1 引言
含鉛廢水對人體健康和環境的破壞性影響巨大,其主要來源于采礦、鉛冶煉、鑄造、鉛蓄電池的生產、鉛酸蓄電池回收利用等過程中的工業廢水.目前常用工藝主要有化學沉淀法、吸附法、生物法、膜分離法等,多存在消耗大量的化學藥品、易造成二次污染、鉛回收再利用率差等問題(高永等,2005;沙昊雷和陳金媛,2010;趙慶良等,2011;常玉等,2009;栗帥等,2011).含鉛廢水的處理與資源化是近年來工業污水處理的一大難題.
高瑩瑩(2013)采用恒定摩爾法研究了二壬基萘磺酸(簡稱DNNSA或HD)和二-(2-乙基己基)膦酸(D2EHPA,商品名P204,簡稱HA)混合反膠團體系對含鉛廢水的萃取凈化,研究結果表明DNNSA-P204混合反膠團體系對廢水中鉛離子具有正協同萃取效果,萃取過程能較快達到平衡,油水相分層快.當萃取劑總濃度為0.01 mol · L-1,DNNSA與P204的摩爾比為1 ∶ 1時,協萃系數R=4.27,正協同萃取效果最佳,與單一DNNSA反膠團體系(高瑩瑩等,2013)相比,DNNSA-P204混合反膠團體系表現出一定優勢.然而某種萃取劑或萃取體系是否能實現工業化的一個重要標準,即是萃取劑被反萃后的重復利用效果及其損耗大小.因此負載有機相的反萃,既是被萃物質的釋放過程,又是萃取劑的再生過程,是萃取分離技術研究中必不可少的一步.
調研文獻發現采用簡單反萃取法即低酸萃取高酸反萃,可實現對負載稀土元素的混合酸性磷類萃取體系的反萃(黃小衛等,2008;張永奇等,2009),若在反萃過程中添加一定量的HEH/EHP有助于改善負載重稀土的HDEHP的反萃性能,較好地實現對稀土元素的回收利用.邱海浪等(2013)采用簡單反萃取法實現了對負載鎳的單一DNNSA反膠團溶液的反萃,所得反萃液可作為電鍍鎳的原料進一步回收利用,實現了對含鎳電鍍廢水的凈化及資源化.
本文采用簡單反萃取法對負載鉛的DNNSA-P204煤油溶液的反萃進行了研究,分別考察了反萃劑種類、反萃時間、反萃溫度、反萃油水比(VO/VA)、反萃劑濃度等對負載鉛的DNNSA-P204混合反膠團體系的反萃性能的影響.以期通過萃取和反萃得到富集濃縮的含鉛水溶液,實現含鉛廢水的資源化及DNNSA-P204混合萃取劑的循環利用;實現無渣工藝,減少環境污染,并為進一步的應用研究提供基礎理論數據.
2 實驗部分
2.1 試劑、材料和儀器
DNNSA(50%(wt),蘇州化工廠),磺化煤油(成都石油化工科技有限公司)均為工業純,未作進一步純化.其余藥品均為分析純.實驗儀器主要有:GGX-6型賽曼火焰原子吸收分光光度計(北京海光儀器公司),ALC-210.4 型電子天平(北京賽多利斯儀器系統有限公司),THZ-C-1型臺式冷凍恒溫振蕩器(江蘇太倉市實驗設備廠),FT-IR紅外光譜儀(Nicolet IS10,美國Thermo Scientific公司),廣角激光光散射儀(BI-200SM,美國布魯克海文儀器公司).
2.2 實驗方法
將含鉛模擬廢水和DNNSA-P204煤油溶液置于臺式冷凍恒溫振蕩箱中恒溫30 min以上,按油水比(VO/VA)1 ∶ 2準確移取兩相于干燥潔凈的錐形瓶中,置入臺式恒溫冷凍振蕩箱中進行萃取;萃取完成后將混合溶液移入分液漏斗靜置分層,分離下層水相,上層有機相即為反萃實驗所需的負載鉛的有機相.分析水相中鉛離子濃度(耿薇,2010),通過物料衡算得到有機相中鉛離子濃度.
將鉛離子濃度為0.019 mol · L-1的DNNSA-P204煤油溶液和一定濃度的反萃劑按一定油水比加入錐形瓶中,置于一定溫度的臺式冷凍恒溫振蕩器中進行反萃實驗.一定時間后取出錐形瓶,靜置分層后,取下層水相,分析鉛離子濃度,記為 CPb2+(aq).
3 結果與討論
3.1 反萃劑種類對反萃率的影響
影響反膠團萃取過程的主要因素有表面活性劑的種類、濃度、水相pH值、水相離子強度和溫度等,除控制水相pH值外,還可以采用調節水相離子強度來實現反萃取(徐寶財等,2004).實驗所選反萃劑分別選擇蒸餾水以及0.1 mol · L-1的NaOH、NaCl、KCl、HCl、HNO3.

表 1 不同反萃劑對鉛反萃的影響
由上表可知,NaOH與鉛離子反應生成Pb(OH)2沉淀,但是在pH≥12時,Pb(OH)2溶于強堿時形成亞鉛酸鹽,所以NaOH溶液對DNNSA-P204負載鉛的煤油溶液有一定的反萃效果.加入硝酸和鹽酸時反萃取效果都比較好.由于硝酸鉛水溶性最好,其工業用途較廣,以下實驗均采用硝酸做反萃劑,以硝酸鉛的形式回收鉛.
3.2 反萃時間對鉛反萃的影響
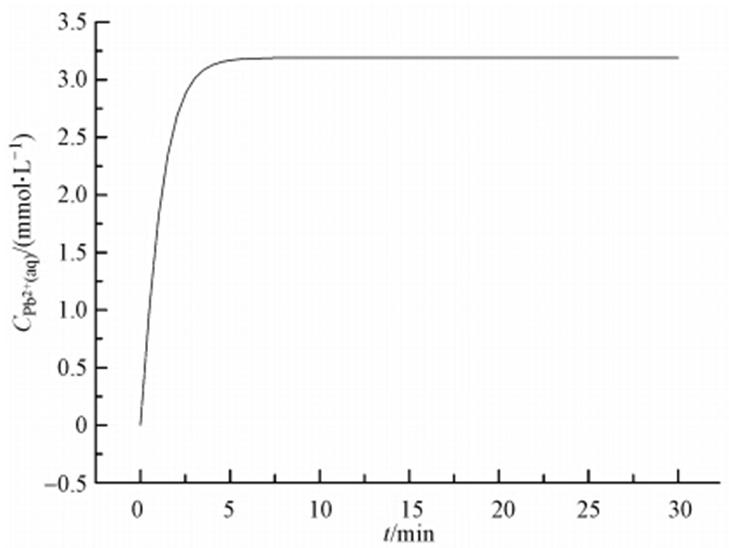
反萃時間是影響鉛反萃的一個重要因素,考察不同反萃時間對鉛反萃的影響.由圖 1可知,此反萃過程速率較快,當反萃時間超過5 min后,水相中鉛離子濃度基本保持不變,可視為達到反萃平衡,以下實驗反萃時間均采用5 min.

圖 1 不同反萃時間對鉛反萃的影響(反萃劑為硝酸、反萃劑濃度為0.5 mol · L-1、反萃溫度為298 K、油水比(VO/VA)為1 ∶ 1、轉速200 r · min-1)
3.3 反萃溫度對鉛反萃的影響
溫度是反萃過程的一個重要參數,考察不同反萃溫度對鉛反萃的影響,實驗結果如表 2.

表 2 不同反萃溫度對鉛反萃的影響
在一定實驗條件下,分配比D與反應平衡常數K呈線性關系(李以圭,1988),根據Van′t Hoff方程:
,可得lgD=lgD0-
,其中,R為通用氣體常數,其值為8.314 J · mol-1 · K-1; D為分配比;ΔH為反應的焓變(J · mol-1);T為溫度(K).作不同溫度下lgD與1/T關系圖(圖 2),該直線斜率-
為49.24,故計算可得該反萃反應的焓變為:ΔH=-942.7 J · mol-1,該反萃過程為放熱過程,降低溫度有利于鉛離子的反萃.由表 2也可看出,隨著溫度升高,反萃率雖有降低但變化不很大,另一方面雖然低溫有利于反萃但是溫度過低有機相粘度增加,會加大動力消耗.故綜合考慮,反萃溫度可選擇298~303 K.

圖 2 lgD與1/T關系圖
3.4 反萃劑濃度對鉛反萃的影響
考察不同濃度的反萃劑硝酸對鉛反萃的影響,實驗結果如圖 3所示.由圖 3可知,隨反萃劑硝酸濃度增加,鉛的反萃率提高,反萃劑硝酸濃度越高越有利于反萃;當反萃劑濃度為超過0.6 mol · L-1水相中鉛離子濃度變化不大,故反萃劑硝酸的濃度可選擇0.6 mol · L-1.

圖 3 不同硝酸濃度對鉛反萃的影響(反萃劑為硝酸、萃取溫度為298 K、反萃時間為5 min、油水比(VO/VA)為1 ∶ 1、轉速200 r · min-1)
3.5 反萃油水比對鉛反萃的影響
考察了不同油水比對鉛反萃的影響,實驗結果如表 3所示.

表 3 不同油水比對鉛反萃的影響
在反萃負載有機相時,得到富集濃縮的含鉛溶液有利于回收利用鉛,因此希望采用盡可能大的油水比(VO/VA)進行反萃,但較大的油水比會降低反萃率.在實際反萃過程中通常采用多級萃取操作,適當的單級反萃效率即可獲得理想的反萃效果;同時,實際反萃過程選擇油水比時,應結合實際廢水濃度以及負載有機相的濃度,綜合考慮反萃效果、富集能力以及經濟效益等因素.在本實驗中,以下實驗反萃油水比(VO/VA)選用2 ∶ 1.
3.6 DNNSA-P204混合萃取劑的循環利用
萃取條件:模擬含鉛廢水濃度為0.0003 mol · L-1,油水比(VO/VA)為1 ∶ 10,轉速200 r · min-1,萃取時間15 min,萃取劑濃度為0.01 mol · L-1的DNNSA和P204煤油溶液(摩爾比為1 ∶ 1),溫度303 K,得到負載鉛的有機相DNNSA-P204煤油溶液.
反萃條件:硝酸為反萃劑,反萃劑濃度為0.6 mol · L-1,反萃溫度298 K,油水比(VO/VA)為2 ∶ 1,反萃時間5 min,轉速200 r · min-1,將上述所得負載鉛的有機相DNNSA-P204煤油溶液反萃后,重復上一步的萃取實驗.實驗結果如表 4所示.

表 4 DNNSA-P204煤油溶液循環利用
由表 4可知,循環萃取過程中發現,該混合反膠團損失較小,經過反萃后,該混合反膠團的萃取性能基本保持不變,該萃取劑可實現循環利用.
3.7 DNNSA-P204混合反膠團體系反萃機理初探
與負載鉛的單一DNNSA反膠團體系的反萃相比較,DNNSA-P204混合反膠團體系的反萃稍難,這可能和該混合反膠團體系的萃取機理發生改變有關.
單一DNNSA反膠團萃取廢水中的鉛為陽離子交換機理,被萃取的鉛離子不是簡單地增溶進入反膠團中,紅外光譜表明確形成磺酸鹽(高瑩瑩等,2013);利用低酸萃取高酸反萃進行反應式(1)的逆反應即可實現負載鉛的單一DNNSA反膠團的反萃:
當在DNNSA中添加HA時,在一定濃度范圍內,二者形成混合反膠團,且對某些金屬有正協同作用(Miki et al., 1997),高瑩瑩(2013)采用恒定摩爾法研究了DNNSA-P204混合反膠團體系對鉛的協同萃取,相比較單一DNNSA反膠團體系,DNNSA-P204混合反膠團體系的萃取性能表現出優勢.
在能夠產生正協同萃取效應的DNNSA-P204混合反膠團體系中,由于HA的存在,廢水中鉛離子的萃取機理可能發生改變:由于HA水溶性比HD大,當水相和有機相接觸時,有機相中的HA和水相中的HA或者A-快速建立平衡,當金屬離子與HA結合后,較易進入有機相;在油水界面是HD單分子層,在有機相中HD與HA依靠分子間氫鍵形成了混合反膠團,此時:
(1)鉛離子首先和溶入水相的HA反應,反應產物為絡離子,該絡離子的親油性比鉛離子強;
(2)該絡離子和界面上的HD進行陽離子交換反應,生成中性絡合物;
(3)DNNSA中添加P204時,所形成的混合反膠團空腔可能會變大,當該絡合物PbADi(界面產物)大小和混合反膠團空腔大小相匹配時,表現為正協同萃取,該界面絡合產物增溶進入混合反膠團中,得到PbAD ·(HD)8 · nHA.

當負載鉛的DNNSA-P204煤油溶液進行反萃時,增溶進入混合反膠團內部的PbAD依次進行反應式(4)、(3)和(2)的逆反應,故DNNSA-P204混合反膠團體系雖然在萃取性能方面具有優勢,但是由于萃取機理發生改變,與單一DNNSA反膠團體系相比,負載鉛的DNNSA-P204混合反膠團體系的反萃變難,實驗結果也與此推論相吻合.
為進一步驗證上述推論,實驗對萃取前和負載鉛的DNNSA-P204煤油溶液進行了紅外光譜分析,結果如圖 4所示.

圖 4 負載鉛的DNNSA-P204煤油溶液萃取前后的紅外譜圖(a. DNNSA-P204煤油溶液萃取前;b. 負載鉛的DNNSA-P204煤油溶液)
圖 4a譜線為萃取前DNNSA-P204混合反膠 團煤油溶液的紅外光譜圖.從圖 4a中可以看出1380 cm-1是萘的特征峰.P204的P O伸縮振動峰從1105 cm-1移至較高的位置1210 cm-1,同時在該混合反膠團中,1210 cm-1峰較強且寬,有可能掩蓋了芳磺酸的SO2反對稱伸縮振動吸收峰,芳磺酸的SO2反對稱伸縮振動吸收峰此時為1210 cm-1右側的肩峰,SO2對稱伸縮振動吸收峰則移動到波數較低的位置1040 cm-1,估計是DNNSA中磺酸基上的氧原子與P204之間形成分子間氫鍵,兩者形成混合反膠團.同時 C—S—O的反對稱和對稱伸縮振動頻率分別位于890 cm-1和728 cm-1,與單一DNNSA反膠團煤油溶液相比,均往低頻移動,同時也說明正是由于DNNSA磺酸基上的氧原子與P204之間形成的分子間氫鍵,使得該振動頻率往低頻移動.
圖 4b為負載鉛的DNNSA-P204混合反膠團溶液的紅外光譜圖.從圖 4b可以看出,該混合反膠團溶液萃取鉛離子后,并未出現磺酸鹽的特征吸收峰,這是由于:紅外光譜是對分子團簇進行分析,紅外不能反映一個團簇(這里的混合反膠團)里面包裹的每一個具體分子的情況.這與前述的推論相吻合:鉛離子是以呈電中性的絡合物的形式進入混合反膠團中,故萃取后并未出現磺酸鹽的特征吸收峰.同時譜圖表明萃取后,DNNSA磺酸基上的氧原子與P204之間形成的分子間氫鍵增強,因此P204的P O伸縮振動峰從1210 cm-1移至較高的位置1220 cm-1.其余峰的位置在萃取后均無大的變化.
紅外光譜結果表明,在DNNSA中添加P204確實能夠形成混合反膠團,那么該混合反膠團空腔是否會由于P204的加入而發生改變?而這也是能夠產生正協同萃取的關鍵所在.實驗采用BI-200SM廣角激光光散射儀對萃取劑19.4%(wt)DNNSA中添加不同量P204(wt)時的混合萃取劑煤油溶液的粒徑進行了測定,測試結果如表 5所示.

表 5 溶液粒徑的自相關測試報告
從表 5可以看出,在DNNSA含量一定時,隨著P204含量增加,混合反膠團粒徑逐漸增加.上述表征結果與前述假設相一致,說明DNNSA-P204混合反膠團體系萃取鉛離子的機理確與單一DNNSA反膠團體系不同,該混合反膠團體系的萃取效果除與游離萃取劑多少有關外,還與所形成的混合反膠團空腔大小有關,而萃取機理的改變使得該混合反膠團的反萃較單一DNNSA反膠團的反萃難.具體參見污水寶商城資料或http://m.bnynw.com更多相關技術文檔。
4 結論
1)選用硝酸作為反萃劑實現了對負載鉛的DNNSA-P204煤油溶液的反萃.反萃時間為5 min,反萃溫度為298 K,反萃油水比(VO/VA)為2 ∶ 1,反萃劑硝酸濃度為0.6 mol · L-1時,反萃率可達70%;經過反萃的DNNSA-P204煤油溶液可循環使用于含鉛廢水的萃取凈化,其萃取性能基本保持不變.
2)DNNSA與P204依靠分子間氫鍵形成混合反膠團,該混合反膠團大小隨著P204含量增加而增大;由于HA的存在,廢水中鉛離子以PbAD形式增溶進入混合反膠團,因此DNNSA-P204混合反膠團體系的反萃比單一DNNSA反膠團體系的反萃難.


