1 引言
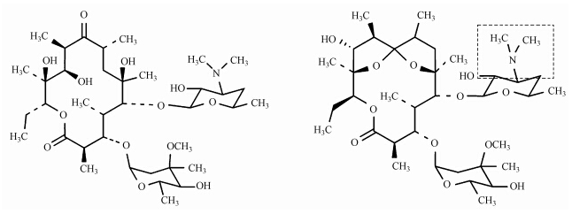
隨著抗生素廣泛使用,環境中檢測到的抗生素種類繁多,其環境殘留濃度也逐年升高.另外,由于抗生素對生態平衡的影響和人體健康潛在威脅的暴露,抗生素的環境行為倍受人們關注.目前,國內外學者對抗生素的研究主要集中在其環境殘留,對微生物、動植物的毒理作用,以及其抗性基因的檢測,而對其在環境中的遷移、轉化特征報道較少.紅霉素(Erythromycin,ERY)屬于大環內酯類抗生素,具有廣譜的抗菌作用,被廣泛應用于醫藥行業和畜禽養殖業,是經常使用且環境檢出率較高的抗生素之一.環境中檢測出的紅霉素多以脫水紅霉素(Anhydroerythromycin,ERY-H2O)形式存在,紅霉素及脫水紅霉素的分子結構如圖 1所示.據報道,在中國各流域中,如長江、珠江、嘉陵江等都能檢測到紅霉素的存在,并且濃度呈上升趨勢.例如,在香港維多利亞港紅霉素濃度在2007年時為3.5~5.2 ng · L-1,2009年上升到4.7~1900 ng · L-1.水環境中廣泛檢出的紅霉素將如何在水生生態系統中遷移并產生怎樣的生態效應,無疑是評估紅霉素的生態風險所必需了解的.目前,圍繞抗生素在水生生態系統中分布特征的研究多基于實際環境采樣分析,由于無法控制污染源和實驗條件,所得實驗結果多存在誤差,不利于正確評估抗生素的環境風險.采用微宇宙實驗裝置建立模擬水生生態系統由于具有體積小、易操作、且可人為控制其各理化性質與自然環境相似的優點,被廣泛用于研究污染物在生態系統中遷移和生態效應.本文選用紅霉素為代表抗生素,采用微宇宙實驗裝置建立模擬水生生態系統,研究紅霉素在水、沉積物及生物體不同相中的分布特征,以期為正確評價紅霉素以及抗生素的環境風險提供科學依據.
圖 1 紅霉素結構圖(a)和脫水紅霉素結構圖(b)
2 材料與方法
2.1 實驗材料
脫水紅霉素(純度> 95%)購自加拿大Toronto Research Chemicals公司,-20 ℃保存;乙腈和甲醇均為色譜純,購自上海安譜科學儀器有限公司,其他試劑均為分析純,購自國藥試劑有限公司;實驗用水為超純水,由Milli-Q超純水儀制備(Merck Millipore Advantage A10).
模擬生態系統所用水蘊草(Elodea densa)及斑馬魚(Barchydanioreriovar)購自廣州芳村花鳥魚蟲市場.水蘊草平均濕重為6.63 g ·棵-1,含水率為84.24%;斑馬魚平均重量為0.0656 g ·條-1.
2.2 實驗設計
微宇宙系統建立:微宇宙實驗裝置參考美國環保署的標準方法(Acute Dermal Toxicity,1996)采用室內靜水養殖系統箱構建.向養殖箱(80 cm×40 cm)內加入約20 kg的沉積物,然后加60 L水.栽入水蘊草,老化運行一段時間后,放入經馴化的斑馬魚,實驗期間室內溫度控制在(30±2)℃,pH值控制在7.0±0.2、溶氧>4 mg · L-1.系統穩定后,加入脫水紅霉素溶液(用3 mol · L-1 H2SO4調節紅霉素溶液的pH值到3.0,在室溫下攪拌4 h),使系統水相紅霉素濃度達到500 μg · L-1.分別在0、0.5、1、4、7、10、14、21、30 d取樣,分別檢測水、沉積物、水草和魚中脫水紅霉素的含量,每種樣品設3個平行樣.
空白對照實驗:把1 L 500 μg · L-1紅霉素溶液倒在燒杯中,放置在與微宇宙系統相同的位置,分別在0、0.5、1、4、7、10、14、21、30 d取樣,檢測水中紅霉素濃度.
2.3 樣品預處理
水樣預處理參考吳維等(2011)測定飲用水體中抗生素殘留的方法:水樣過0.45 μm混合纖維樹脂濾膜,用3.0 mol · L-1 H2SO4溶液調節水樣pH,然后用預先經甲醇、超純水、Na2EDTA的緩沖溶液活化的HLB小柱進行富集,再以5 mL甲醇淋洗HLB小柱,洗脫液收集于離心管中,在室溫下用N2吹至近干,最后用甲醇定容,待測.
沉積物和水草預處理參考徐維海(2007)測定珠江沉積物中抗生素含量的方法:樣品經冷凍干燥研磨后,稱取適量置于離心管中,加入15 mL乙腈/檸檬酸鉀緩沖溶液(按體積比1∶1),超聲提取15 min,離心,轉移上清液,并重復提取3次;合并上清液,旋轉蒸發至近干,加入 Na2EDTA溶液重溶,然后加入預先經甲醇、超純水、Na2EDTA的緩沖溶液活化的HLB小柱進行凈化富集,再以5 mL甲醇淋洗HLB小柱,洗脫液收集于離心管中,在室溫下用N2吹掃至近干,最后用甲醇定容,待測.
魚預處理參考Jo等(Jo et al., 2011)檢測魚體和蝦內大環內脂類抗生素殘留的方法:樣品經冷凍干燥研磨后,稱取適量樣品置于離心管中,向離心管中加入10 mL乙腈,超聲提取15 min,離心,轉移上清液,重復提取3次,合并上清液.向提取液中加入正己烷,振蕩去脂10 min,離心,除去正己烷層,重復去脂1次;提取液旋蒸至近干,然后加入 Na2EDTA溶液重溶,再加入預先經甲醇、超純水、Na2EDTA的緩沖溶液活化的HLB小柱進行凈化富集,再以5 mL甲醇淋洗HLB小柱,洗脫液收集于離心管中,在室溫下用N2吹掃至近干,最后用甲醇定容,待測.
2.4 分析方法
紅霉素采用Agilent 1200 高效液相色譜和Agilent 6410 Triple Quad串聯質譜儀進行檢測.色譜條件:色譜柱,Agilent Eclipse Plus C18(2.1 mm×150 mm,3.5μm),前接ODS Hypersil預柱(2.1 mm×10 mm,5 μm);柱溫30 ℃,流動相:乙腈(A)∶0.5% 甲酸溶液(B)=90∶10;流速0.25 mL/min;進樣量10 μL.質譜條件:離子源為電噴霧(Electrospray ionization,ESI),正離子掃描;監測方式為多反應監測(Multiple Reaction Monitoring,MRM),電噴霧電壓:4000 V;干燥氣:N2(11 L · min-1,300 ℃);霧化氣壓力:15 psi.
2.5 數據分析模型
一級動力學模型:
式中,C0為水相中化合物初始濃度(ng · mL-1);t為時間(d);Ct為時間t時水相中化合物濃度(ng · mL-1).
沉積物-水分配系數Kd:
式中,CS為沉積物中化合物含量(ng · g-1);CW為水相中化合物濃度(ng · mL-1).
生物富集系數BCF:
式中,CB為生物體內化合物含量(ng · g-1);CW為水相中化合物濃度(ng · mL-1).
3 結果與討論(Results and discussion) 3.1 紅霉素在水體和沉積物中的變化
水中紅霉素濃度隨時間變化如圖 2所示.從圖中可以看出,紅霉素在水相的濃度隨著時間的增加逐漸減小.加藥12 h后,水中紅霉素濃度由初始的503.86 ng · mL-1迅速降到298.56 ng · mL-1,然后平緩降至30 d的188.14 ng · mL-1,水中紅霉素消減率為62.66%.從空白對照實驗數據可以看出,水相紅霉素30 d的消減率為12.96%.由于紅霉素屬難揮發化合物,系統水相紅霉素濃度的減少可能主要是遷移至系統中其他相的緣故.
圖 2 水中紅霉素濃度隨時間變化
紅霉素在沉積物中的含量隨時間的變化如圖 3所示.從圖中可以看出,紅霉素在沉積物中的含量持續上升. 30 d時沉積物中紅霉素含量升至973.95 ng · g-1,這可能是與沉積物對紅霉素的吸附有關.這與文獻報道相符,土壤和沉積物對抗生素表現出較強的吸附能力,且主要受沉積物的有機物含量影響(Liang et al., 2013).沉積物中富含的有機質可提供陽離子交換位點,促進紅霉素在沉積物上的吸附.
3.2 紅霉素在生物體中的含量變化
圖 4說明了紅霉素在水草和斑馬魚體內含量隨時間的變化情況.從圖中可以看出,水草中紅霉素的含量在3 d時達到最高值12581.27 ng · g-1,然后維持在一個穩定值,在15 d時水草中紅霉素含量開始下降,于30 d時降至6745.96 ng · g-1,這可能與水草的生理特性有關.水生植物的表皮薄,可直接從水中吸收水分和養分.初始紅霉素在水相的濃度較高,水中的紅霉素在濃度梯度作用下自由擴散被吸收進入水草體內,并在體內積累;由于水生植物對紅霉素有代謝降解作用(Pomati et al., 2004),進入水草體內的紅霉素存在吸收和降解的平衡,故水草中紅霉素含量維持相對穩定;之后,隨著水相紅霉素濃度的降低,水草從水中吸收紅霉素速度減慢,慢于其代謝紅霉素的速率,水草內紅霉素濃度開始下降.
圖 4 生物體中紅霉素隨時間變化
斑馬魚體內紅霉素含量隨時間的變化大致相同,呈現先增加后下降的規律.在3 d時達到最高值1285.42 ng · g-1,不同之處在于,斑馬魚體內沒有吸收與降解的平衡過程.3 d后即開始減少,30 d時斑馬魚體內紅霉素濃度降到308.52 ng · g-1,這可能是與水生魚類與水生植物對污染物的吸收代謝作用存在差別有關.魚類通過腮呼吸、皮膚接觸或攝食水中微生物和懸浮顆粒吸收水中紅霉素;同時,可通過新陳代謝或排泄作用將紅霉素轉化或排出.這與文獻報道結果相一致,Vendrell等(Vendrell et al., 2012)研究了紅霉素在虹鱒魚體內富集與代謝動力學特性發現:虹鱒魚對紅霉素有代謝降解作用,在實驗初始時虹鱒魚體內紅霉素濃度為1173.83 ng · g-1,在第8 d時虹鱒魚體內紅霉素濃度低于檢測限.
3.3 紅霉素在水生生態系統中的分布規律
圖 5為紅霉素在模擬生態系統各相的分布情況.從圖中可以看出,水中紅霉素逐漸減少.用一級動力學方程對紅霉素在空白試驗和模擬生態系統水相中的消減數據進行擬合,擬合參數如表 2所示.從擬合結果可以看出,紅霉素在空白實驗中的半衰期為113 d,而在模擬生態系統水相中的半衰期為42 d,這主要是由于模擬生態系統中其它相的存在促進了水相中紅霉素的消減.Carstens等(Carstens et al., 2013)曾研究磺胺在水-底泥模擬生態系統中的轉化,結果發現:磺胺在不同水-底泥模擬生態系統水相中半衰期為2.7~17.8 d,與之相比,紅霉素的殘留時間更長,應當考慮其對水生生態系統的影響.
圖 5 紅霉素在模擬系統中的分布規律(a)和生物體中所占投加量百分比
表 2 紅霉素在水相中的一級動力學擬合參數
紅霉素進入模擬生態系統后將發生遷移.沉積物是紅霉素的主要富集場所.為了評價其在沉積物中的積累能力,這里用沉積物-水分配系數來進行評估.Kd值越大,則積累能力越強.通過計算得出,紅霉素的最高Kd值為5.18 L · kg-1,與文獻報道數據相一致.Zhang等(Zhang et al., 2011)報道了泰樂菌素在不同農業土壤上的Kd在1.7到12 L · kg-1之間;Thiele和Tolls(Thiele,2000; Tolls,2001)報道,磺胺類抗生素在不同pH和有機質含量的土壤上Kd為2.4和3 L · kg-1.而Liang等(Liang et al., 2013)采集實際沉積物樣品計算得出,脫水紅霉素在珠江口沉積物中的Kd為105 L · kg-1,Kim等(Kim and Carlson,2007)算得紅霉素在Cache La Poudre河中的采集的實際樣品的分配系數Kd為211 L · kg-1.可見根據實際樣品計算的分配系數顯著高于實驗所得,這可能是由于實際環境中沉積物中的紅霉素是長期積累的結果,因此并不能真實反映沉積物對抗生素的實際積累能力.因此,僅通過對實際環境樣品進行采樣分析得出的沉積物-水分配系數,可能會高估沉積物的積累能力.具體參見污水寶商城資料或http://m.bnynw.com更多相關技術文檔。
同時,水草和斑馬魚對紅霉素也表現出一定的富集作用.生物富集系數BCF是評估化合物在水生生物體內富集情況,以及評估化合物對生物體毒性的重要參數.通過計算紅霉素在斑馬魚和水草體內的生物富集系數BCF,對紅霉素在斑馬魚和水草體內的富集情況進行比較,發現:紅霉素在水草中的富集能力高于斑馬魚.計算所得紅霉素在水草中的富集系數BCF最高值達到46.05 L · kg-1,而在斑馬魚體內則僅為4.40 L · kg-1,相差一個數量級.化合物在生物體的富集除了和生物體的脂肪含量相關外,還與化合物在生物體代謝速率有關.紅霉素在水草中的富集能力比在斑馬魚體內高,可能是與紅霉素在斑馬魚體內的代謝速率較快有關.Liu等(Liu et al., 2013)研究羅紅霉素在鯽魚體內的富集、代謝發現:羅紅霉素在鯽魚肝、血液、腮和肌肉的BCFs分別為2.15~38.0、0.950~20.7、0.0506~19.7和0.0439~13.8 L · kg-1,同時研究指出魚體血液中羅紅霉素的代謝產物與人體血液羅紅霉素的代謝產物一致.根據國際的生物蓄積性標準BCF > 5000 L · kg-1判斷,紅霉素屬于非生物累積性物質.但需要注意的是,盡管紅霉素屬于非生物累積性物質,卻依然可對水生生物產生一定的毒性作用.紅霉素在水草中富集量少,但其含量已達到6000 ng · g-1以上,顯著高于文獻報道的最大半數有效濃度0.036 mg · L-1,而且據Eguchi等(Eguchi et al., 2004)的研究發現,低濃度紅霉素即可對水生植物的生長產生影響,Vannini等(Vannini et al., 2011)的研究指出抗生素被水生植物吸收后主要富集葉綠體及光合器內,進而抑制其的光合作用,而光合作用是生態系統的基礎.對于魚類而言,Kiryu等(Kiryu and Moffitt, 2002)研究紅霉素對4種不同鮭魚半數致死劑量LD50為350~1041 mg · kg-1.雖然本研究中魚體內的紅霉素濃度低于文獻報道的半數致死劑量,但根據美國科學院的毒性物質危險劃分標準,從斑馬魚對紅霉素的富集能力看,紅霉素對魚類的毒性依然表現出輕度毒性.由于紅霉素在水生植物體內的代謝能力低于魚類,同時又表現出一定的毒性和敏感性,因此,在評估紅霉素的生態環境風險時,應注意其對水生植物的影響.
4 結論
紅霉素進入模擬水生生態系統后,水相的半衰期為42 d,沉積物為主要富集場所,可積累56.46%的紅霉素;同時,水草和斑馬魚對紅霉素亦有一定的吸收富集能力,水草和斑馬魚可分別吸收和富集1.04%和0.0402%的紅霉素;水草對紅霉素的富集能力高于斑馬魚,其最高富集系數在水草和斑馬魚內分別為46.05 L · kg-1和4.40 L · kg-1,在考慮評估紅霉素的生態環境風險時,應注意其對水生動植物的影響.


