1 引言(Introduction)
由于經濟的快速發展, 導致河流地表水系統中氮營養鹽的過量輸入, 不僅引發飲用水供應安全問題(陳自祥, 2012), 如硝態氮進入人體, 被體內的細菌還原成亞硝態氮, 與蛋白質作用而生成致癌物, 亞硝酸鹽可將高鐵血紅蛋白氧化, 影響氧氣的輸送(皇甫超申和史齊, 2010), 加大糖尿病、甲狀腺、自然流產等一系列疾病的發生率(Zhang et al., 2014), 還引發世界范圍內地表水水體的季節性缺氧和富營養化等一系列水環境問題(劉強和陳琳, 2015).地表水氮素污染來源較多, 可能來自生活污水與糞便、化學肥料、工業廢水的排放、大氣沉降和土壤等.
渾河流域沈撫段位于渾河流域的中部, 是沈陽和撫順兩市經濟區的核心區域, 流域內人口密集, 有大量工業生產和耕地.渾河流域沈撫段在快速城鎮化進程中正面臨著上游及沿程污水處理廠出水水質較差、部分工廠水質處理不達標且直排河流; 支流附近村民生活污水直排河流; 干流和支流周邊農田大量施用化肥等疊加因素導致河流污染, 氮含量超標嚴重.
穩定同位素示蹤技術是一種快速且直接判斷硝酸鹽氮來源的方法, 且不同同位素的組成可清楚地呈現出不同的氮素來源(Andrew et al., 2010).1971年Kohl等(1971)最先利用15N對美國伊利諾伊州玉米種植區化學肥料導致的地表水NO3-污染進行定量估算, 其結果引起學者們廣泛的關注.近幾年大量學者運用氮氧同位素技術識別不同水體中氮素污染來源, 避免氮同位素比值的重疊現象,更準確示蹤氮素來源(Chen et al., 2012;Viviana et al., 2013; El Gaouzi et al., 2013;Xue et al., 2014;Zhi et al., 2016; Yang and Gurpal, 2016;張俊萍和宋曉梅,2015;邢萌和劉衛國,2016;吳文歡等, 2016;王靖宇, 2016;趙慶良等,2016).
基于此, 本文運用氮、氧穩定同位素技術對研究區域氮素污染現狀進行研究.旨在弄清研究區域水體中氮的分布特征和氮素污染來源, 并利用氮、氧穩定同位素技術結合SIAR質量混合模型來估算研究區域內各氮素污染源的貢獻比例, 進而準確追蹤和定量化氮素污染物, 從而更好地控制進入研究區域的氮負荷.本研究不僅為控制研究區域水體氮素污染提供有效的科學依據, 還為其他河流水系統的氮素溯源提供模型, 從而更好地完成地表水環境中氮素污染源的示蹤及量化工作, 最終實現環境的和諧.
2 材料與方法(Materials and methods)2.1 研究區域概況
渾河流域沈撫段是沈陽市東部至撫順市西部之間的沈撫連接區域, 范圍從下游長青橋至上游和平橋, 由11條支流(支流1、2、3、4、5、6、7、8、9)組成并匯入干流, 流域面積約為665 km2, 區域東高西低, 但總體地形平緩, 地理坐標為東經123°20′0″~123°60′0″, 北緯42°3′30″~41°35′30″.屬于中溫帶季風氣候, 年平均氣溫約為7 ℃, 年降水量約為718.3 mm, 年蒸發量為1000~1300 mm, 最大凍土深度約為148 cm, 無霜期為183 d.由于研究區域處于高緯度地區, 冬季較長(從當年11月到次年3月), 因此, 融雪對地表徑流也有一定程度的影響(劉強等, 2015).
2.2 樣品采集與試驗分析2.2.1 常規樣品的采集與試驗分析
從下游到上游沿程鋪設42個站位(采樣點), 其中干流設10個斷面, 每個斷面3個站位(編號為G11, G12, G13~G101, G102, G103);每條支流站位設置在入河口處(編號為Z1~Z9);另設3個排污口站位(編號為P1~P3), 具體布點情況及位置如圖 1所示.本研究于2015年12月至2017年12月每月用試驗專用水樣采樣容器進行定點采樣, 將采集的水樣分別貯存于500 mL的蒸餾水潤洗過的聚乙烯瓶中, 放于便攜式保溫箱內暫時保存.現場記錄水樣采集的時間, 并采用便攜式水質參數測定儀和便攜式酸度計現場測定水體的水溫(T)、pH、電導率、溶解氧(DO)等參數.
圖 1

圖 1研究區域采樣點水系圖
將采集的水樣當天送回實驗室, 量取150 mL水樣, 并用定量濾紙進行過濾, 用于測定氨氮、硝氮、亞硝氮、總氮、COD等相關指標.量取30 mL水樣, 經過13 mm, 0.45 μm親水PTFE針式濾器過濾, 裝于50 mL聚乙烯瓶中, 并保存在-18 ℃的冷凍柜中, 用于硝酸鹽氮、氧同位素值的預處理.試驗簡述如下:①水質檢測:NO2--N(N-(1-萘基)-乙二胺分光光度法, 精確度0.001 mg · L-1); NO3--N(紫外分光光度法, 精確度0.01 mg · L-1); NH4+-N(納氏試劑光度法, 精確度0.01 mg · L-1); TN(過硫酸鉀氧化-紫外分光光度法, 精確度0.01 mg · L-1); CODcr(重鉻酸鉀法, 精確度0.01 mg · L-1).②同位素檢測:采用兩步還原法, 首先用鎘粉將NO3-還原成NO2-, 然后使用疊氮鈉(NaN3)將NO2-還原成N2O, 再進行IRMS分析, 利用同位素質譜儀(Isoprime-100)同時測定氮、氧同位素值.
2.2.2 穩定同位素樣品的采集與試驗分析
通過對研究區域的實地調研、歷年資料及文獻的分析, 了解到研究區域內土地利用類型主要為居民生活用地、工業生產用地、農田種植用地等.本文于2015年12月至2017年12月期間主要針對生活污水與糞肥、土壤、大氣降水、化學肥料、工業廢水、動植物腐殖質進行硝酸鹽氮氧同位素的測定, 進而分析歸納出渾河流域沈撫段的代表性污染源樣品.
生活污水與糞肥取自研究區域周邊小區市政排水管道及農村生活污水(n=4);土壤取自研究區域內農田(黑土為主)及河流周邊土壤(n=3);化學肥料取自沈陽市面銷售點銷售的復合肥、尿素等化肥(n=3);大氣降水取自課題研究期間沈陽市降雨及降雪樣品(n=5);工業廢水取自研究區域內不同類型工廠直排河流廢水, 主要有養殖場、化工廠、電廠、鋼廠等(n=11);動物腐殖質取自死亡刺猬腐爛液體(n=1), 植物腐殖質取自植物落葉腐爛液體(n=1).試驗簡述如下:穩定同位素水樣品的試驗測定方法與步驟同常規水樣品, 而現場采集的土壤貯存于聚乙烯袋中, 帶回實驗室在55 ℃的烘箱中烘36 h, 干燥后將樣品研磨成細小粉末, 裝于聚乙烯袋中保存在-18 ℃的冷凍柜中, 用于氮、氧同位素值的預處理, 土壤中NO3--N同位素的測定基本過程是, 利用KCl提取土壤的NO3--N, NO3--N中同位素的測定過程與水體樣品NO3--N的分析過程類似.
2.3 數據處理與統計
本文應用SIAR穩定同位素混合模型(Parnell et al., 2010; Parnell et al., 2013; Phillips et al., 2014)估計研究區域NO3--N可能來源的貢獻比例及概率分布, 具體見式(1).該模型避免了氮、氧穩定同位素識別氮素來源時暫時性和空間性的不確定性及反硝化發生時同位素的分餾作用導致來源的不確定性等問題.同時該模型能有效的針對5種氮素的來源, 根據本文確定的5種典型污染物來源, 建立SIAR穩定同位素混合模型, 表達式(1)為:

式中:Xij為混合物i中同位素j的比值; 其中, i=1, 2, 3....10; j=1, 2;Pk為來源k的貢獻比例; 其中k=1, 2, 3...5;Sjk為來源k中同位素j的比值; 其中k=1, 2, 3...5; μ為平均值,ω為標準偏差; Cjk為來源k的同位素的分餾值; λ為平均值, τ為標準偏差; εjk為殘留誤差,δ為標準偏差.
水體中相對靜止的氮和正在被遷移中的氮, 無時無刻都在進行生物地球化學變化, 在氮的生物地球化學變化中, 14N和15N的反應所需能量不同, 使其反應速率存在差異, 結果導致同位素的分餾作用.在平衡體系中, 氮同位素的分餾系數范圍為1.00063~ 1.09900(張俊萍和宋曉梅, 2014);在非平衡體系中, 分餾作用主要包括固氮作用、同化作用、礦化作用、硝化作用、反硝化作用及氨的揮發作用(徐志偉等, 2014).據有關氮同位素分餾系數資料統計(Li et al., 2002; Chen et al., 2007;孫明輝, 2008; Frank et al., 2004), 生活污水與糞便C=1.02、化學肥料C=1.035、工業廢水C=1.02、大氣沉降C=1.004及土壤C=1.02.εjk表示其他各個混合物間無法量化的方差, 其均值為0.
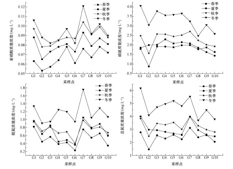
3 結果與分析(Results and analysis)3.1 流域無機氮四季分布特征
本文對渾河流域沈撫段水體中不同形態無機氮的質量濃度進行了檢測, 為后期分析氮素污染來源、評價研究區域的水質特征提供數據支撐.圖 2為不同形態無機氮的四季分布, 從中可以看出研究區域水體中的NO2--N、NO3--N、NH4+-N和TN質量濃度分別為0.053~0.121、0.87~4.065、0.23~1.76、1.473~6.171 mg · L-1, 且無機氮的峰值較多出現在G1、G7采樣點, 其中G1采樣點硝氮和總氮質量濃度在冬季達到最高, G1采樣點質量濃度明顯升高主要受長青橋排污口及上游支流匯入的影響; G7采樣點水質受亞硝態氮和氨氮污染較為明顯, 調研時發現水體受污主要是周邊工業廢水(鍛壓廠, 鋁廠等)及生活污水的排放導致, 下伯官排污口污水的集中排放對水體水質的影響也較大; NH4+-N質量濃度最大值出現在冬季的G7采樣點, 高達1.76 mg · L-1, 超出地表水Ⅳ類標準限值(1.5 mg · L-1)1.17倍.通過對研究區域周邊環境污染源調查發現, 研究區域周邊居民較為密集, 且排水管道建設不完善, 較多未經任何處理的生活污水、畜禽糞便直接排放入河流, 如舊站河、仁鏡河、李石河、蓮島河、友愛河等支流; 另外, 研究區域水廠排污口對干流水質的影響也不容小覷, 如高陽橡膠壩排污口、下伯官排污口等.夏季流域中NH4+-N濃度較低, 主要是因為氨的揮發、細菌、水生植物和真菌等的吸收或發生硝化反應.研究區域采樣點各無機氮呈現季節性變化, 總體呈冬季>秋季>春季>夏季.
圖 2

圖 2研究區域內不同形態無機氮四季分布特征圖
本文對不同季節水體中總氮與其它無機氮之和進行了差值計算, 結果表明:春季G1、G2、G5、G7、G8、G10采樣點存在少量的有機氮, 有機氮分布范圍0.023~1.096 mg · L-1, 其中G1點有機氮質量濃度最高, 達1.096 mg · L-1; 夏季G1、G2、G5、G7、G8、G10采樣點存在少量的有機氮, 有機氮分布范圍0.01~0.288 mg · L-1, 其中G7采樣點有機氮質量濃度最高, 達0.288 mg · L-1; 秋季G1、G2、G4、G5、G7、G8、G9、G10采樣點存在少量的有機氮, 有機氮分布范圍0.041~0.274 mg · L-1, 其中G1點有機氮質量濃度最高, 達0.274 mg · L-1; 冬季G1、G2、G4、G5、G6、G7、G8、G9、G10采樣點存在少量的有機氮, 有機氮分布范圍0.035~0.66 mg · L-1, 其中G1點有機氮質量濃度最高, 達0.66 mg · L-1. G1和G7采樣點有機氮質量濃度, 調研時G1發現采樣點附近藻類以及水生植物體生長旺盛, 水體呈現出墨綠色, 主要受上游長青橋排污及張官河等支流的影響.G7采樣點及上游下伯官排污口處存在大量藻類、底棲動植物以及水生植物體, 導致水體中存在一定量的有機氮.渾河流域沈撫段氮素污染嚴重, 我們必須高度重視水環境安全問題, 找出解決措施, 并加以管理和控制.
3.2 研究區域典型污染源的δ15N、δ18O特征分布圖
根據國內外研究現狀及研究區域地理條件、水文條件、土地利用類型等, 初步確定研究區域水體中氮素污染主要來自生活污水與糞便、化學肥料、工業廢水、大氣沉降、土壤、凋落物及動物腐殖質.當只考慮15N-NO3-時, 特征污染源凋落物的氮同位素值δ15N值(-3.9‰)與化學肥料(-5.23‰~+1.85‰)存在重疊; 特征污染源動物腐殖質的氮同位素值δ15 N值(5.13‰)與生活污水與糞便(-0.33‰~21.33‰)、工業廢水(2.89‰~33.8‰)、土壤(3.76‰~7.39‰)存在重疊.當只考慮到18O-NO3-時, 特征污染源凋落物的氧同位素值δ18O值(15.9‰)與生活污水與糞便(-0.88‰~ 19.14‰)、化學肥料(-0.85‰~+19.1‰)、工業廢水(-4.12‰~19.07‰)、土壤(-0.99‰~18.99‰)存在重疊, 特征污染源動物腐殖質的氧同位素值δ18O值(10.96‰)與生活污水與糞便(-0.88‰~19.14‰)、化學肥料(-0.85‰~+19.1‰)、工業廢水(-4.12‰~ 19.07‰)、土壤(-0.99‰~18.99‰)存在重疊.若同時考慮15N-NO3-和18O-NO3-, 特征污染源凋落物從屬于化學肥, 特征污染源動物腐殖質從屬于土壤.綜上所示, 進一步確定渾河流域沈撫段典型特征污染源為生活污水與糞便、化學肥料、工業廢水、大氣沉降和土壤.故將本文實測的數據與國內外學者對主要特征污染源δ15N和δ18O的分布圖相結合, 繪制出符合渾河流域沈撫段實際水體中典型污染源δ15N和δ18O特征值分布圖如圖 3所示.研究區域δ15N值分布范圍為-5.23‰~ 33.8‰, δ18O值分布范圍為-4.12‰~ 61.54‰, 其中生活污水與糞便δ15N和δ18O平均值分別為10.5‰±15.32‰和9.13‰±14.16‰; 化學肥料δ15N和δ18O平均值分別為-1.69‰±3.54‰和8.55‰±10.02‰; 工業廢水δ15N和δ18O平均值分別為13.94‰±9.55‰和5.94‰±7.16‰; 大氣沉降δ15N和δ18O平均值分別為0.34‰±1.39‰和45.2‰±9.76‰; 土壤δ15N和δ18O平均值分別為5.19‰±1.93‰和8.2‰±10.06‰.具體聯系污水寶或參見http://m.bnynw.com更多相關技術文檔。
圖 3

圖 3研究區域典型污染源的δ15N、δ18O特征分布圖
3.3 研究區域水體中氮素污染源貢獻比例估算
根據式(1)中建立的SIAR穩定同位素混合模型, 將各季節采樣點水樣的δ15N、δ18O值按上述計算方法分別代入, 即可得出不同季節下不同端元對水體中硝酸鹽氮的貢獻率.由圖 4可知, 生活污水與糞便對氮素污染的貢獻率分布在0.3%~29.4%, 最大貢獻率出現在夏季的G7點(29.4%); 化學肥料對氮素污染的貢獻率分布在1.2%~33.5%, 最大貢獻率出現在冬季的G4點(33.5%); 工業廢水對氮素的貢獻率分布在20.6%~96.3%, 最大貢獻率出現在春季的G4點(96.3%); 大氣沉降對氮素的貢獻率最小, 分布在0%~7.2%, 在夏季的G6點(7.2%)達到最大; 土壤對氮素的貢獻率分布在1.7%~30.1%, 在夏季的G4點(30.1%)達到最大.
圖 4

圖 4研究區域水體中氮素污染源貢獻比例
研究區域春季G1、G2、G3、G4、G6、G7、G8采樣點工業廢水的貢獻率最大, 其次是化學肥料、土壤和生活污水與糞便, 大氣沉降貢獻率較小, 有的采樣點大氣沉降的貢獻率為0(G1、G3、G4、G6、G7);G5、G9、G10采樣點生活污水與糞便、化學肥料、工業廢水和土壤的貢獻率相差不大, 大氣沉降也貢獻了小部分的氮.從空間分布上分析, G1、G4、G6、G7、G8采樣點工業廢水對氮素污染的貢獻率均較高, G4、G6、G7采樣點均高達83%以上, 尤其G4點, 高達96.3%.調研時發現G1采樣點受上游100 m左右排污口影響, G4采樣點受附近養殖場、食品廠、化工廠等影響, G6采樣點受附近鍛壓廠、鋁廠等影響, G7采樣點受附近排污口、罐頭加工廠等影響, G8采樣點受附近排污口、食品廠、化工廠等影響.另外, 春季農民開始耕種, 化學肥料的施用對氮素污染貢獻率也不容小覷.總體而言, 研究區域春季水體中的氮素污染主要的貢獻來自工業廢水和化學肥料.
研究區域夏季各采樣點工業廢水貢獻率均較大, 尤其G3采樣點(70.6%), 其次是生活污水與糞便、土壤和化學肥料, 大氣沉降貢獻率最小, 但相對于春季, 夏季降水量較大, 大氣沉降的貢獻率也隨之增加.從空間分布上分析, 各采樣點工業廢水對氮素污染的貢獻率都達27%以上, 尤其G3采樣點高達70.6%, 主要是因為G3采樣點受附近養殖場的影響, 且經常有成群的家畜在附近散養, 增加了水中氮素含量.G2、G7采樣點生活污水與糞便相對其他各點貢獻率較高, 主要是這兩個采樣點附近居民較為密集, 活動較為頻繁.總體而言, 研究區域夏季水體中的氮素污染主要來自于工業廢水與生活污水與糞便, 且夏季大氣沉降的貢獻率較春季而言有所增加, 這是由于夏季雨水量較大引起.
研究區域秋季各采樣點生活污水與糞便、化學肥料、工業廢水和土壤的貢獻率相差不大, 大氣沉降貢獻率最小.從空間分布上分析, G7采樣點工業廢水對氮素污染的貢獻率相對其他各點較高, 達28.2%, 這是因為該采樣點受周圍工廠及排污口的影響, G5采樣點生活污水與糞便對氮素污染相對其他各點較高, 達24.4%, 這是因為受周圍居民生活影響.總體而言, 研究區域秋季水體中的污染源各點貢獻率相差不大, 主要是因為秋季是農民收獲的季節, 人們活動量增加, 同時部分大棚和植物凋落物增加, 進而化學肥料和土壤氮素含量增加, 隨之貢獻率增大.
研究區域冬季工業廢水貢獻率較大, 其次是土壤、化學肥料和生活污水與糞便, 大氣沉降貢獻率最小.從空間分布上分析, G1、G2、G3、G5、G6、G7、G8、G10采樣點工業廢水貢獻率相對較大, 尤其是G8采樣點, 達43.7%, 主要是因為G8點受周圍工廠及排污口的影響, G4、G5、G6、G7、G9采樣點土壤貢獻率較高, 尤其G4采樣點, 達30.1%, 主要是秋季植物凋零, 經過時間的腐爛, 到冬季增加了土壤中氮素含量.總體而言, 研究區域冬季水體中的污染源主要來自工業廢水、土壤, 其次是生活污水與糞便和化學肥料, 大氣沉降也貢獻了一部分氮.
4 結論(Conclusions)
1) 研究區域氮素污染較為嚴重的斷面主要受排污口、支流輸入及周邊工業廢水的影響.夏季的水質狀況相比其他季節較好, 而冬季的水質狀況最差, 整體趨勢逐漸升高, 沿途污染程度增加, 整體屬于污染水質.
2) 研究區域典型特征污染源為工業廢水、生活污水與糞便、化學肥料、土壤、大氣沉降, 其中δ15N值分布范圍為-5.23‰~33.8‰, δ18O值分布范圍為-4.12‰~61.54‰; 對氮素污染的貢獻率分布范圍分別為20.6%~96.3%、0.3%~29.4%、1.2%~33.5%、1.7%~30.1%、0%~7.2%, 水體中氮素污染主要來自工業廢水, 其次是生活污水與糞便、化學肥料、土壤, 大氣沉降對氮素貢獻率最低.
3) 針對采集樣品時受到大氣降雨、降雪時空氣質量的不確定性, 排污口達標率的不確定性, 支流及工業廢水排污量的不確定等因素的影響, 建議后面的研究學者結合大氣污染現狀, 明確各排污口、工業廢水及生活污水的排放規律, 優化研究區域內水體中典型污染來源的氮、氧同位素值分布特征圖, 更準確、更精細的追蹤和定量化氮素污染物, 從而更好地控制進入研究區域的氮負荷.(來源:環境科學學報 作者:傅金祥)


