近來年, 隨著抗生素的大量使用, 人們開始逐漸關注環境體系中的抗生素、抗性菌和抗性基因的分布及行為特點(Li et al., 2015).我國是抗生素生產與消費的大國, 抗生素的年生產量約為21×104 t, 年人均消費量是美國的10倍(佟娟等, 2012).抗生素的存在是導致細菌產生抗藥性的重要原因之一, 細菌一旦產生抗藥性, 又可通過基因轉移的方式傳播, 導致環境中抗生素抗性菌的污染逐漸嚴重, 從而對生態環境和人體健康造成危害(孔德勇, 2015).污水處理廠由于生活污水、醫藥廢水、養殖廢水等的排入, 使得這些污水中的抗生素抗性菌也隨之進入.國內外的污水處理廠均檢測出大量抗生素抗性菌的存在, 已經成為環境中抗生素抗性菌的儲存庫(Kim et al., 2007).但同時, 污水處理也是去除抗生素抗性菌及控制抗性傳播的關鍵環節(Rijal et al., 2009).
目前, 國內外已經開展了較多關于污水處理廠抗生素抗性菌的調查分析, 但多集中在污水處理廠進出水中目標抗性菌的分布情況, 對于不同工藝及季節對抗性菌影響的分析較少.Munir等(2011)調研了MBR工藝(Membrane bioreactor, MBR)、傳統工藝(Conventional activated sludge process, CAS)等不同工藝的出水中抗生素抗性菌的數量, 發現污水處理廠出水中仍含大量抗性菌, 且MBR工藝去除磺胺類抗性菌效果更好, 但在去除四環素抗性菌時MBR工藝和傳統工藝沒有顯著性差異(p>0.05).相比于傳統工藝, MBR工藝具有運行管理方便、占地面積少、處理水質穩定、脫氮效果優良等優點.但它對抗生素抗性菌的去除是否表現出絕對優勢性, 目前還沒有明確結論.另外, Yuan和Mackuak等在研究不同季節抗性菌去除效果時發現, 春、夏季污水處理廠對抗性菌的去除效果優于冬季(Mackuak et al., 2014; Yuan et al., 2014).
基于此, 本研究通過調查無錫市污水處理廠進出水中抗生素抗性菌的分布情況, 對比不同工藝及不同季節污水處理廠抗生素抗性菌的去除效果, 以了解無錫市污水處理廠抗生素抗性菌的現狀, 旨在為未來城市污水處理廠的抗生素抗性菌環境風險評估和優化去除提供理論依據和技術支持.
2 實驗部分(Experiments) 2.1 污水處理廠選取及樣品采集
為研究MBR工藝與傳統工藝在去除抗生素抗性菌效果的差異性, 本文選擇位于無錫市的6座污水處理廠, 對其進出水中的抗生素抗性菌進行調查, 并依次編碼為A、B、C、D、E及F廠, 各污水處理廠分別設計3個采樣點(F廠為2個采樣點):1號采樣點位為污水處理廠的沉砂池出水(同一個污水廠的2種水處理工藝進水水質相同), 即生化池進水;2號采樣點位為MBR工藝膜池出水;3號采樣點位為傳統工藝出水, 其中, A廠出水為二沉池出水, E廠出水為轉盤過濾器出水, 其它廠均為濾布濾池出水, 且為了減少不同消毒處理工藝帶來的差異性, 所有出水未經過消毒處理.各污水處理廠情況如表 1所示.其中, MBR工藝均為AAO工藝與膜反應器的組合形式, 膜生物組件采用中空纖維膜, 膜材料為常見的聚偏氟乙烯(PVDF), 孔徑大小 < 0.5 μm, 并采用抽吸泵抽吸的方式運行.膜組件的具體信息如表 2所示.
表 1(Table 1)
表 1 污水處理廠基本情況

表 2(Table 2)
表 2 膜組件信息

2015年夏季(9月和10月)進行2次樣品采集, 2016年冬季(1月、2月和3月)進行3次樣品采集.進出水樣品各采集50 mL并儲存于無菌采樣瓶, 樣品采集后立即于4 ℃保存, 并在48 h內稀釋進行接種培養實驗.
2.2 抗生素抗性菌的檢測方法
抗生素按其化學結構可分為β內酰胺類、大環內酯類、四環類、氨基環醇類和喹諾酮類及其他.同時, 參考我國抗生素的使用情況和抗性菌的分布情況(李振等, 2009; Łuczkiewiczet al., 2010; 陸孫琴等, 2011), 選擇氨芐霉素、紅霉素、四環素、卡那霉素及環丙沙星這5種抗生素依次代表常見的5類抗生素, 從而測試無錫市污水處理廠進出水中抗生素抗性菌的分布.本研究利用傳統的異養菌平板培養法來檢測目標抗生素抗性菌.同時為了說明抗生素抗性菌占總異養菌的比例, 也檢測了進出水中的總異養菌數量.
首先, 依據《臨床和實驗室標準協會》(Clinical And Laboratory Standards Institute, CLSI)中抗生素對細菌的最小抑制濃度確定目標抗生素濃度, 具體如表 3所示.
表 3(Table 3)
表 3 目標抗生素基礎信息及使用濃度

其次, 利用培養基R2A agar(CM0906, OXOID, 配制濃度為18.1 g·L-1)制備抗生素培養基(Zhang et al., 2015), 具體操作為:R2A agar用蒸餾水配好后于121 ℃高壓滅菌20 min, 冷卻至60~70 ℃后根據表 3中抗生素的使用濃度, 加入一定量的抗生素母液(用于總異養菌計數的平板無需添加抗生素, 直接倒平板即可), 與培養基混合均勻后倒入平板中, 待冷卻至室溫后使用.
最后, 檢測抗生素抗性菌.具體操作為:用磷酸鹽緩沖液(PBS, pH=7.4) 將待測水樣梯度稀釋, 取50 μL接種于含抗生素的R2A瓊脂平板中, 在30℃培養箱中培養24 h, 選取菌落數為30~300的平板進行計數, 細菌計數采用細菌活菌平板計數方法(沈萍, 2007).總異養菌的檢測方法同抗生素抗性菌檢測, 只是將接種平板更換為無抗生素平板.
3 結果與討論(Results and discussion) 3.1 污水處理廠進水中抗生素抗性菌的分布
如圖 1所示, 5種目標抗生素抗性菌在污水處理廠進水中均可檢出, 說明污水處理廠中抗生素抗性菌普遍存在.進水中總抗生素抗性菌濃度為1.01×105~2.17×105 CFU·mL-1, 各廠進水中總抗生素抗性菌含量排序為D廠>C廠>E廠>B廠>A廠>F廠, 5種抗生素抗性菌的含量排序為氨芐霉素抗性菌>紅霉素抗性菌>四環素抗性菌、卡那霉素抗性菌和環丙沙星抗性菌.其中, C廠和D廠氨芐霉素抗性菌分別為1.48×105 CFU·mL-1和1.66×105 CFU·mL-1;而F廠氨芐霉素抗性菌為8.02×104 CFU·mL-1, 僅為D廠的1/2.
圖 1(Fig. 1)

圖 1 抗生素抗性菌在不同污水處理廠的分布情況(n=5)
本研究調查的目標污水處理廠進水中, D廠包括兩家大型醫院的排水, E廠進水中含有制藥廢水, A、B、C、F廠的進水中只包含小型社區醫院的廢水排放.對照圖 1可知, D廠的總抗生素抗性菌數量最多, 很可能是由于進水中含有較多醫院廢水和工業廢水導致, 醫院廢水中常常含有較高濃度的抗生素(Lindberg et al., 2004; Huang et al., 2011).研究認為, 在長期的抗生素驅動壓力下可能誘發細菌進行選擇性基因突變和基因水平轉移(Heuer et al., 2007), 從而增加抗生素抗性菌的數量(Accinelli et al., 2007).E廠雖然工業廢水比例較低(10%), 但由于進水中含有制藥廢水, 導致其抗生素抗性菌的濃度也較高.由此說明抗生素抗性細菌的含量分布與區域周邊生活污水、工業廢水的排放及人類活動等因素密切相關, 此觀點得到Xu等(2015)認同.
另外, 本研究中氨芐霉素抗性菌是目標污水處理廠進水含量最多的抗生素抗性菌.國內的研究表明, 污水處理廠β-內酰胺類抗性菌的比例高于其他幾種常檢測的抗性菌.例如, Yuan等(2014)研究發現, 污水處理廠出水和活性污泥中總異養菌對頭孢氨芐產生抗性的比例都超過30%, 而對慶大霉素和四環素產生抗性的比例都低于10%;陸孫琴等(2011)和Yin等(2013)發現, 污水處理廠β-內酰胺類抗性菌濃度高于四環素類抗性菌.其原因主要是氨芐霉素屬于β-內酰胺類抗生素, 這類抗生素是我國醫療抗生素中最常使用的藥物, 并且常被過量使用(Gao et al., 2012), 該類抗生素的大量排放會引起其抗性菌的產生.而國外的相關研究表明, 國外的污水處理廠中含量最多的抗生素抗性菌并不是氨芐霉素抗性菌.例如, Reinthaler等(2003)和Watkinson等(2007)分別發現從澳大利亞某污水處理廠廢水中分離的大腸桿菌對四環素的抗性均高于50%.Galvin等(2010)對從愛爾蘭地區污水處理廠中分離出的大腸桿菌進行研究發現, 氨芐霉素抗性菌占12.5%~24.5%, 四環素和環丙沙星抗性菌分別占12.4%~39.0%和0~7.5%.另外Guardabassi等(2002)對從丹麥的污水處理廠污水中分離的不動桿菌進行研究, 發現進水中對氨芐青霉素的抗性最弱.由此可知, 不同地區污水處理廠中同種抗生素抗性菌的含量區別較大, 這很可能與不同地區消費的抗生素種類不同有關.具體參見污水寶商城資料或http://m.bnynw.com更多相關技術文檔。
3.2 抗生素抗性菌占總異養菌的比例
污水處理廠進水中總異養菌(Heterotrophic plate count, HPC)濃度為1.413×105 ~2.749×105 CFU·mL-1, 出水中總異養菌濃度比進水低1個數量級, 濃度為0.242×105 ~0.876×105 CFU·mL-1.由表 4可知, 雖然污水處理對抗生素抗性菌有一定的去除能力, 但A廠、D廠及F廠出水中四環素抗性菌占總異養菌的比例相對于進水沒有明顯下降, 反而有增加趨勢, 例如, A廠進水中四環素抗性菌占總異養菌的比例為2.35%, 而出水中增加至5.01%.另外, 出水中卡那霉素、環丙沙星抗性菌占總異養菌的比例相對于進水也沒有明顯降低.
表 4(Table 4)
表 4 不同抗生素抗性菌占總異養菌的比例

Zhang等(2009)在研究中發現, 污水處理工藝能去除1~3個數量級的不動桿菌和總異養菌, 然而出水中抗生素抗性菌的比例明顯增加.同時, Figueira等(2011)發現,環丙沙星和卡那霉素占總異養菌的比例也有出水高于進水現象.其中, 關于四環素抗生素抗性菌的研究中, Kim等(2007)認為, 增強活性污泥有機負荷和減少污泥泥齡(SRT)會導致SBR工藝處理后的四環素抗性菌增多, 而且抗生素抗性菌所占比例沒有明顯減少.該觀點被很多研究者認同, 劉沖等(2013)認為可能是由于污水處理工藝沒有選擇性地去除四環素抗性菌;也可能是活性污泥對四環素有較好的吸附效果造成(四環素在活性污泥上的最大吸附量為72 mg·g-1)(宋現財, 2014), 當污泥中的細菌被更多四環素包圍, 將誘導出更多的四環素抗性菌或抑制其他抗性菌生長;又有可能是污泥中的四環素抗性菌隨著出水排出造成, 但這還需進一步分析.
總體來看, 污水處理過程雖然可以消減抗生素抗性菌的總量, 但抗生素抗性菌的比例卻有增加趨勢.目標污水處理廠選擇性去除抗生素抗性菌的效果不佳, 出水中仍含有大量的抗生素抗性菌, 這些抗生素抗性菌進入環境后會進一步引起水體、土壤等污染, 進而危害人類健康.
3.3 工藝對抗生素抗性菌的影響
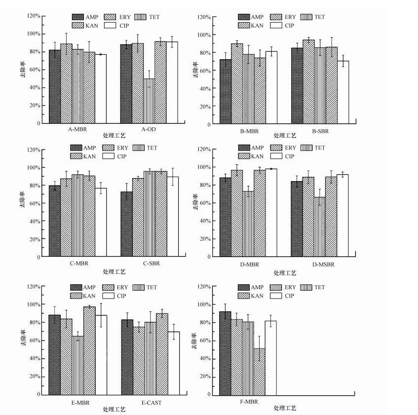
不同工藝對抗生素抗性菌的去除效果如圖 2所示, MBR工藝對氨芐霉素抗性菌、紅霉素抗性菌有較好的去除效果, 去除率分別為72.00%~91.80%和83.51%~96.50%, 傳統工藝對上述抗生素抗性菌的去除率分別約為72.56%~88.20%和74.48%~93.92%.但MBR工藝對四環素、卡那霉素和環丙沙星抗性菌的去除率沒有明顯優勢.
圖 2(Fig. 2)

圖 2 不同工藝的抗生素抗性菌去除效果(n=5)
由圖 2還可知, 污水處理廠中MBR工藝和傳統工藝對抗生素抗性菌的去除率都比較高, 尤其是對氨芐霉素和紅霉素抗性菌的去除率最高.研究其化學結構可知, β-內酰胺類和大環類脂類分別含有酰胺鍵和酯鍵等易水解的敏感化學鍵(邵一如等, 2013), 抗生素抗性菌含有消除這些脆弱化學鍵的酶而摧毀這些抗生素的活性, 從而減少抗生素抗性菌的含量.針對不同的抗生素抗性菌, 不同的處理工藝其處理抗生素抗性菌的效果也有所不同.本研究發現, MBR工藝對氨芐霉素抗性菌的去除效率普遍高于傳統工藝.主要原因有:MBR膜池MLSS濃度較高, 為了保持較高的傳氧速率需要加大曝氣強度, 有利于污泥微生物分解抗生素, 從而強化抗生素抗性菌的去除(劉陽等, 2008); MBR膜反應器的膜孔徑均不超過0.5 μm, 在兼顧傳統活性污泥的吸附作用的基礎上強化了物理攔截作用;MBR膜反應器的水力停留時間和污泥停留時間分離, 能夠更好地實現抗生素的降解和吸附, 提高污水處理工藝對抗生素的去除率, 進而改善抗生素抗性菌的去除率(Kim et al., 2005).這一結果也被其他學者所證實, Choi等研究發現, MBR工藝對氨芐霉素抗性菌的去除率(高于90%)高于傳統工藝, 并且隨著污泥停留時間(SRT)的延長去除效果逐漸升高(Choi et al., 2007; Xia et al., 2012);Munir等(2011)在研究MBR工藝和傳統工藝對抗生素抗性菌的去除效果時發現, 傳統工藝對四環素抗性菌的去除效果高于MBR工藝.產生這種現象的原因可能是MBR工藝的生化池污泥濃度比傳統工藝高, 而活性污泥對四環素有良好的吸附性能, 從而導致MBR工藝中由于抗生素壓力或者基因轉移產生更多的四環素抗性菌.其次, 部分研究認為, MBR工藝去除難降解有機物如抗生素等更依賴于化合物自身結構, 如苯環個數和所含氯的數量等(韓磊等, 2009).
總體來說, 通過比較MBR工藝和傳統工藝對污水處理廠抗生素抗性菌的去除率, 發現不同工藝對不同抗生素抗性菌去除優勢性不同.其中, MBR工藝去除氨芐霉素抗性菌和紅霉素抗性菌有一定優勢性, 而去除四環素、卡那霉素和環丙沙星抗性菌的優勢不明顯.
3.4 季節對抗生素抗性菌的影響
冬、夏季6個污水處理廠對5種抗生素抗性菌的去除量如表 5所示.由表 5可知, 在所調研的6個污水處理廠中, 總異養菌和多數抗生素抗性菌的夏季去除量均高于冬季去除量, 并且大部分沒有表現出冬、夏季的顯著性差異(p>0.05), 只有環丙沙星抗性菌表現出冬、夏季的顯著性差異(p < 0.05), 其中, 夏季環丙沙星抗性菌的去除量為1.525×103~7.12×103 CFU·mL-1, 冬季環丙沙星抗性菌的去除量為0.9×103~5.25× 103 CFU·mL-1.
表 5(Table 5)
表 5 不同季節抗生素抗性菌的去除量
對于總異養菌和抗生素抗性菌的夏季去除量高于冬季去除量的現象, 可能是由微生物生長的最佳溫度導致, 夏季溫度較高時微生物活性增強, 難降解有機物(如抗生素類)在較高溫時更容易被降解.Yuan等(2014)也認為春、夏季抗生素抗性菌多于冬季, 其中, 環丙沙星去除量有明顯的季節差異(p < 0.05).環丙沙星主要用于治療敏感菌引起的呼吸道感染、胃腸道感染、傷寒等疾病, 而冬季屬于流行性感冒等疾病多發季節, 所以環丙沙星等抗生素的使用也隨之增加并表現出顯著季節差異性.Mackuak等(2014)也研究發現,環丙沙星抗生素有明顯的季節差異性.由此看來, 污水處理廠中抗生素抗性菌的變化與抗生素的使用量關系密切.因此, 為減少環境中抗生素抗性菌的數量, 應該嚴格控制抗生素的使用.
4 結論(Conclusions)
1)5種抗生素抗性菌在無錫市6座污水處理廠進出水中均可檢出, 且抗生素抗性菌濃度與各污水處理廠的工業廢水和醫藥廢水比例呈正比.進水中濃度為103~105 CFU·mL-1, 出水濃度比進水低1~2個數量級, 且氨芐霉素抗性菌數量最多, 占總異養菌的比例超過50%.同時, 部分污水處理廠出水中抗性菌占總異養菌的比例相對于進水有增加趨勢.
2) 對比MBR工藝和傳統工藝對抗性菌的去除率, 發現不同工藝對不同抗生素抗性菌去除優勢不同.MBR工藝對去除氨芐霉素和紅霉素抗性菌表現出一定優勢, 而MBR工藝對去除四環素、卡那霉素和環丙沙星沒有表現出一定的優勢性.
3) 通過比較不同季節對抗性菌去除量的影響, 發現夏季抗性菌的去除量略多于冬季, 且只有環丙沙星抗性菌的去除量表現出顯著的季節性差異(p < 0.05).


