的水樣,調節pH值為不同值,投加不等量的PEX進行絮凝實驗;②以高嶺土配制濁度為90 NTU的水樣,加入一定量的重金屬離子Ni(Ⅱ)或Cu(Ⅱ),使其濃度分別為25 mg · L-1,不調節體系pH值(pH約為7.7),投加不等量的PEX進行絮凝實驗.實驗結果如圖 1所示.

圖 1 pH值和共存重金屬離子對PEX除濁性能的影響(a. pH值;b.共存離子)
由圖可知,pH值對PEX除濁性能具有較大的影響,總趨勢是濁度的去除率隨著體系pH值的升 高而降低,但在PEX等電點(pH 3.8)時濁度的去除率最大,達98.6%.當體系中共存有重金屬離子時,濁度的去除率明顯升高,例如當pH約為7.7及僅有濁度存在的條件下,濁度的最高去除率為75.7%,在該體系中若共存有Ni(Ⅱ),濁度的最高去除率可達99.0%,共存有Cu(Ⅱ)時,濁度的最高去除率可達98.1%.
3.1.2 去除重金屬
(1)去除單一重金屬
取僅含有一種類型重金屬且濃度均為25 mg · L-1的水樣,調節其pH為不同值后,投加不等量的PEX進行絮凝實驗,研究了在不同pH值下PEX去除多種單一重金屬的效果.代表性實驗結果舉例如圖 2所示.
圖 2 PEX去除單一重金屬的性能(a. 除Ni2+;b. 除Cu2+;c. 除Pb2+;d. 除Cr(Ⅵ))
(2)去除混合重金屬
為探明PEX對常見重金屬離子的選擇性順序,分別取質量濃度相同(均為25 mg · L-1)和物質量濃度相同(均為0.25 mmol · L-1)的Cd(Ⅱ)、Cu(Ⅱ)、Ni(Ⅱ)、Pb(Ⅱ)、Zn(Ⅱ)混合重金屬離子水樣,調節pH為6.0,投加不等量的PEX(MW1×104),進行絮凝實驗,研究了PEX去除混合重金屬離子的效能,代表性實驗結果舉例如圖 3所示.
圖 3 PEX去除混合重金屬(a.各為25 mg · L-1;b.各為0.25 mmol · L-1)
以上僅為研究結果舉例,廣泛深入的研究表明:
PEX絮凝劑對水樣中Ni2+、Cu2+和Hg2+等重金屬離子具有尤為理想的去除效果;
·PEX的分子量對去除重金屬離子的效果有顯著影響.PEX(MW1×104)、PEX(MW6×104)對單一重金屬離子Ni(Ⅱ)、Cd(Ⅱ)、Pb(Ⅱ)、Zn(Ⅱ)、Cu(Ⅱ)、Cr(VI)均有較好的去除效果,但PEX(MW60×104)對它們的去除效果欠佳;對上述單一重金屬離子捕集能力的順序為PEX(MW1×104)>PEX(MW6×104)>PEX(MW60×104);
·pH值對PEX捕集重金屬離子的效果有顯著的影響.除Cr(Ⅵ)外去除率隨著pH值升高而升高.雖然pH值較低時去除率較低,但只要增加PEX的投藥量仍然可達較高的去除率;
·PEX最佳投加量隨著重金屬離子初始濃度的增加而增加,隨著重金屬離子初始濃度的減小而減小,表現出近似化學計量關系,對于大多數受污染水樣,重金屬離子的濃度并不很高,因而只要pH值適宜,在較低的投藥量下就可以達到良好的去除效果;
·PEX有較強的重金屬離子配位競爭能力,水中常見無機陰、陽離子對PEX捕集重金屬離子的影響均較小,促進或抑制作用不明顯.廢水中常見有機配體對PEX捕集重金屬離子的影響決定于配位競爭和類聚效應,當有機配體濃度較大或與重金屬配合物的穩定常數較高時,配位競爭占主導,起抑制作用,當有機配體與重金屬配合物穩定常數與PEX相當或濃度較低時,類聚作用為主,發生共同螯合,起促進作用;
·濁度對PEX捕集重金屬離子的影響較小,但重金屬離子的存在可促進PEX對濁度的去除;
·當多種重金屬離子共存于水中時,PEX對重金屬離子的去除表現出一定的選擇性.水中有Cd(Ⅱ)、Cu(Ⅱ)、Ni(Ⅱ)、Pb(Ⅱ)、Zn(Ⅱ)5種混合離子時,PEX首先對水樣中的Cu(Ⅱ)、Pb(Ⅱ)表現出良好的去除效果.當PEX投加量較低時,去除順序為Cu(Ⅱ)>Pb(Ⅱ)>Ni(Ⅱ)>Zn(Ⅱ)>Cd(Ⅱ);當PEX投加量較高時,去除順序為Cu(Ⅱ)>Pb(Ⅱ)>Cd(Ⅱ)>Ni(Ⅱ)>Zn(Ⅱ).
3.1.3 去除重金屬的原理
PEX捕集重金屬離子的主要作用機理包括了重金屬離子與PEX分子鏈上的二硫代羧基的配位或螯合作用及與PEX分子鏈上的胺基的配位作用,其中與二硫代羧基的螯合作用發揮主要的捕集功能,它可以是重金屬離子與同一分子鏈上的兩個以上相鄰配位基之間的螯合,也可以是重金屬離子與分屬于多個分子鏈上配位基之間的螯合,以后者為例,表示如下:

水中Cr(Ⅵ)通常以陰離子形態存在,不能與PEX分子上的黃原酸基發生配位作用,但PEX分子上的黃原酸基具有強還原性,在酸性條件下可將Cr(Ⅵ)還原為Cr3+,Cr3+再與PEX分子上的其余黃原酸基發生螯合沉淀反應,從而達到去除Cr(Ⅵ)的目的.
3.2 CSAX的效能與作用原理
3.2.1 去除濁度
取濁度為100 NTU,pH值為5.0的水樣(含25 mg · L-1 Cu2+),投加不等量CSAX,絮凝沉淀后測定水中殘余濁度,求除濁效率,并與交聯淀粉黃原酸酯(CSX)、交聯淀粉丙烯酰胺接枝共聚物(CSA)做了對比;另取濁度為100 NTU的水樣(含25 mg · L-1 Cu2+),將其pH值分別調整為2.0、3.0、4.0、5.0,投加不等量CSAX,絮凝沉淀后測定水中殘余濁度,研究在不同pH值下CSAX的濁度去除率,實驗結果如圖 4所示.
由圖 4a可以看出,具有聚丙烯酰胺側鏈的CSAX和CSA均具有較強的除濁能力,不具有聚丙烯酰胺側鏈的CSX的除濁能力較差.除濁能力的順序為CSA>CSAX>CSX,可見CSA的黃原酸化使其除濁能力略有降低.由圖 4b可知,隨CSAX投加量的增加,除濁效率先升后降,在25~30 mg · L-1之間出現最佳值.當pH分別為3.0、4.0和5.0時,在最佳投藥量時濁度的去除率分別達到93.4%、94.8%和96.4%,表現為濁度去除率隨pH值升高而升高.但當pH=2.0時濁度去除率為96.1%,高于pH 3.0和pH 4.0,不符合上述規律,這可能是因為H+使高嶺土表面電荷符號有所改變,導致濁度的去除率有所升高.

圖 4 CSAX 的除濁性能(a.與CSX、CSA的對比;b.不同pH值下的性能)
3.2.2 去除重金屬
(1)去除單一重金屬
取單一重金屬濃度為25 mg · L-1,濁度為100 NTU的水樣,將其pH值分別調整為2.0、3.0、4.0、5.0,投加不等量的CSAX,絮凝沉淀后測定水中殘余重金屬的濃度,研究了在不同pH值時CSAX對重金屬的去除效率,代表性實驗結果舉例如圖 5.
圖 5 CSAX去除單一重金屬的性能(a.除Cu2+;b.除Cr(Ⅵ);c.除Ni2+;d.除Hg2+)
(2)去除混合重金屬
取質量濃度相同(均為25 mg · L-1)的Cd(Ⅱ)、Cu(Ⅱ)、Ni(Ⅱ)、Pb(Ⅱ)、Zn(Ⅱ)混合離子水樣,調節pH為6.0,投加不同量的CSAX,或固定CSAX投加量,調節pH為不同值,進行絮凝實驗,結果如圖 6所示.
圖 6 CSAX去除混合重金屬(a.不同投藥量b.不同pH值)
以上僅為代表性研究結果舉例,廣泛深入的研究表明:
·CSAX對水中重金屬離子Cu2+、Pb2+、和Cr(Ⅵ)有較高的去除率,但對Ni2+的去除效果不佳;
·水的pH值對CSAX去除重金屬離子和濁度有重要影響,去除率隨pH值升高而升高.在較高的pH值下,用較少的絮凝劑就可達到較高的去除率,而在較低的pH值下,需提高絮凝劑的投加量才能達到較高的去除率;
·CSAX有較強的重金屬離子配位競爭能力,水中常見陽離子對CSAX去除重金屬離子和濁度略有影響,一般起促進作用,Cl-、NO3-、SO42-、EDTA和腐殖酸等對CSAX去除重金屬離子和濁度的影響不盡相同,總的規律是Cl-、NO3-、SO42-的影響可以忽略不計,雖然EDTA的抑制作用較為明顯,但CSAX的配位競爭能力遠大于EDTA,腐殖酸存在時出現類聚效應,與CSAX發生共同螯合作用,因而能起到促進去除重金屬離子的作用;
·CSAX對重金屬離子的去除能力的順序為:Cu2+> Pb2+>Cd2+> Ni2+>Zn2+.
3.2.3 去除重金屬的原理
CSAX捕集重金屬離子的主要作用機理包括了重金屬離子與其分子上的二硫代羧基的配位或螯合作用及與PAM側鏈上的胺基或羥基(水解生成)的配位作用,其中與二硫代羧基的螯合作用發揮主要的捕集功能,它可以是重金屬離子與同一分子鏈上的兩個以上相鄰配位基之間的螯合,也可以是重金屬離子與分屬于多個分子鏈的配位基之間的螯合,以后者為例,表示如下:

水中Cr(Ⅵ)通常以陰離子形態存在,不能直接被除去,但CSAX分子上的黃原酸基具有強還原性,在pH 2.0的酸性條件下將Cr(Ⅵ)還原為Cr3+,再把pH值提升至5.0時,CSAX分子上的黃原酸基的電離度增大,生成的黃原酸根與Cr3+發生配位沉淀反應,從而達到去除Cr(Ⅵ)的目的.
3.3 MAC的效能與作用原理
3.3.1 去除濁度
取pH=5.5,濁度為90 NTU的水樣,按以下方法做絮凝實驗以期比較:①單獨投加殼聚糖溶液除濁;②單獨投加MAC除濁;③在有Cu2+(25 mg · L-1)的條件下,投加MAC除濁,結果如圖 7a所示.在濁度為160 NTU的高嶺土懸濁液中(含25 mg · L-1 Cu2+),調節溶液pH值至不同值,投加MAC除濁,結果見圖 7b.
圖 7 MAC的除濁性能(a. 與CTS的比較;b. pH值和重金屬離子的影響)
從圖 7a可以看出,殼聚糖和MAC都具有除濁的能力.在水樣不含有重金屬離子的情況下,MAC的除濁能力低于殼聚糖,當水樣含有重金屬離子時,二者的除濁能力相當.圖 7b說明pH值對MAC的除濁能力有一定影響,pH值較低時除濁效果較好,pH值較高時除濁效果較差.殼聚糖本身雖然有一定的除濁效能,但它只能溶于酸性介質,因而限制了其作為絮凝劑的使用操作.殼聚糖經巰基乙酸改性成為MAC后,除濁能力相當,但可以在較高的pH值條件下溶解,水溶性得到了改善,使其作為絮凝劑應用變得簡單易行.
3.3.2 去除重金屬
(1)去除單一重金屬
取濃度為25 mg · L-1的僅含銅或鎳水樣,將其pH值分別調整為5.3和7.8,分別投加不等量的MAC、TGA作絮凝實驗,對比它們去除重金屬離子的性能,結果如圖 8a、8b所示;取濃度為25 mg · L-1的含銅(并含濁)水樣或含鎘水樣,將其pH值分別調整為不同值,投加不等量的MAC,絮凝沉淀后,測定水中殘余重金屬的濃度,研究在不同pH值時MAC對重金屬的去除效率,實驗結果如圖 8c,8d所示.
圖 8 MAC去除單一重金屬的性能(a.與TGA除Cu2+的比較;b.與TGA除Ni2+的比較;c. 除Cu2+;d. 除Cd2+)
(2)去除混合重金屬
用MAC處理含Cu2+、Ni2+和Cd2+(均為25 mg · L-1)的廢水,研究MAC對重金屬離子的選擇性,結果如圖 9所示.

圖 9 MAC去除混合重金屬
以上僅為代表性研究結果舉例,廣泛深入的研究表明(章敏等,2007;Chang et al., 2009; 張翠玲和常青,2010;張文杰等,2011;Xu et al., 2013):
·MAC 對含Cu2+、Cd2+ 、Ni2+的廢水均能達到較好的處理效果,投加量少,生成絮體時間短,沉降性好,易于固液分離,出水水質好,出水pH值在6.0~8.0之間;
·殼聚糖不具有去除重金屬離子的性能,TGA具有一定的去除重金屬離子的性能,但MAC去除重金屬的性能遠高于TGA;
·殼聚糖的分子量(MW)和脫乙酰度(DD)對MAC的去除能力有重要影響,MW為2×105~4×105,DD>90%時,MAC表現出較好的性能;
·以MAC為絮凝劑時,pH值有重要影響.重金屬的去除率隨著pH值的升高而升高,而濁度去除率隨著pH值的升高而降低,對于既含有重金屬又含有濁度的水,選擇pH值時應兼顧二者;
·MAC 捕集混合重金屬離子時表現出一定的選擇性,該選擇性順序與溶液的pH值有一定關系.例如當pH=7.0 時為:Cd2+>Cu2+>Ni2+,當pH=5.0 時為:Cu2+>Cd2+>Ni2+;
·以MAC為絮凝劑時,重金屬離子和濁度會相互促進其去除,從而使兩者都得到很好的去除;
·廢水中的堿金屬、堿土金屬離子、Fe3+、Cl-、NO3-、SO42-、有機配位劑的存在對MAC 去除重金屬離子的影響不盡相同,或促進或抑制,例如水中的腐殖酸能促進重金屬離子的去除,EDTA會抑制重金屬離子的去除.可利用其促進作用使重金屬離子得到更好的去除,可通過增加MAC 的投加量來減小或消除其抑制作用.具體參見污水寶商城資料或http://m.bnynw.com更多相關技術文檔。
3.3.3 去除重金屬的原理
MAC捕集重金屬離子的主要作用機理包括了重金屬離子與其分子上巰基的配位或螯合作用及與殼聚糖分子上的亞胺基的配位作用,其中與巰基的螯合作用發揮主要的捕集功能,它可以是重金屬離子與同一分子鏈上的兩個以上相鄰配位基之間的螯合,也可以是重金屬離子與分屬于多個分子鏈的配位基之間的螯合,以后者為例,表示如下:

4 結論與展望
為了去除水中的重金屬離子,傳統化學沉淀法以石灰作為沉淀劑,投藥量大,產生的沉淀物為細小顆粒,沉降速度慢,難于與水分離,出水pH值高,兩性重金屬離子可能會出現再溶現象.在遇到重金屬污染的突發事件時,以往的做法是將大量石灰和聚合氯化鋁投入水中,操作十分粗放,去除效果差.至于目前已有研究的重金屬捕集劑,由于僅有重金屬捕集功能,沒有絮凝沉淀作用,所以沉降速度較慢,分離效果較差.
將重金屬離子的某些強配位基團通過化學反應連接至高分子絮凝劑分子上可制備具有重金屬捕集功能的高分子重金屬絮凝劑.高分子重金屬絮凝劑既可去除水中濁度又可去除水中的可溶性重金屬離子,具有雙重功能.由于高分子重金屬絮凝劑在水中產生絮體,所以沉降速度快,易與水分離,出水清澈,pH值適宜,克服了傳統方法的不足.
本文所介紹的高分子重金屬絮凝劑中,PEX去除重金屬離子的效能最高,但原料聚乙烯亞胺較貴,所以制備成本最高;CSAX去除重金屬離子的效能較高,制備成本較低,但制備流程長而復雜;MAC去除重金屬離子的效能較高,制備方法簡單,成本也較低.其中PEX已通過了中試生產,應用于一些企業的重金屬廢水的處理,顯示了良好的效果.
總之,高分子重金屬絮凝劑具有很好的研究及應用前景,可以說本研究拓展了絮凝劑的功能,開創了絮凝學研究的新領域.作者衷心希望高分子重金屬絮凝劑的研究能得以繼續、完善提高,在不久的將來會出現更多更經濟高效的品種.







