鉻污染主要來源于電鍍、印染、金屬加工等行業,長期接觸對人體具有致癌作用。 鉻在水中主要以三價鉻 Cr(Ⅲ)和六價鉻 Cr(Ⅵ)的形式存在,與 Cr(Ⅲ)相比,Cr(Ⅵ)毒性較強,具有強氧化能力且難沉淀析出;因此,我國污水綜合排放標準明確規定總鉻和六價鉻的最高排放濃度分別為 1. 5 mg·L - 1和0. 5 mg·L - 1。
含鉻廢水的脫除方法有很多,一般采用離子交換法、膜分離法、沉淀法和吸附法等,其中吸附法因具有操作簡單、成本低、可再生、處理效果好等優點而得到了廣泛的應用。 在常用的吸附劑中,活性炭因具有高機械穩定性、高比表面積和發達的孔隙結構等優點受到了較多的關注。 水熱炭化是將生物質放在密閉的水溶液中,通過加熱( < 300 ℃)反應使生物質快速發生溶解和炭化,形成水熱炭。 同傳統制備活性炭的(物理活化、化學活化)方法相比,水熱炭化是一種簡便的炭化技術,反應條件比較溫和,生物質不需要干燥,同時還保留了原材料中的氮、氧元素,水熱炭表面含有豐富的含氧官能團,對重金屬離子吸附性強,可應用在吸附領域。 最初水熱炭化以葡萄糖等純碳水化合物為原料,最后逐步擴散到比較復雜的生物質為原料。 GONG 等將葡萄糖水熱炭化后,在靜態空氣下活化,制備了高比表面積層次孔炭,且在常溫下,對二氧化碳具有很好的選擇性吸附。 HAO 等以青草為原料,水熱炭化后經二氧化碳活化制備的活性炭,在 0 ℃ 、10 kPa 的壓力下對二氧化碳的吸附量為 1. 45 mmol·g- 1,是氮氣摩爾吸附量的 14. 5 倍,具有良好的選擇性吸附。 KUMAR 等以柳枝稷為原料,300 ℃ 下水熱炭化制備的水熱炭吸附劑,溶液呈中性時對水中鈾具有良好的吸附效果,吸附量為 4 mg·g- 1。 LIU 等以米糠為原料,水熱炭化制備了含有豐富官能團的水熱炭吸附劑,能夠很好地去除水中的鉛,吸附量為2. 40 mg·g- 1。
柚子皮約占柚子全重的44% ~ 55% ,富含纖維素、木質素、果膠和水分,大量的柚子皮被直接丟棄,得不到充分利用。 目前,以生物質為吸附劑脫除六價鉻的研究雖然很多,但以水熱炭為吸附劑的研究較少。 鑒于此,本文以柚子皮為原料,采用操作簡單、能量消耗低、對環境友好的水熱炭化法制備水熱炭,并研究各種因素對柚子皮水熱炭吸附六價鉻的性能影響。
1 實驗部分
1. 1 材料與儀器
將搜集到的柚子皮水洗、烘干、粉碎過 60 目篩,置于干燥器中備用,其工業分析組成為:水分(Mad ) ,10. 91% ;灰分(Aad) ,2. 42% ;揮發分(Vad ) ,68. 78% ;固定碳( FCad) ,13. 58% 。
實驗試劑與儀器:K2Cr2O7 、H2 SO4 、H3 PO4 、丙酮、二苯碳酰二肼等試劑均為分析純,紫外可見分光光度計( TU-1810 ) ,數顯恒溫振蕩箱( SHA-B) , pH 計( pHS-25C) ,電子天平( BS-224S ) ,數顯鼓風干燥箱(GZX) 。
1. 2 吸附劑的制備和表征
取 15 g 柚子皮,80 mL 的 1. 84 mol·L - 1稀硫酸溶液,攪拌均勻后置于不銹鋼反應釜中,190 ℃下炭化12 h,自然冷卻至室溫,收集水熱炭,用去離子水不斷洗滌至中性,120 ℃下烘干過 60 目篩備用。
采紅外光譜儀(Avatar-370)測定水熱炭的表面官能團;采用元素分析儀( FLASH 2000 NC Analyzer)測定柚子皮原料及水熱炭中碳、氫、氮、氧的百分含量;采用氮吸附分析儀(Autosorb-iQ-MP)測試水熱炭的孔結構,利用 BET 法計算水熱炭的比表面積,BJH 模型計算其孔徑分布,取相對壓力為 0. 99 的吸附量來計算其總孔容。
1. 3 水熱炭對 Cr(Ⅵ)的吸附測定
以柚子皮水熱炭為吸附劑,用 1 mol·L - 1的 NaOH 和 1 mol·L - 1的 HCl 調節 pH 值,置于振蕩器上振蕩(120 r·min - 1)一定時間后,將溶液靜置后過濾,用二苯碳酰二肼分光光度法測定濾液中 Cr(Ⅵ)濃度。吸附率 η(% )和吸附量 q(mg·g- 1) 計算方法如下:
吸附率:
吸附量:
式中:C0 為溶液中初始 Cr(Ⅵ)質量濃度,mg ·L - 1;Ct為 t 時刻溶液中剩余 Cr(Ⅵ)質量濃度,mg ·L - 1;m為吸附劑用量,g;V 為吸附所移取的 K2Cr2O7 溶液體積,L。
2 結果與討論
2. 1 元素分析
柚子皮及柚子皮水熱炭的元素分析如表 1 所示。 在水熱炭化的過程中,柚子皮經過脫水、脫羧、聚合等反應后形成水熱炭,其固炭率提高,由原來的48. 38%上升至 60. 08% ;相反,氫、氮、氧元素含量有所下降,分別由原來的 5. 68% 、2. 09% 、43. 84%下降至 4. 29% 、1. 19% 、29. 10% ,但也保留了原料中大部分的氮氧元素,可以在表面形成豐富的含氧官能團。

表 1 樣品元素分析

2. 2 水熱炭的紅外光譜
圖 1 為柚子皮水熱炭的紅外光譜圖,在 3 698 ~3 000 cm - 1處的吸收峰,主要是醇、酚中 O—H 的伸縮振動,2 900 cm - 1處的吸收峰主要為芳環上 C—H的伸縮振動, 2 256 cm - 1處為 CO2 分子吸 收峰,1 750 ~ 1 620 cm - 1處的吸收峰主要是醛、酮及羧酸中 C ? ?O 的伸縮振動;1 100 cm - 1處有一較強的吸收 峰,主要為酸、酐、醇及醚中 C—O 伸的縮振動;此外在 625 cm - 1處還有一吸收峰, 主要為 芳環 上 的C—H 的面外彎曲振動。 可知,柚子皮經過脫水、脫羧、聚合等反應后在表面形成了豐富的含氧官能團,作為吸附劑可以增強與六價鉻之間的庫侖引力,同時與六價鉻發生氧化還原反應,從而脫除六價鉻。
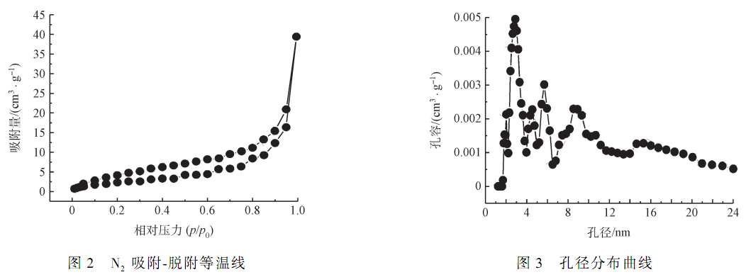
2. 3 柚子皮水熱炭的孔結構
柚子皮水熱炭的 N2 吸附-脫附等溫曲線如圖 2 所示。 可知,在低壓區(0 ~ 0. 1)水熱炭的氮吸附量變化較小,隨著相對壓力的繼續增加,氮吸附量緩慢增加,屬 IV 型曲線;相對壓力在 0. 1 ~ 0. 9 之間,可以 看到明顯的吸脫附滯后環,表明有大量的中孔存在。 柚子皮水熱炭的孔徑分布曲線如圖 3 所示。 氮吸附結果表明,柚子皮經水熱炭化后的比表面積和總孔容分別為 79 m2·g- 1和 0. 362 cm3·g- 1 ,孔徑分布較寬,主要在 2 ~ 24 nm 之間,是典型的介孔材料。 較多的中孔可以為離子提供擴散通道,減小離子的擴散阻力,加速擴散的過程,從而達到很好的吸附效果。

2. 4 柚子皮水熱炭對 Cr(Ⅵ)吸附效果研究
2. 4. 1 吸附劑加入量對吸附效果的影響
稱取 0. 1 ~ 1. 0 g 的柚子皮水熱炭,分別加入到50 mL 初始 Cr(Ⅵ)濃度為 50 mg·L - 1、 pH = 6 的溶液中,35 ℃振蕩吸附 90 min,結果如圖 4 所示。 當水熱炭加入量由 0. 1 g 增大到 0. 4 g 時,吸附率由11. 61% 快速增加到 99. 03% ,隨加入量繼續增加( 0. 4 ~ 1. 0 g ) , 吸 附 率 變 化 不 大 ( 99. 03% ~98. 50% ) ,吸附達到平衡。 在一定范圍內水熱炭的加入量與活性位點數成正比,活性位點數隨吸附劑量的增加而增加,因而吸附率迅速增加;當溶液中水熱炭的濃度較高時,水熱炭所提供的活性位點數大于 Cr(Ⅵ)離子的數量,吸附率不再隨水熱炭的增加而增加,吸附達到平衡。 隨水熱炭加入量的增加,吸附量由 2. 90 mg·g- 1迅速增加至 7. 61 mg·g- 1后又迅速下降至 2. 46 mg·g- 1,這是因為溶液中的濃度較高時,水熱炭之間的碰撞概率增加或者是活性位點間產生排斥,降低了活性位點數,從而導致吸附量增加到一定程度時出現下降的現象。 綜合考慮,后續實驗合理的水熱炭加入量為 0. 4 g,此時水熱炭對Cr(Ⅵ)的吸附率和吸附量分別為 99. 03%和 6. 19 mg·g- 1。


2. 4. 2 pH 值對吸附效果的影響
取 50 mL 初始 Cr(Ⅵ)濃度為 50 mg·L - 1的溶液,調節溶液 pH 值為 2 ~ 11,加入 0. 4 g 水熱炭,35 ℃ 振蕩吸附 90 min,結果如圖 5 所示。 當 pH < 7時,水熱炭的吸附率均大于 98% ,且當 pH = 6 時,吸附率可達 99. 03% ;當溶液的 pH 值由 7 增大到 11時,水熱炭對 Cr (Ⅵ) 的吸附率和吸附量分別由84. 70% 、 5. 29 mg· g- 1迅 速 下 降 至 2. 12% 、0. 13 mg·g- 1。 溶液的酸堿度的不同不僅會影響水熱炭表面化學官能團的活性還會影響溶液中 Cr(Ⅵ)離子的存在形態。 酸性條件下,Cr(Ⅵ)離子主要以 HCrO -4 、Cr2O2 -7 的形式存在,水熱炭表面的官能團被質子化,形成正電吸附中心,與 Cr (Ⅵ)離子相互吸引,Cr(Ⅵ)離子還原成 Cr(Ⅲ)離子,反應式如(1)和(2)所示。 隨溶液的堿性逐漸增強,OH -的含量上升,水熱炭表面開始呈現負電性,與 Cr(Ⅵ)離子產生靜電排斥作用,導致吸附效果減弱;另外,同HCrO -4 相比,堿碳條件下存在的 CrO2 -4 的吸附需要 2 個活性位點,因此吸附效果也會減弱。 由此可見,酸性條件下有利于水熱炭對 Cr(Ⅵ)離子的吸附,綜合考慮酸污染等情況,以下實驗溶液 pH 值選為 6。

式中 CxO 是被吸附的含氧官能團。
2. 4. 3 Cr(Ⅵ)濃度對吸附效果的影響
取 50 mL 初始 Cr(Ⅵ)質量濃度為10 ~ 90 mg·L - 1、pH = 6 的溶液,加入 0. 4 g 的水熱炭,35 ℃振蕩吸附 90 min,結果如圖 6 所示。 隨 Cr(Ⅵ)初始濃度由 10 mg·L - 1增大到 90 mg·L - 1時,水熱炭的單位吸附量由 1. 24 mg·g- 1增大到 11. 06 mg·g- 1;吸附率隨 Cr(Ⅵ)濃度增加由 98. 50%先增加至 99. 03%后減小至 98. 32% ,這是因為當 Cr(Ⅵ)初始濃度較低時,水熱炭提供的活性位點數大于 Cr(Ⅵ)的數量,吸附率不受 Cr(Ⅵ)濃度的影響;當 Cr(Ⅵ)濃度較高時,水熱炭提供的活性位點數小于 Cr(Ⅵ)的數量,出現競爭吸附,導致吸附率減小。


2. 4. 4 振蕩時間對吸附效果的影響
取 50 mL 初始 Cr(Ⅵ)濃度為 50 mg·L - 1、pH =6 的溶液,加入 0. 4 g 的水熱炭,35 ℃振蕩吸附一段時間,定期測定 Cr(Ⅵ)含量,結果如圖 7 所示。 當時間由 10 min 延長到 30 min,吸附率和吸附量分別由64. 82% 、 4. 05 mg · g- 1迅 速 增 加 至 85. 78% 、5. 36 mg·g- 1;當時間由 30 min 繼續延長至 90 min時,吸附率和吸附量增加比較緩慢 (由 85. 78% 、5. 36 mg·g- 1增加到 99. 03% 、6. 19 mg·g- 1) ,之后隨著時間的繼續延長,吸附達到平衡。 在吸附反應剛開始階段,溶液中 Cr(Ⅵ)離子濃度與水熱炭表面Cr(Ⅵ)離子的濃度差較大,且水熱炭孔徑分布較寬還是典型的介孔材料,為 Cr(Ⅵ)離子提供擴散通道,減小離子的擴散阻力,因此吸附速率較大,吸附率和吸附量迅速增加;隨著時間的延長,Cr(Ⅵ)離子與水熱炭表面的化學官能團以化學方式結合,水熱炭表面的活性位很快被占據,且 Cr(Ⅵ)離子不斷的在水熱炭表面和孔內部累積,濃度差逐漸減小,導致吸附速率降低,直至吸附達到平衡。
綜上所述,柚子皮水熱炭在 35 ℃時對六價鉻吸附的最佳條件為:水熱炭加入量 0. 4 g·(50 mL) - 1,pH = 6,Cr(Ⅵ)初始濃度 50 mg·L - 1,吸附時間 90 min,此時對 Cr(Ⅵ)的吸附量為 6. 19 mg·g- 1。 對比直接用柚子皮作吸附劑(在溫度 35 ℃,吸附劑用量 1. 0 g·(100 mL) - 1,pH = 1. 5,Cr(Ⅵ)初始濃度 15 mg·L - 1,吸附時間 420 min 時,對 Cr(Ⅵ)的吸附量為 1. 40 mg·g- 1) ,可大大縮短吸附達到平衡的時間。
2. 4. 5 吸附動力學
為了研究六價鉻離子在水熱炭表面的吸附過程,采用一級和二級動力學模型對實驗數據進行擬合,結果如圖 8 和表 2 所示。
一級吸附動力學模型:
二級吸附動力學模型:
式中:qe為吸附反應平衡時的吸附量,mg·g- 1;K為一級吸附速率常數,min - 1;t 為吸附時間,min;q 為時間 t 時的吸附量,mg·g- 1;K2 為二級吸附速率常數,g·(mg·min) - 1。


表 2 吸附動力學參數
由表 2 可知,一級動力學方程對實驗數據擬合效果相對較差,相關系數 R2為 0. 882 06;二級吸附動力學對實驗數據的擬合效果較好,相關系數 R2為 0. 989 82,線性相關性顯著,且擬合求得的值 qe與實驗值qe. exp相差較小,表明二級動力學方程更適合描述水熱炭對六價鉻的吸附過程。 二級吸附動力學模型假設吸附過程屬于化學吸附,進一步表明水熱炭對六價鉻離子的吸附主要以化學吸附為主,水熱炭與六價鉻離子通過交換或者共享電子發生了化學作用。
2. 4. 6 吸附等溫線
吸附等溫線反應吸附劑的吸附性能。 本實驗將0. 4 g 水熱炭加入到 50 mL 濃度 10 ~ 100 mg·L - 1的Cr(Ⅵ)模擬廢水中,考察不同吸附溫度( 35、45 和55 ℃)條件下對溶液 Cr(Ⅵ)的吸附行為。 用 Lang-muir 和 Freundlich 吸附等溫模型對吸附數據進行擬合,結果如圖 9 和表 3 所示。
式中:qmax為吸附劑的最大吸附量,mg·g- 1;KL、KF為吸附速率常數; Ce為吸附平衡時的吸附量, mg·g- 1。


表 3 吸附等溫線參數
由表 3 可知,Freundlich 模型比 Langmuir 模型更符合柚子皮基水熱炭在 35、45 和 55 ℃下吸附Cr(Ⅵ)行為,相關系數均大于 0. 97,線性相關性顯著。 Freundlich 模型是多分子層吸附,其基本假設是吸附劑表面不均勻,KF 值越大,表明吸附劑的吸附能力越強,可以看出:隨著溫度的升高,有利于增加柚子皮水熱炭對 Cr(Ⅵ)的吸附;n 值的大小代表柚子皮水熱炭吸附 Cr(Ⅵ)離子性能的強度,可以看出 n 值均大于 1,表明水熱炭對溶液中 Cr(Ⅵ)離子的吸附較好。具體參見污水寶商城資料或http://m.bnynw.com更多相關技術文檔。
3 結論
190 ℃水熱炭化柚子皮 12 h 制備了表面含有很多含氧官能團的介孔材料,且可以有效地去除溶液中Cr(Ⅵ)離子,其去除效果受吸附劑用量、pH 值、Cr(Ⅵ)初始質量濃度、吸附時間的影響;當吸附劑加入量0. 4 g,溫度 35 ℃,pH = 6,吸附時間 90 min,對 50 mL Cr(Ⅵ)濃度為 50 mg·L - 1的去除率達到 99. 03% 。吸附動力學實驗結果表明柚子皮水熱炭的吸附過程較符合準二級吸附動力學模型;等溫吸附實驗結果表明,柚子皮水熱炭對 Cr(Ⅵ)的吸附符合 Freundlich 模型。


