1 引言(Introduction)
染料廢水因具有排放量大、色度高、可生化性差、難降解、毒性高等顯著特點,目前已成為較難治理的工業廢水之一.剛果紅是一種典型的聯苯胺類偶氮陰離子染料,在工業生產和使用過程中易進入水體,是印染廢水中具有代表性的污染物之一.目前,工業上染料廢水的處理方法主要有混凝沉淀法、膜分離技術、高級氧化技術、電化學等.而吸附法由于具有投資小、周期短、操作簡便、不產生二次污染等優點,逐漸成為一種經濟有效且極具發展潛力的去除染料廢水的方法.
近些年,已經有很多學者將殼聚糖和氧化石墨烯應用到染料廢水處理中,例如,用殼聚糖作為一種生物吸附劑去除剛果紅,研究了磁性氧化石墨烯對水中剛果紅的去除.殼聚糖(CS)是一種天然陽離子堿性多糖,分子結構中含有大量的活性基團氨基和羥基,具有良好的螯合、吸附、交聯等性能.但CS溶解于酸性介質中,易引起流失、機械強度低、不能再生等不穩定現象的發生,從而限制了CS在廢水處理中的廣泛應用.氧化石墨烯(GO)是一種表面含有大量羥基、羧基、環氧基等含氧基團的新型二維碳納米材料,近些年被大量用于廢水處理中,但其親水性令其難以從水溶液中分離;而且GO作為一種納米材料易發生團聚現象,使其損失部分比表面積,從而限制了GO在水處理方面的應用.
為了提高CS的穩定性,抑制GO的團聚,有學者將二者通過復合用于水中金屬離子及染料的吸附.二者復合雖然能克服這兩種單體各自的缺點,但由于CS上的部分氨基與GO上的部分羧基在復合時參與反應,導致吸附位點會減少,因此,材料的吸附量提高有限;其次,目前將二者復合用于剛果紅的吸附研究甚少;除此之外,對于吸附之后吸附劑本身的再生性能少有考究.
針對以上問題,本研究以GO和CS為前體物,以乙二胺四乙酸二鈉為改性劑,制備了一種新型改性氧化石墨烯/殼聚糖功能材料,并將此材料用于吸附去除水中的剛果紅,探討各種實驗條件對吸附效果的影響及其吸附機理,并研究此材料的再生性能.
2 材料與方法(Materials and methods) 2.1 材料與試劑
石墨粉購自天津市永大化學試劑有限公司,殼聚糖(CS脫乙酰度>95%)購于阿拉丁試劑(上海)有限公司;試劑包括剛果紅(上海國藥集團化學試劑有限公司)、乙二胺四乙酸二鈉(EDTA-2Na,天津市百世化工有限公司)、硫酸、硝酸、鹽酸、磷酸、冰乙酸、硝酸鈉、高錳酸鉀、氫氧化鈉、30%過氧化氫,以上試劑均為分析純;實驗過程所用水為純水.
2.2 材料制備 2.2.1 GO/CS復合材料(GC)制備
氧化石墨烯(GO)懸浮液參考改進的Hummers法(Hummers et al.,1958)進行制備.取一定體積的氧化石墨懸浮液于燒杯中,用去離子水將其濃度調為2 g·L-1,將燒杯置于超聲清洗器(40 kHz、200 W)中超聲2 h,使氧化石墨充分分散、剝離,得到氧化石墨烯(GO)懸浮液;稱取一定量的殼聚糖加入到3%的冰乙酸溶液中,用玻璃棒攪拌加速其溶解,待殼聚糖在冰乙酸溶液中充分溶解后,緩慢加入正在攪拌的GO懸浮液中,隨后將體系置于超聲清洗器中超聲攪拌1 h.繼續電動攪拌16 h,得到分散均勻穩定的棕色懸浮物.用去離子水對其進行離心洗滌至中性,再進行真空抽濾,得到的濾餅置于真空干燥箱中干燥(60 ℃)至恒重,取出研磨、過篩(200目),得到氧化石墨烯/殼聚糖復合材料GC.
2.2.2 EDTA-2Na改性GO/CS功能材料(GEC)制備
取一定體積的氧化石墨懸浮液于燒杯中,用去離子水將其濃度調為2 g·L-1,將燒杯置于超聲清洗器(40 kHz、200W)中超聲2 h,使氧化石墨充分分散、剝離,得到氧化石墨烯(GO)懸浮液;稱取不等量乙二胺四乙酸二鈉(EDTA-2Na)溶于一定體積的去離子水中,充分溶解后加入GO懸浮液中攪拌3.5 h;稱取不等量殼聚糖加入到一定體積的3%冰乙酸溶液中,用玻璃棒攪拌加速其溶解,待殼聚糖在冰乙酸溶液中充分溶解后,緩慢加入正在攪拌的上述溶液中,將反應體系移至超聲清洗器中進行超聲攪拌40 min.繼續電動攪拌16 h,得到棕色絮狀懸浮物.用去離子水對其進行離心洗滌至中性,再進行真空抽濾,得到的濾餅置于真空干燥箱中干燥(60 ℃)至恒重,取出研磨、過篩(200目),得到改性氧化石墨烯/殼聚糖功能材料GEC.
2.3 材料表征
采用X射線衍射儀(XRD,D8 Advance,德國Bruker公司)對材料進行晶體結構分析,測試條件為Cu靶,步長0.020°,掃描速度17.7 s·步-1,掃描范圍(2θ)為6°~60°;采用傅里葉變換紅外光譜儀(FT-IR,Tensor 27型,德國Bruker公司)對材料進行官能團分析,波數范圍為4000~400 cm-1,分辨率為4 cm-1;采用透射電鏡(TEM,JEM2100F型,日本JEOL公司)和掃描電鏡(SEM,ZEISS,德國)對材料進行形貌分析.
2.4 吸附-再生實驗
各成分的質量配比對吸附的影響實驗:稱取成分質量配比不同的GEC各0.02 g,加入到裝有25 mL初始濃度為100 mg·L-1的剛果紅(CR)溶液的50 mL碘量瓶中,置于25 ℃、180 r·min-1的恒溫搖床中,振蕩120 min后取出,經0.45 μm濾膜過濾,用分光光度法(λ=499 nm)測定CR溶液剩余濃度.
反應時間對吸附的影響實驗:批量稱取0.04 g的殼聚糖(CS)、氧化石墨烯/殼聚糖(GC)、改性氧化石墨烯/殼聚糖(GEC)加入到裝有25 mL初始濃度為100 mg·L-1的CR溶液的50 mL碘量瓶中,將所有碘量瓶置于25 ℃、180 r·min-1的恒溫搖床中,振蕩不同的時間(1、5、10、20、40、60、90、120、180和240 min)后依次取出,經0.45 μm濾膜過濾,用分光光度法(λ=499 nm)測定CR溶液剩余濃度.
初始濃度對吸附的影響實驗:取25 mL初始濃度分別為50、75、100、150 mg·L-1的CR溶液各10份于50 mL碘量瓶中,分別加入0.04 g的GEC并置于25 ℃、180 r·min-1的恒溫搖床中,振蕩不同的時間(1、5、10、20、40、60、90、120、180和240 min)后依次取出,經0.45 μm濾膜過濾,用分光光度法(λ=499 nm)測定CR溶液剩余濃度.
溶液初始pH對吸附的影響實驗:取若干份25 mL初始濃度為100 mg·L-1的CR溶液,用梯度濃度的HCl溶液和NaOH溶液調節溶液的pH值,使其分別為2、3、5、7、9、11,分別投加CS、GC、GEC 3種吸附劑0.02 g,在25 ℃、180 r·min-1的條件下,振蕩平衡時長后取出,經0.45 μm濾膜過濾,用分光光度法(λ=499nm)測定CR溶液剩余濃度.
吸附劑投加量對吸附的影響實驗:取若干份25 mL初始濃度為100 mg·L-1的CR溶液放入碘量瓶中,分別投加0.01~0.05 g CS、GC和GEC 3種不同的吸附劑,在25 ℃、180 r·min-1的條件下,振蕩平衡時長后取出,經0.45 μm濾膜過濾,用分光光度法(λ=499 nm)測定CR溶液剩余濃度.
吸附等溫線研究:稱取若干份適量的GEC于裝有25 mL不同初始濃度的CR溶液的碘量瓶中,分別在298 、308 、318 K這3個不同溫度條件下以180 r·min-1的速度振蕩平衡時長后取出,經0.45 μm濾膜過濾,用分光光度法(λ=499nm)測定CR溶液剩余濃度.其中,CR在吸附劑上的吸附量通過式(1)計算.

式中,V為CR溶液的體積(L),m為吸附劑的用量(g),c0為CR溶液的初始濃度(mg·L-1),ce為吸附平衡時CR溶液的濃度(mg·L-1).
吸附劑再生性能研究:批量吸取25 mL初始濃度為100 mg·L-1的CR溶液放入50 mL的碘量瓶中,投加0.02 g吸附劑將所有碘量瓶置于恒溫振蕩培養箱中,在25 ℃、180 r·min-1的條件下振蕩120 min后取出,小心抽取上層清液經0.45 μm濾膜過濾,用分光光度法測定CR溶液剩余濃度.將碘量瓶中的吸附劑轉移至50 mL離心管中,加入適量去離子水對吸附劑進行洗滌,以洗去吸附劑表面未吸附牢固的CR,再將洗凈的吸附劑移至干凈的碘量瓶中,進行接下來的脫附實驗.
往裝有吸附飽和的吸附劑的碘量瓶中加入25 mL 2 mol·L-1的NaOH溶液,在60 ℃水浴條件下振蕩120 min后取出,靜置,脫附完后采用離心洗滌的方法用去離子水將吸附劑洗至中性,在60 ℃下干燥至恒重并經研磨、過篩后用于下一輪吸附-脫附實驗.
3 結果與討論(Results and discussion) 3.1 材料的表征
由CS的掃描電鏡圖可知,其表面粗糙,有很多孔和縫隙,同時內部結構堅實(圖 1a).GC的表面較CS表面要光滑一點,表面沒有大量的孔和縫隙,但出現了一些褶皺(圖 1b),這是由氧化石墨烯加入引起的,表明氧化石墨烯的引入改善了殼聚糖本身的表面形貌.GEC較CS和GC表面更平滑,無明顯縫隙,有氧化石墨烯的特征褶皺出現(圖 1c),表明EDTA-2Na的加入對氧化石墨烯和殼聚糖復合材料的形態結構有所改善.
圖 2為CS、GC和GEC的透射電鏡(TEM)圖,可以看出,CS(圖 2a)的TEM圖與GC(圖 2b)和GEC(圖 2c)的TEM圖明顯不同,對比在相同放大倍數下的CS結構(圖 2a)與GEC結構(圖 2c),不難看出復合后的材料具有更好的形貌結構,進一步說明GO的引入明顯地改善了CS的形態結構.

圖 1 CS(a)、GC(b)、GEC(c)的掃描電鏡圖

圖 2 CS(a)、GC(b)和GEC(c)的透射電鏡圖
圖 3是CS、GC、GEC的X射線衍射圖譜,從圖中可以看出,GC和GEC在2θ=20.3°和10.8°處分別出現了殼聚糖的非定形結構特征峰和氧化石墨烯的特征峰,但峰的強度較單體殼聚糖和氧化石墨烯要弱,表明氧化石墨烯和殼聚糖可能成功復合.

圖 3 CS、GC和GEC的XRD 衍射圖譜

圖 4 GO、CS、GC和GEC的紅外光譜圖
圖 4為GO、CS、GC、GEC的紅外光譜圖.從圖中可以看出,在3437、1636、1727和1086 cm-1處出現GO的O—H伸縮振動峰、C=C骨架振動吸收峰、C=O伸縮振動吸收峰和C—O伸縮振動峰.在3441、1646、1559、1416和1086 cm-1處出現CS的N—H伸縮振動峰、—NHCO—官能團上C=O伸縮振動峰、—NH2的N—H吸收峰、C—H 吸收峰和C—O振動收縮吸收峰(Wang et al.,2009;Sutar et al.,2012).從圖中還可以看出,GC的紅外圖譜中,1727 cm-1處COOH的特征峰和1559 cm-1處的—NH2特征峰不見了,在1393 cm-1處出現了新的吸收峰,表明GO的羧基和CS的氨基通過共價鍵結合,同時3440 cm-1處—OH吸收峰發生偏移,表明GO的羥基和CS的羥基之間產生氫鍵作用.而GEC的紅外圖譜顯示,在1559 cm-1處的—NH2特征峰重新出現,這是由于EDTA-2Na的加入使氨基增多,而3440 cm-1處—OH吸收峰并無明顯偏移,這是由于EDTA-2Na的部分羧基與CS的氨基反應,從而使CS與GO之間的氫鍵作用減弱.
3.2 不同材料對CR的吸附研究 3.2.1 各成分的質量配比對吸附的影響
按照2.2.2 節的制備方法制備了GO、EDTA-2Na和CS質量比分別為1∶3∶3、1∶3∶5、1∶5∶3、1∶3∶10、1∶10∶3、1∶5∶5、1∶5∶10、1∶10∶5、1∶10∶10的GEC,在同一條件下對所有材料的吸附性能進行研究,結果如圖 5所示.從圖中可以看出,GEC的吸附量普遍比GC和CS高,說明改性是成功的,且取得了一定的效果.統一實驗條件下GC的吸附量比CS略低,這是由于GO分子中的羧基和CS分子中的氨基鍵合,從而使吸附官能團的數量減少而導致吸附量降低.而EDTA-2Na的加入帶入了氨基和羧基,從而使吸附位點增多,改善了前面出現的問題,從而使吸附量大大提高.對比不同質量配比的GEC吸附量可得出,當GO、EDTA-2Na和CS質量比為1∶5∶3時,GEC吸附量最高,且遠遠超過其他材料,由此可知,制備改性氧化石墨烯/殼聚糖功能材料時三者含量最佳配比選擇為1∶5∶3.

圖 5 各成分的不同質量配比對剛果紅吸附的影響
3.2.2 溶液初始pH對吸附的影響
在不同初始pH值條件下吸附劑對CR吸附效果的影響如圖 6所示.可以看出,GEC、GC和CS 在不同pH值時的吸附量也不同,這主要是因為溶液的pH值會影響吸附劑及污染物表面的電荷分布,從而影響吸附劑與污染物之間的靜電吸引力,但總體變化幅度不大,說明靜電作用在此吸附過程中的貢獻不是很大,起主要作用的可能是氫鍵等其他作用.與此同時可以看出,GEC在相同pH條件下的吸附量遠遠高于GC和CS,說明對GC的改性具有明顯的效果.

圖 6 不同初始pH值對剛果紅吸附的影響
3.2.3 吸附劑投加量對吸附的影響
圖 7為吸附劑投加量對CR吸附效果的影響.從圖 7可以看出,GEC、GC、CS三者對CR的吸附量隨著投加量的增加逐漸降低,這是因為當溶液體積和CR初始濃度一定時,隨著吸附劑投加量增加,吸附劑上未被利用的活性位點增加,從而導致單位質量吸附劑的吸附容量降低(方巧等,2014).同時,在相同投加量情況下,GEC的吸附量比GC和CS的吸附量都要高.同時,從圖 7中還可以看出,隨著GEC投加量由0.4 g·L-1增加到2 g·L-1,CR的去除率逐漸增加,由剛開始的65%增加到接近100%.這是由于隨著GEC投加量的增加,可提供的比表面積和吸附位點也在增加(Ren et al.,2013).結合吸附量和去除率的變化,從實際應用角度出發,可選擇GEC的最佳投加量為1 g·L-1.

圖 7 吸附劑投加量對剛果紅吸附的影響

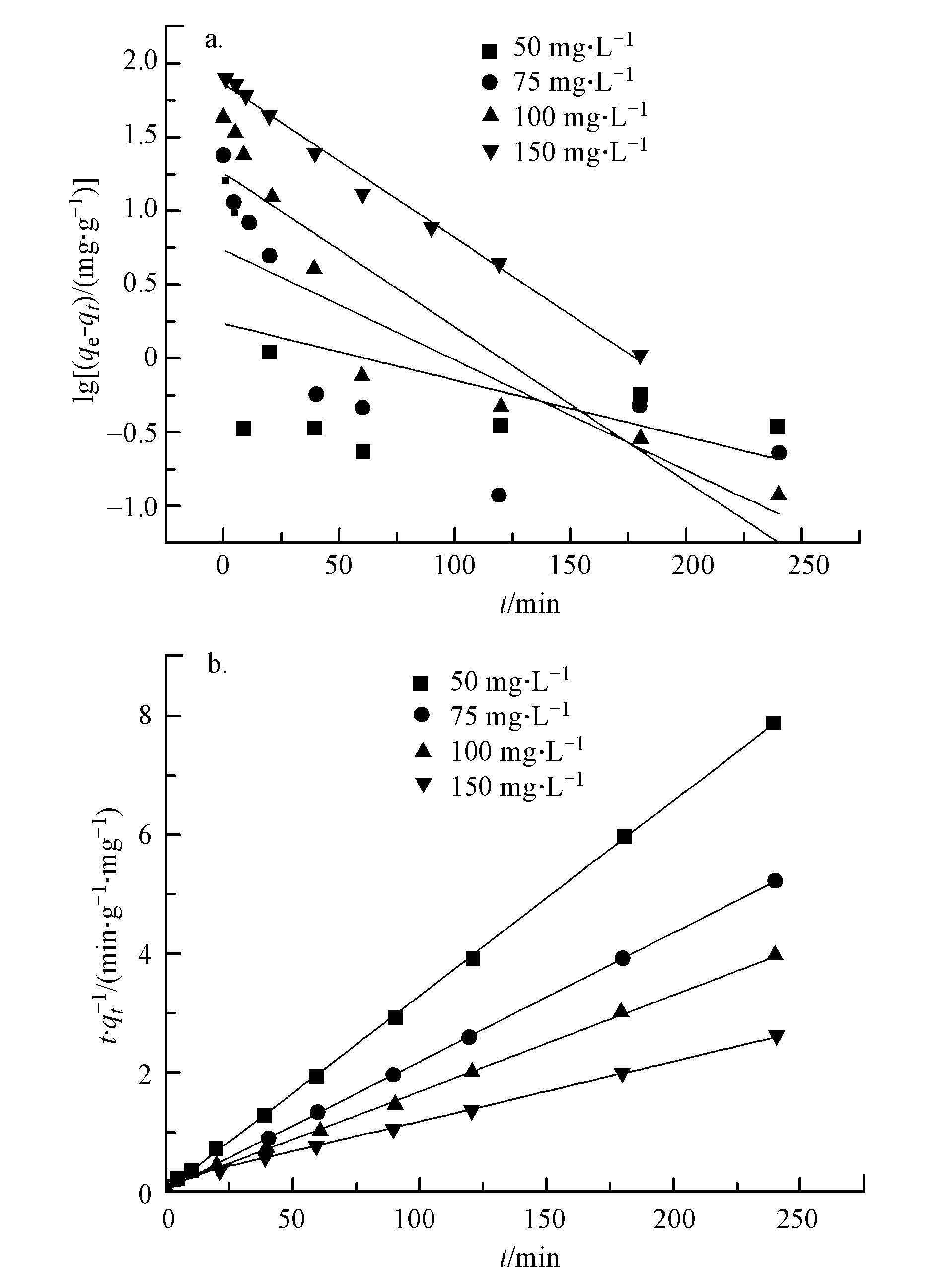
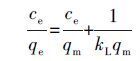
圖 8 反應時間對GEC、GC和CS吸附剛果紅的影響(a)及不同初始濃度下反應時間對GEC吸附剛果紅的影響(b)
3.2.4 反應時間對吸附的影響
圖 8a為3種吸附劑在不同反應時間對CR的吸附效果.可以看出,隨著反應時間的增長,GEC、GC和CS對CR的吸附量均在增加,并在100 min左右達到平衡,在吸附平衡處GEC的吸附量明顯比GC和CS高.圖 8b展示了在不同CR溶液初始濃度條件下,反應時間對GEC吸附效果的影響.可以看出,在不同CR溶液初始濃度條件下,隨著反應時間的增長,GEC吸附效果呈現的趨勢相似,剛開始隨著時間的增長,吸附量逐漸增加,這是由于反應初期吸附劑逐漸與CR接觸,吸附量逐漸增加,但溶液中的吸附劑達到吸附飽和狀態或者溶液中CR已基本去除后,隨著時間的增長,吸附量已不再變化,即達到所謂的平衡狀態.本實驗中,GEC對CR的吸附在100 min左右即達到平衡,此時去除率接近100%,吸附量達到91.89 mg·g-1.
3.2.5 吸附動力學研究
對于GEC對CR的吸附過程,本研究采用偽一級動力學方程(2)和偽二級動力學方程(3)(Li et al.,2013)進行擬合分析.


式中,qe和qt分別為吸附平衡時及t時對CR的吸附量(mg·g-1),k1為偽一級動力學方程的速率常數(min-1),k2為偽二級動力學方程的速率常數(g·mg-1·min-1).以lg(qe-qt)對t作直線,通過該直線的斜率和截距可分別得到k1和qe的值.以t/qt對t作直線,通過該直線的斜率和截距可分別得到qe和k2的值.

圖 9 GEC對剛果紅吸附過程的偽一級動力學(a)和偽二級動力學(b)擬合
應用上述兩種動力學方程對吸附過程進行擬合,結果如圖 9所示,相關擬合參數如表 1所示.從表 1各擬合方程的可決系數(R2)及qe的實驗值(qe,exp)與計算值(qe,cal)的符合程度可知,GEC對CR的吸附過程完全符合偽二級動力學方程.
表 1 GEC吸附CR的吸附動力學參數
3.2.6 吸附等溫線研究
最常用的兩種等溫吸附模型包括Langmuir等溫吸附方程和Freundlich等溫吸附方程(Liu et al.,2012).其中,Langmuir模型可以在較寬的濃度范圍內很好地對實驗數據進行描述,其線性形式如式(4)所示.

式中,qm為最大吸附量(mg·g-1),ce是吸附平衡時溶液中吸附質的剩余濃度(mg·L-1),qe是吸附平衡時吸附劑對吸附質的吸附量(mg·g-1),kL是與吸附性能有關的平衡常數(L·mg-1).以ce/qe對ce作直線,由該直線的斜率和截距可得qm與kL的值.在這里可定義一個無量綱分離系數RL:

式中,c0(mg·L-1)是溶液中溶質的最大初始濃度.根據RL的值可將吸附等溫線分為非優惠吸附(RL>1)、線性吸附(RL=1)、優惠吸附(0 Freundlich模型適用于發生在不均一吸附劑表面的非理想吸附,屬于經驗方程式,其線性形式為: 式中,1/n為無量綱的系數,該系數與吸附強度有關;kF為Freundlich吸附平衡常數.以lnqe對lnce作直線,通過該直線的斜率和截距可得1/n和kF的值. 圖 10 GEC吸附剛果紅的Langmuir吸附等溫線(a)和Freundlich等溫線(b)擬合 應用上述兩種吸附等溫線對實驗數據進行擬合,所得結果如圖 10和表 2所示.由表 2的擬合參數可知,Langmuir 吸附等溫模型能更好地描述GEC對CR的吸附過程.通過Langmuir吸附等溫方程式擬合可知,GEC在不同溫度條件下對CR的最大吸附容量分別為175.43 mg·g-1(298 K)、169.4 mg·g-1(308 K)和169.50 mg·g-1(318 K).此外,參數RL都符合0 表 2 GEC吸附CR的吸附等溫線參數 表 3中列出了本研究和近幾年已經報道過的吸附劑對剛果紅的最大吸附量.從表中可以看出,本研究中制備的吸附劑GEC對剛果紅的最大吸附量比其他許多吸附劑的最大吸附量高,說明GEC適合作為一種吸附劑去除水中剛果紅. 表 3 GEC與其他吸附劑性能的比較 3.2.7 吸附熱力學分析 對吸附熱力學的研究可以考察吸附過程的吉布斯自由能變化(ΔG)、熵變(ΔS)和焓變(ΔH),進而分析吸附的推動力或者判斷吸附過程是否自發進行等.熱力學參數可以通過式(7)和式(8)求出(Fan et al.,2013). 圖 11 lnK對1/T作圖 式中,R為氣體常數;T為開氏溫度(K);K為吸附過程完全平衡常數.根據式(8),以lnK對1/T作圖(圖 11),進行線性回歸分析后通過斜率和截距可分別得到ΔH和ΔS的值;ΔG的值可通過式(7)直接求出.其中,完全平衡常數K的值可通過以ln(qe/ce)對qe作直線得到,qe取值為0時的值即為K值.GEC對CR的吸附過程的熱力學參數如表 4所示. 表 4 GEC吸附CR的熱力學參數 由表 4中的熱力學參數可知,ΔH為正值,說明GEC對CR的吸附是吸熱反應,提高溫度有利于反應的進行.ΔG為負值,說明此吸附是自發過程,同時ΔG的絕對值隨著溫度的升高而增大,說明提高溫度對該吸附過程具有促進作用.ΔS為正值,說明GEC吸附CR后增加了固-液界面上物質的混亂度. 3.2.8 吸附劑再生性能研究 再生性能是評價一種吸附劑的重要指標之一,吸附劑的再生可實現多次回收利用從而降低廢水處理的成本,同時能夠回收具有利用價值的吸附質及防止飽和吸附劑里面的污染物析出而造成的二次污染.本研究利用NaOH溶液在加熱振蕩條件下對吸附飽和的GEC進行脫附處理.圖 12為同一批GEC吸附-脫附6次后每次吸附量和去除率的變化.從圖中可看出,在重復使用6次后GEC的吸附量由78.54 mg·g-1下降到73.91 mg·g-1,只下降了5.89%,這表明GEC具有良好的再生性能. 圖 12 GEC循環再生6次對剛果紅去除率和吸附量的變化影響 4 結論(Conclusions) 1) 乙二胺四乙酸二鈉改性氧化石墨烯/殼聚糖功能材料(GEC)的成功制備,不僅改善了殼聚糖在酸性溶液中的不穩定性,同時抑制了氧化石墨烯的團聚,而乙二胺四乙酸二鈉的加入為材料增加了更多的吸附基團. 2) GEC功能材料對剛果紅(CR)的吸附量比單純殼聚糖要高,且在較寬的pH值范圍內都有較高的吸附量,說明材料的改性復合明顯提高了對剛果紅的吸附能力. 3)GEC 對CR的吸附數據能夠很好地用偽二級動力學模型擬合,其吸附等溫線符合Langmuir等溫模型,此吸附過程為自發的吸熱反應.具體參見污水寶商城資料或http://m.bnynw.com更多相關技術文檔。 4) 根據Langmuir等溫模型擬合得到GEC對CR的最大吸附量分別為175.43 mg·g-1(298 K)、169.49 mg·g-1(308 K)和169.50 mg·g-1(318 K). 5) 吸附CR的GEC功能材料具有很好的再生性能,重復循環使用6次后GEC的吸附量只下降了5.89%,CR的去除率從94.25%降到88.70%.

![]()
![]()








