1 引言(Introduction)
在石油天然氣開采、煉制、化工、冶金等行業生產過程中均會產生大量的含硫廢水, 含硫廢水中的硫化物具有毒性大、腐蝕性強等特點, 會嚴重破壞金屬設備管線,給城市、工業污水系統及油氣田開發帶來巨大的經濟損失.含硫廢水還會溢出對神經系統具有強烈毒害作用且具有刺激性氣味的H2S氣體, 既危害人體健康, 又對環境造成極大污染.因此, 研究如何高效簡單地治理此類廢水成為人們關注的焦點.
目前, 國內外常采用混凝沉淀法、汽提法、氧化法等處理含硫廢水, 而氧化法因快速直接且易于操作故在含硫廢水處理方面倍受青睞.常用的氧化法通常是將硫化物直接氧化為高價態硫氧酸根, 但硫氧酸根易被硫酸鹽還原菌再次還原成硫化物造成二次污染,若將硫化物直接轉化成單質硫回收, 既能解決環境污染問題, 又能實現廢水的資源化利用.目前, 能將廢水中硫化物轉化成單質硫的方法多為生物法和電化學法,而關于以單質硫為目標產物的化學氧化法的報道極少.由于生物法多適用于低濃度含硫廢水, 且由微生物體內排出的微小硫顆粒在水中呈膠體狀態, 難以自然沉淀;電化學法生成的單質硫會在陽極表面沉積, 需要定期將單質硫從電極上除去, 以免影響電池的正常工作(Paritam et al., 2010);化學氧化法能處理高濃度的含硫廢水且生成的單質硫通過過濾即可獲得.因此, 本研究選用過氧化氫為氧化劑, 通過控制反應體系氧化還原電位(ORP), 以實現將含硫廢水中的硫化物定向氧化為單質硫的目標;同時, 研究氧化過程中單質硫的晶體結構和微觀形貌并探討單質硫顆粒增大的主要原因, 以期為實現硫化物定向氧化和單質硫資源化回收利用奠定理論基礎.
2 材料與方法(Materials and methods) 2.1 實驗材料
實驗采用Na2S·9H2O配成質量濃度為2000 mg·L-1的模擬含硫廢水, 實驗中所用30%過氧化氫、聚丙烯酰胺、丙三醇、氫氧化鈉、硫代硫酸鈉、碘、鹽酸等試劑均為分析純.
2.2 實驗裝置與儀器
實驗采用自制的氧化脫硫裝置(圖 1), 主要包括反應器和尾氣吸收裝置兩個部分, 整個反應在密閉條件下進行, 并通過尾氣吸收裝置吸收反應過程中產生的H2S氣體.實驗所用儀器包括雷磁PHS-3E型pH計、雷磁213-10型鉑電極、78-1型磁力加熱攪拌器、SHB-Ⅲ型循環水式多用真空泵.

圖 1 氧化脫硫裝置(1.酸式滴定管2.鐵架臺3.三口圓底燒瓶4.磁力加熱攪拌器5.pH計/鉑電極6.尾氣吸收瓶)
2.3 實驗方法
取200 mL含硫廢水于250 mL三口燒瓶中, 加入過氧化氫9 mL·L-1, 通過酸式滴定管加酸調節廢水初始pH為6, 在50 r·min-1的轉速下攪拌反應10 min, 并在反應過程中通過控制加酸量控制反應體系ORP, 反應結束后用0.45μm微孔濾膜過濾, 分別對濾液中可溶性產物及固相產物進行測定.在不同反應時間下對液相中單質硫進行掃描電鏡分析和粒徑測試.
2.4 分析方法
反應后濾液中SO42-采用重量法(GB11899—1989)測定, S2O32-采用滴定法測定, 體系ORP采用雷磁鉑電極測定, 固相產物晶體結構采用X Pert PRO MPD型X射線衍射儀分析, 微觀形貌采用JSM-7500F型掃描電鏡分析, 顆粒粒徑采用PALS/90PLUS型Zeta電位及粒度分析儀測量.氧化產物收率計算公式如下:
(1)
式中, Cx、C0分別代表氧化產物中硫元素的含量和原水中硫化物濃度(mg·L-1).
3 結果與討論(Results and discussion) 3.1 受控氧化過程對單質硫收率的影響
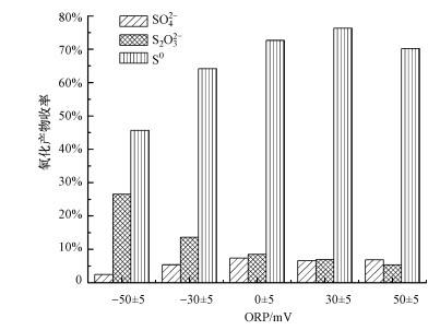
由于硫元素具有多種價態, 因此, 在氧化還原反應中會產生多種氧化產物, 形成多個氧化還原電對, 通過控制反應體系氧化還原電位(ORP)可以控制氧化反應的進程(楊鈣仁等, 2009).在過氧化氫投加量為9 mL·L-1、初始pH為6、反應時間為10 min的條件下, 不同ORP值對各氧化產物收率的影響如圖 2所示.

圖 2 體系ORP對氧化產物收率的影響
由圖 2可知, 含硫廢水受控氧化的產物包括單質硫(S0)、S2O32-和SO42-, 其中, 單質硫為主要氧化產物且收率受ORP影響較大, 隨反應體系ORP值的升高先增大后減小, 在ORP為(30±5)mV時達到最大值76.35%, 而S2O32-的收率則隨ORP值的升高而逐漸減小, 當OPR由(-50±5)mV升高至(50±5)mV時, S2O32-收率由26.54%減小至5.32%.受控氧化過程主要包括以下幾個反應:
(2)
(3)
(4)
由以上反應式可知, 要對含硫廢水進行受控氧化使單質硫成為主要產物, 應將反應(2)作為目標反應, 反應(3)、(4)則為副反應.根據標準電極電勢列表及相關計算(宋天佑等, 2010)可知, 酸性條件下各電對的標準電極電勢分別為:EAθ(H2O2/H2O)=1.776 V、EAθ(S/HS-)=-0.065 V、EAθ(SO42-/HS-)=0.251 V、EAθ(S2O32-/HS-)=0.20 V, 只有當氧化劑電對的電勢大于還原劑電對的電勢時才能發生氧化還原反應, 且兩者的差值越大, 反應進行得越完全, 因此, 相對副反應(3)、(4), 目標反應(2)發生的趨勢更大, 適當減小體系的ORP值使其接近副反應的電極電勢有利于抑制副反應的發生, 從而更有利于目標反應的進行.
另一方面, 體系的pH值與ORP值的變化呈反向關系,其變化曲線如圖 3所示.由圖 3可知, 當體系ORP值為(30±5)mV時, 體系pH值維持在6.25~6.45之間;當體系ORP值由30 mV減小至-40 mV時, pH值由6.35增大至8.00致使體系呈堿性, 而堿性條件下過氧化氫的標準電極電勢僅為0.867 V(宋天佑等, 2010), 同時還會發生分解, 使有效氧化組分減少, 從而不利于目標反應的進行.此外, 體系ORP值大于60 mV后會導致體系處于過酸的環境(pH<6), 此時HS-會進一步質子化生成H2S, 而H2S轉化為單質硫的標準電極電勢為0.142 V(宋天佑等, 2010), 比HS-轉化為單質硫的標準電極電勢大, 因此, 更不利于單質硫的形成.

圖 3 體系pH值與ORP的關系
S2O32-收率隨ORP值的升高而逐漸減小的主要原因在于體系ORP值越高, pH值越低, 當體系處于酸性條件時S2O32-會發生自氧化反應, 具體如式(5)所示.可知, S2O32-的自氧化反應會導致自身產量的降低, 同時使單質硫產量增加, 這也是單質硫收率先隨ORP值的升高而逐漸增大的另一個原因.綜上所述, 反應過程中將體系ORP控制在(30±5)mV時, 體系pH值維持在6.25~6.45之間, 恰好處于弱酸性條件, 既能保證過氧化氫的氧化能力又能使硫化物主要以HS-形式存在, 此時能較好實現含硫廢水的受控氧化, 同時副產物產量得以有效控制, 單質硫收率達76.35%.
(5)
3.2 單質硫的晶體結構
將氧化反應所得固相產物在室溫下風干并研磨后進行XRD分析, 所得的X射線衍射圖譜與單質硫標準圖譜的對比如圖 4所示.由圖 4可知, 過氧化氫氧化含硫廢水過程中產生的固相產物的X射線衍射圖譜與單質硫標準圖譜基本一致, 說明體系中產生的固相產物是單質硫.圖中強度較大的幾個衍射峰分別在2θ為23.082°、25.879°、26.749°、27.769°和28.680°處出現, 與標準圖譜的位置一致, 分別對應S的(222)、(026)、(311)、(040)和(313)晶面族.這說明過氧化氫氧化脫硫過程中產生的單質硫成分較純, 雜質少.分子Sn可以由硫原子以多種不同的方式組合而成(如S2、S4、S6和S8等), 其主要存在形式為環狀分子或鏈狀分子(陳鋒, 2013).在硫的環狀分子中S8最穩定, S8由于在晶格中排列方式的不同又可形成斜方硫(α-硫)和單斜硫(β-硫), 其中, 只有斜方硫才能在室溫下穩定存在.因此, 過氧化氫氧化處理含硫廢水過程中產生的單質硫主要為S8環狀分子、正交晶系斜方硫(鄭偉, 2006).

圖 4 固相產物的X射線衍射圖
3.3 單質硫的微觀形貌
在不同反應時間(5 s、3 min、10 min)下, 對液相中單質硫進行掃描電鏡分析, 結果如圖 5所示.由圖 5可知, 當反應時間為5 s時, 體系中的單質硫在放大倍數為1000倍下觀察呈絮狀(圖 5a);當反應時間為3 min時, 體系中的單質硫呈薄層狀, 且有向內部包裹的趨勢(圖 5b);當反應時間為10 min時, 體系中單質硫呈大小不一, 形狀為不規則的顆粒狀(圖 5c).將不同時間下的單質硫放大到20000倍觀察, 反應時間為5 s時, 體系中的單質硫是由無數個粒徑極小的顆粒聚在一起形成的層狀物, 其中較為規則的顆粒粒徑約為237.5 nm(圖 5d); 而隨著時間的延長, 層狀物逐漸向內包裹, 到反應時間為10 min時, 層狀的單質硫變為粒徑較大的不規則的顆粒硫, 其中相對規則的顆粒粒徑達到了5.563μm(圖 5f).結果表明, 在過氧化氫氧化含硫廢水的最初階段, 單質硫顆粒屬于納米顆粒, 反應一段時間后, 納米級顆粒團聚在一起, 形成了微米級顆粒.其主要原因是納米硫顆粒最初由S8環狀分子結晶而成, 而形成的納米硫顆粒由于粒度小, 比表面積大, 表面能大, 處于能量不穩定狀態, 根據能量最低原理, 在沒有其他附加條件的情況下, 納米粒子會自發地團聚(馮拉俊等, 2004).另外, 在攪拌條件下, 體系中具有一定的離心力, 也會使體系中的納米硫顆粒相互碰撞而發生聚沉.

圖 5 液相中單質硫掃描電鏡照片(a、b、c分別表示反應5 s、3 min、10 min, ×1000; d、e、f分別表示反應5 s、3 min、10 min, ×20000)
3.4 單質硫的生長團聚
由于單質硫顆粒大小直接影響單質硫在反應體系中的穩定性及沉降可分離性能, 其粒度越大越有利于單質硫的分離回收, 因此, 考察反應過程中單質硫顆粒粒度變化規律能為單質硫的有效分離和資源化回收利用提供理論支持.在不同反應時間(5 s、30 s、1 min、2 min、3 min)下, 液相中單質硫顆粒粒度變化規律如圖 6所示.

圖 6 不同時間下單質硫顆粒粒度
由圖 6可知, 當反應時間在0~5 s時, 體系中的單質硫顆粒粒徑迅速增大至248.1 nm, 之后在5 s~2 min內其粒徑隨時間延長而緩慢增大, 在2~3 min內, 體系中單質硫顆粒粒徑又由494.6 nm迅速增大至982.8 nm.出現這種現象的原因可能是在0~5 s時間段內, 主要是納米晶體的形成階段, 晶體形成的初始階段是一個非常快速的過程;在5 s~2 min時間段內, 單質硫顆粒的增大主要是晶體的生長, 而納米晶體生長的速度緩慢, 且受多種因素的限制(郝保紅等, 2006).在2~3 min時間段內, 由于磁力攪拌器的攪拌作用及納米硫顆粒本身的性質, 顆粒之間發生了團聚, 即多個納米硫顆粒在某些因素的影響下聚集在一起, 形成了較大的顆粒.由單質硫顆粒的增大趨勢可知, 單質硫顆粒迅速增大的階段主要集中在2 min之后, 由此可以推測單質硫顆粒增大的主要原因是顆粒之間發生了團聚.
通過向反應體系加入分散劑聚丙烯酰胺(PAM), 考察單質硫顆粒增大的主要原因.在相同的反應條件下, 向1 L反應體系中分別加入10、20、30 mL質量分數為0.2%的PAM, 不同反應時間(1、3、5、7、9、11、13、15 min)下, 單質硫顆粒粒度如圖 7所示.

圖 7 不同濃度PAM條件下單質硫顆粒粒度
由圖 7可以看出, 向反應體系加入PAM后, 體系中的單質硫顆粒粒度隨反應時間的延長而緩慢增大, 且在相同時間內隨PAM濃度的增大而逐漸減小, 說明體系中加入的分散劑濃度越大, 單質硫顆粒的分散性越好.在0~15 min這段時間內, 體系中單質硫顆粒的粒度范圍為85.2~1341.3 nm, 當反應時間為9 min時, 體系中粒度最大為865.1 nm;而相同條件下, 在未加分散劑的反應體系中, 當反應時間為3 min時, 單質硫顆粒粒度達到928.8 nm, 當反應時間為10 min時, 單質硫顆粒粒度已達到5.563μm.這說明分散劑的加入明顯阻礙了單質硫顆粒的增大, PAM使單質硫分散的主要原因是其通過靜電作用力或范德華力等在顆粒表面形成的吸附膜產生了強大的空間排斥效應(馮拉俊等, 2004), 這與Janssen等(1996)在研究微生物產生的硫顆粒的表面特性和機理時得出了相似的結論, 即鏈狀高分子的存在會阻礙硫顆粒的聚合, 導致其呈現一種高度分散的狀態, 而向體系中加入分散劑是控制顆粒團聚的有效方法之一.由此可知, 過氧化氫氧化含硫廢水過程中生成的單質硫顆粒增大的主要原因是顆粒間的團聚.具體參見污水寶商城資料或http://m.bnynw.com更多相關技術文檔。
4 結論(Conclusions)
1) 通過控制反應體系氧化還原電位(ORP)可以控制氧化反應進程, 使單質硫成為主要氧化產物, 其收率隨反應體系ORP值的升高先增大后減小, 在ORP為(30±5)mV時達到最大值76.35%;當ORP由(-50±5)mV升高至(50±5)mV時, 副產物S2O32-收率顯著下降, 由26.54%降低至5.32%.
2) 通過XRD對反應過程中的固相產物進行晶體結構分析, 根據所得的X射線衍射圖譜和標準圖譜進行對比可知, 體系中所得的固相產物為單質硫, 且以結構穩定的環狀分子S8、正交晶系斜方硫為主.
3) 通過SEM對反應過程中的單質硫進行觀察可知, 液相中的單質硫是由多個極小的顆粒聚集而成, 并且隨著時間的延長由最初的絮狀變為薄層狀, 然后逐漸向內部包裹最終形成大小不一、形狀不規則的顆粒狀單質硫; 結合Zeta電位及粒度分析可知, 隨著反應時間的延長, 單質硫顆粒粒徑由納米級逐漸增大至微米級.
4) 通過對反應過程中單質硫顆粒粒度分析可知, 單質硫顆粒在0~5 s內迅速增大, 在5 s~2 min內增長緩慢, 在2~3 min時, 其粒徑由494.6 nm迅速增大至982.8 nm, 通過向反應體系中加入分散劑證明了單質硫顆粒增大的主要原因是顆粒間發生了團聚.


