1 引言(Introduction)
孔雀石綠(Malachite Green, MG)是一種極易溶于水的三苯甲烷類染料, 可廣泛應用于印染、食品加工、醫藥、水產養殖和工業等各個領域中, 尤其在水產養殖中, 孔雀石綠可作為驅蟲劑、殺蟲劑、防腐劑廣泛用于預防與治療水霉病、鰓霉病和小瓜蟲病等.但其廣泛使用造成的負面效應, 如對哺乳動物細胞、水生生物和其他有機生命體的致癌致畸效應也逐漸凸現出來, 引起了科學界的廣泛關注.因此, 美國、日本、英國等許多國家和地區立法嚴禁使用孔雀石綠, 且該染料已被美國食品和藥物管理局(US Food and Drug Administration)列為致癌性測試的優先化學物質之一, 也被我國列入《食品動物禁用的獸藥及其化合物清單》中, 禁止用于所有食品動物.
吸附、化學沉淀、光降解、滲透和膜過濾等理化處理技術已被用于高殘留、高毒性、高致畸致癌性的孔雀石綠污染處理,然而, 理化處理方法往往費用昂貴且易產生二次污染.生物處理技術作為一種環境友好型且高效低耗的處理手段而受到青睞.本課題組針對生物處理技術實際應用中受溫度、pH值、碳氮含量等環境因素影響較大的難題, 致力于篩選環境適應性更強的染料降解菌株, 已相繼報道了多株可高效降解孔雀石綠和甲基橙等染料的菌株, 如Enterobacter sp. DH9、Aeromonas sp. DH6等.但總體而言, 當前的研究工作多集中在降解行為的研究上, 而有關降解機制的研究則相對較為薄弱.因此, 本實驗在前期研究工作的基礎上研究菌株CV-v的降解行為, 同時對該菌株降解孔雀石綠的降解機制進行探討, 以期為指導實際染料污染水體修復墊定理論基礎.
2 材料與方法(Materials and methods)2.1 菌種來源
菌株CV-v來源于常年被皮革廢水污染的污泥中, 保藏于中國典型培養物保藏中心(CCTCC M 2015177).
2.2 培養基與試劑
孔雀石綠(Malachite Green, λmax=620 nm)屬于三苯甲烷類染料, 購自國藥集團化學試劑有限公司;其它生化試劑均為國產分析純.
碳源影響實驗培養基母液(pH=7.0, g·L-1):Na2HPO4 15.13, KH2PO4 3.0, NaCl 0.5, NH4Cl 1.0, MgSO4·7H2O 0.491, CaCl2·2H2O 0.026.氮源影響實驗培養基母液(pH=7.0, g·L-1):Na2HPO4 15.13, KH2PO4 3.0, NaCl 0.5, MgSO4·7H2O 0.491, CaCl2·2H2O 0.026.其他因子影響實驗培養基母液(pH=7.0)為2.0 g·L-1的酵母粉溶液.LB培養基(pH=7.0~7.2, g·L-1):蛋白胨10, 酵母膏5, NaCl 10.
2.3 菌株CV-v對孔雀石綠的脫色特性研究2.3.1 碳氮源對孔雀石綠脫色的影響
將供試碳、氮源(碳源:葡萄糖、乳糖、半乳糖、蔗糖、麥芽糖、果糖、木糖和淀粉;氮源:氯化銨、硝酸鈉、牛肉浸提物、酵母粉、蛋白胨、谷氨酸和甘氨酸)分別添加至培養基中, 使其終濃度為2.0 g·L-1.滅菌后, 添加已滅菌的終濃度為100 mg·L-1的孔雀石綠, 接種等量菌株CV-v過夜培養物(菌體干重為0.1~0.2 g·L-1), 并于30 ℃、180 r·min-1條件下振蕩培養, 定時取樣測定.
2.3.2 pH值對孔雀石綠脫色的影響
用1.0 mol·L-1的HCl或NaOH將培養基初始pH值分別調為2.0、3.0、4.0、5.0、6.0、7.0、8.0、9.0和10.0.滅菌后, 添加已滅菌的終濃度為100 mg·L-1的孔雀石綠, 接種等量菌株CV-v過夜培養物(菌體干重為0.1~0.2 g·L-1), 并于30 ℃、180 r·min-1條件下振蕩培養, 定時取樣測定.
2.3.3 溫度對孔雀石綠脫色的影響
設定溫度梯度分別為10、20、30、40和50 ℃.培養基滅菌后, 添加已滅菌的終濃度為100 mg·L-1的孔雀石綠, 接種等量菌株CV-v過夜培養物(菌體干重為0.1~0.2 g·L-1), 并于180 r·min-1條件下振蕩培養, 定時取樣測定.
2.3.4 染料濃度對孔雀石綠脫色的影響
分別調整初始染料濃度為100、200、300、400、500、600、700、800、900和1000 mg·L-1, 接種等量菌株CV-v過夜培養物(菌體干重為0.1~0.2 g·L-1), 并于30 ℃、180 r·min-1條件下振蕩培養, 定時取樣測定.
2.3.5 金屬離子對孔雀石綠脫色的影響
分別向培養基中添加終濃度為1.0、2.0和3.0 mmol·L-1的CuCl2、FeCl3、CaCl2、ZnCl2、MgCl2和MnCl2, 滅菌后, 添加已滅菌的終濃度為100 mg·L-1的孔雀石綠, 接種等量菌株CV-v過夜培養物(菌體干重為0.1~0.2 g·L-1), 并于30 ℃、180 r·min-1條件下振蕩培養, 6 h后取樣測定.
所有實驗均重復3次, 并同時設置對照實驗.
2.3.6 菌株CV-v對孔雀石綠的脫色動力學研究
在酵母粉溶液(2.0 g·L-1)中添加100 mg·L-1的孔雀石綠, 接種后, 每隔一定時間收集4 mL樣品, 于12000 r·min-1下離心10 min后, 上清液在620 nm處測定吸光度.所有實驗重復3次并同時設置對照實驗.
2.4 菌株CV-v降解孔雀石綠的酶分析
孔雀石綠脫色過程中的相關酶分析方法參照文獻(Du et al., 2013).配制含有和不含有100 mg·L-1孔雀石綠的酵母粉溶液(2.0 g·L-1), 分別接種等量菌株CV-v過夜培養物(菌體干重為0.1~0.2 g·L-1), 并于30 ℃、180 r·min-1條件下振蕩培養, 12 h后取出并收集菌體.菌體沉淀用無菌磷酸鹽緩沖液(100 mmol·L-1, pH=7.4)沖洗3次后, 重懸于5 mL磷酸鹽緩沖液中, 在冰浴條件下(4 ℃)進行超聲破碎, 破碎條件為:200 W, 破碎99次, 每次破碎7 s, 破碎間隔時間為3 s.離心后取上清液, 作為粗酶液進行分析.
酪氨酸酶、漆酶、木質素過氧化物酶、錳過氧化物酶、NADH-DCIP還原酶及孔雀石綠還原酶酶活測定方法具體參見文獻(Du et al., 2013).酪氨酸酶、漆酶、錳過氧化物酶和木質素過氧化物酶的一個單位定義為一個吸光度值變化, 單位為unit·min-1·mg-1(以protein計);NADH-DCIP還原酶活性用DCIP的消光系數(90 L·mmol-1·cm-1)計算;孔雀石綠還原酶活性用孔雀石綠的消光系數(1.47×105 L·mmol-1·cm-1)計算.
2.5 菌株CV-v降解孔雀石綠產物的測定2.5.1 紫外可見光分光光度法(UV-Visible analysis)
分別收集降解前(未加菌)和降解后(培養24 h后)的混合培養物, 并在10000 r·min-1條件下離心10 min, 取上清, 用Evolution 300分光光度計進行全波長掃描分析.
2.5.2 紅外掃描光譜法(Fourier Transform Infrared Spectroscopy, FTIR)
分別收集降解前(未加菌)和降解后(培養24 h后)的混合培養物, 并在10000 r·min-1條件下離心10 min, 取上清, 用Bruker VERTEX 70紅外光譜儀在可清洗的水溶液專用透射池中進行紅外掃描分析, 掃描波長范圍為1000~3000 cm-1, 檢測器系統為DigiTect.
2.5.3 氣相質譜分析(Gas Chromatography-Mass Spectrometry, GC-MS)
分別收集接種前和接種后的混合培養物4 mL, 經三苯甲烷萃取后, 用于降解產物的分析.采用Trace GC Ultra和ISQ II MS對降解產物進行分析.GC-MS柱為TG-35ms的石英毛細管柱(30 m ×0.25 m id, 0.25 μm), 柱溫設定為從100 ℃程序升溫至280 ℃(8 ℃·min-1), 10 min內升至280 ℃.載氣(氦氣)流速為1 mL·min-1, 注射器和檢測器溫度為250 ℃.降解產物的質譜分析在EI模式、70 eV條件下進行滿掃.
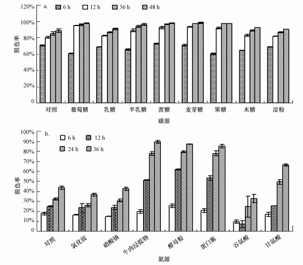
3 結果與討論(Results and discussion)3.1 菌株CV-v對孔雀石綠的脫色特性3.1.1 碳氮源對孔雀石綠脫色的影響
碳氮源對菌株CV-v脫色孔雀石綠的影響如圖 1所示.培養6 h后, 多數供試碳源對脫色沒有顯著影響, 而當培養時間超過12 h后, 所測碳源均對脫色有顯著的促進效應, 其中, 葡萄糖對脫色的促進效果最為顯著(圖 1a).任倩等(2007)在報道中指出, 葡萄糖作為菌體生長基質的碳源, 對脫色有顯著影響, 本研究進一步印證了該結論.在供試氮源中, 無機氮源(氯化銨和硝酸鈉)對脫色沒有顯著影響, 而多數有機氮源(牛肉浸提物、酵母粉、蛋白胨、谷氨酸和甘氨酸)則對脫色有顯著的影響, 其中, 酵母粉對脫色促進效果最優, 而谷氨酸則對脫色有微弱的抑制效應.

圖 1碳源(a)和氮源(b)對孔雀石綠脫色的影響
3.1.2 pH值和溫度對孔雀石綠脫色的影響
pH值和溫度對孔雀石綠脫色的影響如圖 2所示.當培養時間達到6 h后, 菌株CV-v在pH=3.0~10.0之間對孔雀石綠的脫色率均在80%以上, 而當培養時間達到12 h后, 該菌株對孔雀石綠的脫色率維持在90%以上.隨著培養時間的延長, 當培養時間超過24 h后, 該菌株在pH=3.0~10.0之間可完全脫色孔雀石綠.安賢惠等(2013)的研究中分離了一株Aeromonas屬的菌株, 該菌株對100 mg·L-1孔雀石綠的脫色率達到96.9%需要48 h以上的培養時間;Lv等(2013)的研究發現, 菌株Deinococcus radiodurans R1對孔雀石綠的脫色效果在pH 6.0~8.0之間時最優, 而當pH值低于6.0或高于8.0時, 該菌株對孔雀石綠的脫色率則急劇下降;本課題組以往的研究中分離的菌株Enterobater sp. DH9在pH=3.0~9.0之間時, 也需培養24 h以后, 對孔雀石綠的脫色率才能維持在90%以上.與以往已報道菌株相比, 本研究中的菌株CV-v在pH=3.0~10.0之間對孔雀石綠的12 h脫色率在90%以上, 脫色優勢顯著, 環境適應性強, 具有廣闊的應用前景.

圖 2 pH值(a)和溫度(b)對孔雀石綠脫色的影響
在溫度為10~50 ℃的范圍內, 菌株CV-v對孔雀石綠的6 h脫色率維持在80%以上;當培養時間超過24 h后, 該菌株在10~50 ℃內對孔雀石綠的脫色率在90%以上, 在20~50 ℃的條件下, 可完全脫色孔雀石綠, 溫度適應性強, 進一步說明了該菌株具有較大的實際應用潛能.以往研究顯示, 溫度通過影響脫色菌株的生物量能夠顯著影響細菌對染料的脫色效率.一般而言, 在大多脫色體系中, 脫色率隨著溫度的升高而呈現上升趨勢, 最大脫色率一般為菌體生長的最適溫度, 只有某些嗜熱菌株的最適脫色溫度最高可達60 ℃左右(Pearce et al., 2003).相比較而言, 本研究中的菌株CV-v在50 ℃的條件下培養6 h后, 能夠脫色95%以上的孔雀石綠(100 mg·L-1), 脫色優勢顯著, 適應性較強, 有望用于解決夏季溫度過高, 污泥降解染料效率極低的實踐難題.
3.1.3 染料濃度和金屬離子對孔雀石綠脫色的影響
染料濃度對孔雀石綠脫色的影響如圖 3a所示.隨著染料濃度的升高, 菌株CV-v對孔雀石綠的脫色率呈逐漸降低的趨勢, 當孔雀石綠濃度低于500 mg·L-1時, 菌株CV-v在6 h內即可完全脫色孔雀石綠;當孔雀石綠濃度高于800 mg·L-1后, 脫色率降至80%以下, 而當孔雀石綠濃度為1000 mg·L-1時, 脫色率則降至40%左右.Pearce等(2003)的報道中指出, 染料作為目標污染物, 其濃度會顯著影響脫色率, 當染料濃度過高時, 可能對降解菌株產生毒性效應.因此, 當孔雀石綠濃度超過500 mg·L-1后, 孔雀石綠對菌株CV-v的毒性效應開始顯現出來, 進而導致脫色率的降低.

圖 3染料濃度(a)和金屬離子(b)對孔雀石綠脫色的影響
金屬離子對孔雀石綠脫色的影響如圖 3b所示.當供試金屬離子濃度低于1 mmol·L-1時, 多數金屬離子對脫色沒有顯著影響, 或有微弱促進或抑制作用;而當金屬離子濃度升高至2 mmol·L-1時, 銅離子和鐵離子已對脫色有顯著的抑制效應;隨著金屬離子濃度的繼續升高, 當其濃度達到3 mmol·L-1后, 鈣離子和鎂離子也開始對脫色有微弱的抑制效應.同時, 當體系中鐵離子濃度達到3 mmol·L-1后, 孔雀石綠脫色率有所提升, 這可能是因為在該濃度下, 鐵離子開始發揮絮凝作用, 進而導致孔雀石綠脫色率的升高.總體而言, 3 mmol·L-1以下濃度的錳離子對該菌株脫色孔雀石綠有較好的促進作用.
3.1.4 菌株CV-v對孔雀石綠的脫色動力學特征
Das等(2010)的報道中指出, 微生物對染料的脫色動力學可以用零級(式(1))、一級(式(2))和二級模型(式(3))進行模擬.
式中, Ct表示染料在t時的濃度(mg·L-1), C0表示染料溶液的初始濃度(mg·L-1), t表示培養時間(min), k0、k1和k2分別指零級、一級和二級速率常數.基于以上公式, 將本研究中的動力學實驗數據擬合后做圖, 結果如圖 4所示.實驗結果表明, 菌株CV-v對孔雀石綠脫色的動力學實驗數據與模型2擬合度最高(R2=0.9755), 而與模型1(R2=0.7745)和模型3(R2=0.677)的擬合度較低.因此, 菌株CV-v對孔雀石綠脫色的動力學特征可以用一級模型來進行解釋.

圖 4菌株CV-v對孔雀石綠的脫色動力學特征
3.2 菌株CV-v降解孔雀石綠的酶學特征
已有報道顯示, 染料的微生物降解主要由微生物體內的相關酶催化引起, 其中, 酪氨酸酶、漆酶、木質素過氧化物酶、錳過氧化物酶和NADH-DCIP還原酶等已被證實可能與染料的微生物降解相關(Shedbalkar et al., 2008).本研究中菌株CV-v降解孔雀石綠過程中相關酶活結果見表 1.如表 1所示, 孔雀石綠降解過程中, 酪氨酸酶、漆酶、木質素過氧化物酶和NADH-DCIP還原酶的酶活性在降解后都略有升高, 但這種變化趨勢不顯著(p>0.05), 說明這些酶與菌株CV-v降解孔雀石綠關系不大.而錳過氧化物酶和孔雀石綠還原酶的酶活性則在降解后有顯著升高(p < 0.05), 說明這兩種酶可能與菌株CV-v降解孔雀石綠相關.有研究顯示, 錳過氧化物酶發揮催化作用需要錳離子的參與(李旭東等, 2008), 而本研究中錳過氧化物酶的酶活性在降解后升高與金屬離子影響實驗研究中發現的錳離子促進脫色的現象相互印證.
表 1 菌株CV-v降解孔雀石綠相關酶的酶活性
注:a.單位為unit·mg-1·min-1(以protein計); b.單位為μg·mg-1·min-1, 以每分鐘每mg蛋白的DCIP減少量(μg)表示; c.單位為μg·mg-1·min-1, 以每分鐘每mg蛋白的孔雀石綠減少量(μg)表示; 表中數據為平均值±標準差; *p≤0.05, **p≤0.01.
3.3 菌株CV-v降解孔雀石綠的產物分析及降解途徑推測
利用UV-visible全波長掃描(200~800 nm)對孔雀石綠脫色前后進行分析的實驗結果如圖 5所示.已有研究表明, 微生物對染料的脫色若由生物降解引起, 則染料的特征吸收峰在脫色后完全消失, 可產生新的產物吸收峰;若脫色由生物吸附引起, 則脫色前后的全波長掃描圖譜中的吸收峰呈比例性降低, 且不產生新的吸收峰(Khataee et al., 2010;Parshetti et al., 2010).因此, 由圖 5可知, 孔雀石綠的特征吸收峰(620 nm)在脫色后完全消失, 同時, 210 nm處的吸收峰略有升高, 且300~400 nm之間吸光度較脫色前也略有升高, 表明該菌株對孔雀石綠的脫色是由生物降解引起.

圖 5孔雀石綠脫色前后的全波長掃描圖譜
進一步的FTIR掃描分析圖譜(1000~3000 cm-1)如圖 6所示.對比孔雀石綠降解前后的紅外掃描圖譜可以發現, 降解后產生的新吸收峰峰位主要位于2754、1976、1710、1641、1550、1530和1366 cm-1處.經檢索可知, 波數為2754 cm-1處的吸收峰可能是由于—OH基團的伸縮振動引起的, 波數為1976 cm-1處的吸收峰可能是由苯環上的—CH基團的伸縮振動引起的, 波數為1710 cm-1處的吸收峰可能是由脂肪酮的—CO基團的伸縮振動引起的, 波數為1641 cm-1處的吸收峰可能是由二芳酮的—CO基團的伸縮振動引起的, 波數為1550、1530 cm-1處的吸收峰可能是由—NH2基團的伸縮振動引起的, 波數為1366 cm-1處的吸收峰可能是由芳胺的—NH2基團的伸縮振動引起的(吳瑾光1994).因此, 孔雀石綠降解后出現的新的產物基團主要包括—OH、—CO和—NH2.

圖 6孔雀石綠脫色前后的FTIR圖譜
孔雀石綠降解前后的GC-MS分析結果表明, 孔雀石綠降解的主要檢出產物為二甲氨基二苯甲酮(保留時間為14.07 min), 具體如圖 7所示.該產物與GC-MS NIST數據庫中的標準物比對的相似度為70.3%.從二甲氨基二苯甲酮質譜圖上來看, 該產物的特征離子片段主要為:77(82)、105(28)、148(100)和225(36), 與GC-MS NIST數據庫中的標準物基本一致, 可以推斷二甲氨基二苯甲酮為孔雀石綠降解的中間產物之一.

圖 7二甲氨基二苯甲酮與GC-MS NIST數據庫中的標準物比對的質譜圖
通過孔雀石綠降解中間產物的分析, 可以推測菌株CV-v降解孔雀石綠的主要降解途徑為孔雀石綠經孔雀石綠還原酶、錳過氧化物酶等降解相關酶的催化, 降解生成二甲氨基二苯甲酮和4-羥基-N, N-二甲基苯銨, 二者可能通過進一步的脫甲基反應生成含—NH2基團的產物.具體參見污水寶商城資料或http://m.bnynw.com更多相關技術文檔。
4 結論(Conclusions)
1) 本研究通過單因素實驗獲知溫度、pH值、碳氮源、金屬離子和初始染料濃度等環境因素對菌株CV-v脫色孔雀石綠的影響, 結果表明, 該菌株的pH和溫度適應能力較強, 應用前景廣闊.此外, 菌株CV-v對孔雀石綠脫色的動力學符合一級動力學模型.
2) 酶分析實驗結果表明, 錳過氧化物酶和孔雀石綠還原酶可能參與菌株CV-v降解孔雀石綠的反應過程.
3) 代謝產物分析結果表明, 菌株CV-v降解孔雀石綠的主要產物為二甲氨基二苯甲酮和4-羥基-N, N-二甲基苯銨, 二者可能通過進一步的脫甲基反應生成含—NH2基團的產物.



