由于國家政策的支持和人們對生豬產品需求量的增加, 我國生豬養殖業迅速發展, 規模不斷擴大; 但伴隨養豬規模化與集約化迅速發展的同時, 所產生的豬場廢水更為集中, 廢水日排放量高達數百萬噸.豬場廢水中富含氮磷、有機物、懸浮物等, 是一種成分十分復雜的高氨氮、高負荷有機廢水, 若該廢水不經過妥善處理便排放, 會通過地表徑流污染地表水與地下水, 導致水質惡化, 危及周邊生活用水, 嚴重影響人體健康, 因此豬場廢水的有效處理引起了人們的廣泛關注, 而根據豬場廢水的水質特點, 厭氧生物處理技術成為首選.但另一個關鍵性的問題在于, 豬場廢水經過厭氧處理后, 其出水仍會殘留較高的氨氮, 不能向環境直接排放, 需作進一步的處理.這類出水屬于高氨氮、低碳氮比廢水, 其高效脫氮是處理過程中的重點與難點.當前對其主要的處理技術有SBR與生物接觸氧化等工藝, 但實際處理效果不夠理想.土地滲濾是一種傳統的低成本廢水處理方法, 它充分利用了土地的自凈能力, 具有基建投資低、運行費用少、抗沖擊負荷強、操作管理簡便等優點; 特別是在低碳比有機廢水處理中, 具有獨特的優勢, 對氨氮具有良好的去除效果.但目前的土地滲濾系統處理的有機負荷較低, 即進水有機物濃度不能過高, 因此如何進一步提高處理效能, 特別是在進水有機污染物濃度較高的情況, 以減少設施用地, 是現有土地滲濾工藝亟待突破的一個技術問題.
鑒于此, 筆者設計了新型生態高負荷土地快速滲濾系統, 以經過厭氧反應器處理后的豬場廢水為研究對象, 探討了不同水力負荷條件下該土地快速滲濾系統對豬場廢水中COD、氨氮及總氮的去除效果; 同時利用磷脂脂肪酸(PLFA)技術, 分析了生態高負荷土地快速滲濾系統中的微生物群落結構; 并利用分光光度法測定了該系統中過氧化氫酶、脲酶以及硝酸鹽還原酶的含量, 旨在為土地滲濾系統處理豬場廢水提供科學的指導.
1 材料與方法1.1 試驗用水
試驗用水取自廣西某養豬場存儲廢水的調節池, COD濃度為450~700 mg·L-1, 氨氮濃度為140~220 mg·L-1, 總磷濃度為2.97~7.06 mg·L-1, pH為7.0~8.5.
1.2 試驗裝置與試驗過程
生態高負荷土地快速滲濾系統如圖 1所示, 該系統為兩級串聯, 主體反應器由PVC圓柱制成; 濾床總高度為165 cm, 有效直徑為15 cm, 上方有30 cm的進水空間, 下方有出水口用于收集處理后的廢水; 填料從上至下分別為砂子、碳粉、碎石等, 填料層的有效高度為130 cm.豬場廢水由反應器頂部噴灑至濾料表面, 底部出水.采用自然通風, 且在濾床的側壁上的不同高度設有取樣口.

圖 1 土地滲濾系統結構示意
該土地快速滲濾系統在室溫下運行, 首先考察了水力負荷為11 cm·d-1(即1 d投配廢水兩次, 每次加水1 L)與22 cm·d-1(即1 d投配廢水兩次, 每次加水2 L)的運行條件下, 該系統對COD、氨氮以及總氮的去除效能.繼而對該系統中的微生物群落以及過氧化氫酶、脲酶、硝酸鹽還原酶的含量進行了分析.
1.3 分析方法
進出水COD采用重鉻酸鉀法測定.氨氮采用納氏試劑分光光度法進行分析.總氮利用雙通道紫外可見分光光度計進行測定.在土地快速滲濾系統上、中、下部取樣口取得填料樣品, 進行PLFA與酶活性的分析; PLFA分析參考SHERLOCK系統所提供的操作手冊, 土地樣品預處理需要經過皂化、甲基化以及萃取過程, 而后通過SHERLOCK微生物鑒定系統與安捷倫6890高效氣相色譜儀對其特征脂肪酸進行分析鑒定.脲酶含量的分析, 稱取一定量樣品, 注入1 mL甲苯, 15 min后加10 mL 10%尿素液和20 mL pH 6.7檸檬酸鹽緩沖液; 搖勻混合物后, 培養24 h; 培養結束后, 吸取濾液3 mL, 注入50 mL容量瓶中, 而后加蒸餾水至20 mL; 再加4 mL苯酚鈉溶液和3 mL次氯酸鈉溶液, 定容, 顯色20 min后, 于波長578 nm處比色, 脲酶活性以24 h后1 g土壤中氨氮的毫克數表示; 過氧化氫酶含量的測定, 稱取一定量樣品, 置于三角瓶中, 并注入40 mL蒸餾水和5 mL 0.3%過氧化氫溶液, 振蕩20 min, 吸取25 mL濾液, 用0.02 mol·L-1 KMnO4滴定至淡粉紅色終點, 用所消耗的KMnO4來表征過氧化氫酶含量; 硝酸鹽還原酶的含量則通過酚二磺酸比色法進行分析, 即稱取一定量樣品, 置于三角瓶中, 加20 mg CaCO3和1 mL 1% KNO3, 培養24 h, 培養結束后, 加入50 mL水、1 mL鋁鉀礬溶液, 取20 mL移于瓷皿上蒸干; 加入1 mL酚二磺酸處理10 min, 在420 nm比色分析.
2 結果與討論2.1 土地快速滲濾系統對有機物的去除效果
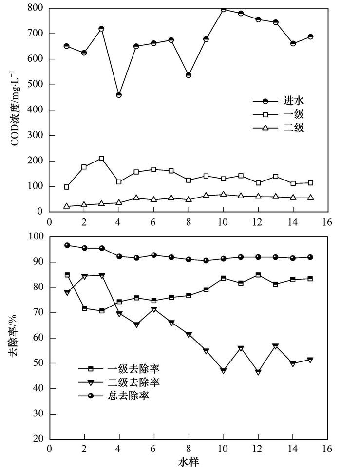
水力負荷是單位時間在單位面積上投配的水量, 是土地滲濾系統設計的主要參數, 水力負荷與占地面積、水力停留時間密切相關, 在實際工程中, 提高水力負荷以降低占地面積, 可大大降低工程造價.因此, 本文首先研究了在水力負荷為11 cm·d-1與22 cm·d-1時, 該土地滲濾系統對COD的去除情況, 結果如圖 2與圖 3所示.

圖 2 水力負荷為11 cm·d-1時COD的去除情況

圖 3 水力負荷為22 cm·d-1時COD的去除情況
土地滲濾系統對COD的去除是生物機制與非生物機制共同作用的結果, 在系統運行的初期, 土地中微生物含量較少, 系統對污染物的去除主要依靠填料的吸附和截留作用, 大量的污染物在此階段被土地吸附與截留, 表現為出水的COD濃度較低; 隨著運行時間的增加, 微生物在填料中大量繁殖, 因此在系統運行的后期, 系統對COD的去除主要依靠生物機制, 吸附和截留的污染物開始被分解, 表現為COD去除率穩定.由圖 2可知, 在水力負荷為11 cm·d-1、進水COD為700 mg·L-1左右的條件下, 一級土地快速滲濾柱與二級土地快速滲濾柱的出水COD分別為140.0 mg·L-1、50.0 mg·L-1, 最低值僅為21.4 mg·L-1; 同時去除率分別為78.8%與63.0%, 總去除率達到了92.6%, 出水COD滿足《畜禽養殖業污染物排放標準(GB 18596-2001)》的要求.同樣由圖 3可知, 當水力負荷增大到22 cm·d-1時, 一級土地滲濾柱與二級土地滲濾柱的出水COD分別為96.4 mg·L-1、56.3 mg·L-1; 同時去除率分別為93.0%與39.3%, 總去除率仍在90.0%以上, 雖然水力負荷增大, 使得COD去除率略有下降, 但仍在90%左右, 因此該系統表現出了對有機物良好的去除能力, 即使在進水COD為700 mg·L-1, 仍表現出了高效的運行效果.
2.2 土地快速滲濾系統對氨氮的去除效果
豬場廢水具有典型的“三高”特征, 即高COD、高氨氮、高懸浮液, 現有處理工藝多針對有機物去除, 而對氨氮去除尚存在一定的技術經濟難度, 進而氨氮成為豬場廢水達標排放的主要限制因素.因此, 本文研究了該土地快速滲濾系統對氨氮的去除情況, 結果如圖 4與圖 5所示.

圖 4 水力負荷為11 cm·d-1時氨氮的去除情況

圖 5 水力負荷為22 cm·d-1時氨氮的去除情況
土地滲濾系統對廢水中氮的去除機制包括土地吸收、生物脫氮以及氨氮揮發, 其中微生物的氨化、硝化與反硝化作用是土地滲濾系統去除氮元素的主要途徑.由圖 4與圖 5可知, 在水力負荷為11 cm·d-1與22 cm·d-1時, 該土地快速滲濾系統對氨氮總的去除率分別達到了99.2%與99.1%, 出水氨氮僅為1.46 mg·L-1與1.39 mg·L-1, 且運行穩定, 表明該系統對于氨氮具有良好的去除效果, 可有效保障豬場廢水的達標排放.
2.3 土地快速滲濾系統對總氮的去除效果
繼而本文分析了在水力負荷為11 cm·d-1與22 cm·d-1時, 該土地快速滲濾系統對總氮的去除情況, 結果如圖 6所示.

圖 6 水力負荷為11 cm·d-1與22 cm·d-1時總氮的去除情況
由圖 6可知, 在水力負荷為11 cm·d-1與22 cm·d-1時, 該土地快速滲濾系統對總氮總的去除率分別為39.8%與29.9%, 對總氮的效果并不是特別理想, 原因在于在土地滲濾系統中, 表層土地為好氧層, COD的去除主要在這一層完成; 下層土地為反硝化作用發生的缺氧層, 但隨著沿程有機物的減少, 使得缺乏反硝化作用所需的碳源, 從而造成總氮去除率不高.雖然《畜禽養殖業污染物排放標準(GB 18596-2001)》中并沒有對總氮的排放提出具體的要求, 但隨著人們對于環境保護的加強, 在今后的研究中應進一步對該土地快速滲濾系統進行改良, 提高其對總氮的去除效能.
2.4 土地快速滲濾系統中酶含量分析
當前對于土地快速滲濾系統的研究主要集中對污染物的去除效能、水力負荷、系統堵塞問題等方面, 而作為廢水凈化重要參與者的酶卻研究甚少.而酶和微生物的活動密切相關, 各類微生物和酶協同作用于各種復雜的有機物質, 將其分解成簡單的化合物, 從而實現對廢水中污染物的去除, 因此本文對水力負荷為22 cm·d-1時, 一級與二級土地快速滲濾系統中的過氧化氫酶、脲酶、硝酸鹽還原酶的含量進行了分析, 如圖 7~9所示.

圖 7 過氧化氫酶的含量分析

圖 8 脲酶的含量分析

圖 9 硝酸鹽還原酶的含量分析
過氧化氫酶是參與土地中物質和能量轉化的一種重要氧化還原酶, 在一定程度上可以表征土地生物氧化過程的強弱; 更為重要的是可以表征活性微生物量及其對有機物的降解活性.由圖 7可知, 在進豬場廢水前, 一級土地快速滲濾系統上、中、下部的過氧化氫酶含量分別是1.687、0.845、0.318 mL·g-1, 經過處理豬場廢水后, 上、中、下部的過氧化氫酶含量分別是1.899、0.990、0.323 mL·g-1, 表明該系統對有機物的去除具有良好的效果, 這與圖 2結果也是一致的; 并且可以看出, 有機物的去除主要發生在一級土地快速滲濾系統的上部與中部.同時由圖 7可知, 二級土地快速滲濾系統處理豬場廢水后, 上、中、下部的過氧化氫酶含量分別是0.171、0.387、0.165 mL·g-1, 與一級土地快速滲濾系統相比, 其含量有了很大程度的減少, 表明二級土地快速滲濾系統對于有機物的去除更多的是一個保障與深度處理的作用, 且更多的是去除一些豬場廢水中難于生物降解的有機污染物.
脲酶是一種作用于線性酰胺的C—N鍵的水解酶, 它能夠催化酰胺化合物轉變為氨, 在有機氮的降解過程中發揮著重要作用.黃映恩等人研究表明脲酶活性越大, 土地滲濾系統對總氮的去除率越高, 在土地滲濾系統脫氮過程中, 脲酶發揮了重要作用, 它能促進有機氮向無機氮的轉化, 使系統脫氮能力增強.由圖 8可知, 經過處理豬場廢水后, 一級土地滲濾系統上、中、下部的脲酶含量分別是0.202、0.465、0.206 mg·g-1, 與處理前相比, 脲酶含量均有一定程度的提升, 并且可知對于廢水中有機氮的轉換主要發生在滲濾系統的中部, 原因在于氨化細菌相對于降解有機物的異養菌而言, 其生長較為緩慢.同時由圖 8可知, 經過處理豬場廢水后, 二級土地滲濾系統上、中、下部的脲酶含量分別是0.152、0.143、0.090 mg·g-1, 表明該系統對于有機氮的轉換也發揮了一定的作用.
通過分析硝酸鹽還原酶可以了解土地滲濾系統解脫氮作用強度, 并且硝酸鹽還原酶活性與出水總氮濃度之間存在著一定的負相關關系, 由圖 9可知, 經過處理豬場廢水后, 一級土地快速滲濾系統上、中、下部的硝酸鹽還原酶含量分別是1.197、2.925、2.941 mL·g-1, 而二級土地快速滲濾系統上、中、下部的硝酸鹽還原酶含量分別是3.453、3.831、1.971 mL·g-1, 表明對于脫氮作用主要發生在一級土地快速滲濾系統的中部與下部, 以及二級土地快速滲濾系統的上部與中部, 且二級土地快速滲濾系統所發揮的作用更為明顯.
2.5 土地快速滲濾系統中微生物群落情況
土地滲濾中微生物的數量和種類非常豐富, 主要包括細菌、放線菌、真菌等; 而這些微生物群落對于廢水處理過程中有機物的分解, 氮素的轉化發揮著關鍵作用, 因此對于土地滲濾中微生物的群落分析就顯得尤為重要. PLFA法已發展了近40年, 成為土地微生物生態學研究的經典方法, 其操作簡便, 研究結果較為準確、高效且無需分離和培養技術, 可定量描述土地環境中微生物群體.因此, 本文利用PLFA對該土地快速滲濾系統中上部與下部的微生物群落分布進行了分析, 如圖 10所示.

內環:上部;外環:下部
圖 10 土地滲濾系統中的微生物群落分布
由圖 10可知, 一級土地快速滲濾系統上部與下部Gram Negative(革蘭氏陰性菌)、Eukaryote(真核生物)、Fungi(真菌)、Gram Positive(革蘭氏陽性菌)、Anaerobe(厭氧菌)所占比例分別為:55.45%與55.87%、8.92%與4.09%、26.24%與27.88%、8.72%與11.11%、0.67%與1.05%, 表明上部與下部的Gram Negative變化并不是非常明顯, 周莉娜等的研究表明高濃度氨氮會使Gram Positive含量下降, 因此該系統上部Gram Positive低于下部; 同時由于上部溶解氧含量較高, 因此上部的Anaerobe含量低于下部.同時由圖 9可知, 二級土地快速滲濾系統上部與下部AM Fungi(叢枝菌真菌)、Gram Negative、Eukaryote、Gram Positive、Anaerobe、Actinomycetes(放線菌)所占比例分別為:0.49%與0.58%、25.25%與41.2%、1.93%與2.58%、67.90%與49.54%、2.13%與3.24%、2.30%與2.86%, Gram Positive的含量發生了明顯的變化, 降低了18.36%, 主要原因在于亞硝氮和硝氮使Gram Positive的含量下降, 可能是由于亞硝氮和硝氮對某些微生物具有直接的毒性作用, 從而導致這部分微生物直接死亡; 在二級土地快速滲濾系統中AM Fungi與Actinomycetes占有一定的比例, 這類微生物可促進難降解的有機物的降解, 可以對整個土地快速滲濾系統的處理效能起到保障的作用.具體參見污水寶商城資料或http://m.bnynw.com更多相關技術文檔。
3 結論
(1) 該生態高負荷土地快速滲濾系統對豬場廢水具有良好的去除效果, 在高有機負荷情況下, COD與氨氮的去除率可以分別達到90%、99%左右, 出水COD與氨氮濃度分別為50 mg·L-1、1.4 mg·L-1左右, 滿足《畜禽養殖業污染物排放標準(GB 18596-2001)》的要求.
(2) 對于有機物的去除主要集中在該土地快速滲濾系統一級濾柱的上部與中部, 其過氧化氫酶含量較高; 對于廢水中有機氮的轉換主要發生在一級土地快速滲濾系統的中部, 同時二級土地快速滲濾系統起到了保障的作用; 而脫氮作用主要發生在一級土地快速滲濾系統的中部與下部, 以及二級土地快速滲濾系統的上部與中部, 且二級土地快速滲濾系統所發揮的作用更為明顯.
(3) 該土地快速滲濾系統微生物以Gram Negative與Gram Positive為主, 高濃度的亞硝氮和硝氮使Gram Positive的含量有所下降, AM Fungi與Actinomycetes為去除豬場廢水中的難降解有機物提供了保障.


