工業園區是一個承受高密度經濟活動和高強度資源消耗的特定區域,其污水排放對周邊水環境造成了嚴重污染[1].工業園區污水成分復雜、 難生物降解和毒性物質含量較多,利用傳統生物技術對其處理后通常難以滿足排放標準[2, 3],因此需對其進行深度處理.常用的深度處理技術包括Fenton[4]、 臭氧氧化[2]、 光催化氧化[5]及過硫酸鹽氧化[6]等.
過硫酸鈉(PS)易活化產生強氧化性的硫酸根自由基(SO4 ·-)[7].與其它氧化劑相比,PS常溫下呈固態,容易儲存和運輸,適用pH廣泛(約2.5~11),具有高穩定性、 高水溶性、 價格低廉等優點[8].許多研究者采用Fe(Ⅱ)活化PS去除水中難降解有機物,均取得了較好效果[6, 9, 10, 11, 12].
本研究采用Fe(Ⅱ)活化PS的高級氧化技術對太倉某工業園區污水處理廠出水進行深度處理,分析了PS投加量、 Fe(Ⅱ)/PS及pH對出水化學需氧量(COD)和總有機碳(TOC)去除效果的影響.利用響應面法(RSM)研究了各因素的交互作用,尋求最佳工藝條件,并利用指紋圖譜手段表征有機物特性,以期為污水處理廠出水高級氧化技術提高處理效率、 降低運行成本和明確反應機制提供理論依據.
1 材料與方法
1.1 樣品來源
水樣來自太倉某工業園區污水處理廠出水,該廠設計水量為20 000 m3 ·d-1,進水生活污水僅占30%,其余為醫藥、 石油、 化工、 印染等企業的工業廢水.本研究所用出水水質指標為:pH 7.80,COD 90.0 mg ·L-1,BOD5 5.2 mg ·L-1,TOC 42.2 mg ·L-1,氨氮 3.30 mg ·L-1,TN 29.28 mg ·L-1,TP 0.45 mg ·L-1.
1.2 實驗過程
單因素實驗:取100 mL水樣于250 mL錐形瓶中,置于空氣浴恒溫振蕩器(TS-200B,上海),依次迅速加入PS和七水硫酸亞鐵,在轉速為180 r ·min-1下振蕩2 h,用0.45 μm濾膜過濾后,測定濾液COD和TOC.
在Fe(Ⅱ)/PS=2.0,pH=7.80的條件下,改變PS/COD分別為0.5、 1.0、 2.0、 2.5、 3.0、 3.5、 4.0和5.0,分析PS投加量對COD和TOC去除的影響.在PS/COD=3.0 (PS濃度270 mg ·L-1),pH=7.80條件下,改變Fe(Ⅱ)/PS分別為1.0、 1.5、 2.0、 2.5、 3.0和4.0,研究Fe(Ⅱ)/PS對COD和TOC去除的影響.在PS=270 mg ·L-1,Fe(Ⅱ)=540 mg ·L-1的條件下,考察pH為5.0、 6.0、 6.5、 7.0、 7.5和8.5條件下的COD和TOC去除效果.
多因素復合實驗:根據單因素實驗結果,選擇COD和TOC去除率變化顯著的范圍,按照3因素3水平采用Box-Behnken模型設計實驗.3因素為PS/COD(A:0.5~4.0)、 Fe(Ⅱ)/PS(B:2~4)和pH(C:6.5~8.5),響應值為COD(Y1%)和TOC(Y2%)去除率.各因素設定3水平,-1和1對應因素范圍上下限,0則為中心點.試驗采用Design Expert 8.0軟件設計,優化實驗共需17組.
1.3 水質參數分析測定
pH值采用HQ30d pH計測定; COD采用重鉻酸鉀法測定; TOC采用Multi N/C 3100 測定; 分子量采用1260型凝膠色譜儀測定; UV-Vis光譜采用UV-2600分光光度計測定; 三維熒光光譜采用RF-5301型熒光光度計測定.
2 結果與討論
2.1 單因素實驗分析
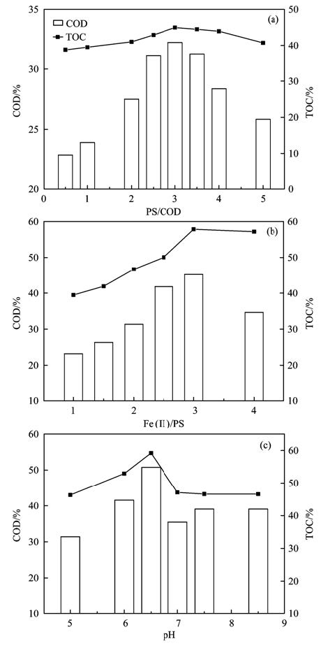
由圖 1(a)知,COD和TOC去除率隨PS/COD的增加呈先升后降的趨勢.在PS/COD為3.0時,COD和TOC去除率達最高值33.2%和45.0%. PS/COD大于3.0后去除率下降是因為PS濃度過高時,瞬間產生的SO4 ·-會彼此反應湮滅[式(1)][13],或與S2O82-反應消耗[式(2)][14].

圖 1 PS/COD、 Fe(Ⅱ)/PS和pH對COD和TOC去除效果的影響
催化劑是化學反應的重要控制因素[3].圖 1(b)考察了Fe(Ⅱ)/PS對COD和TOC去除率的影響. 從中可知,當Fe(Ⅱ)/PS由1.0增加到3.0時,COD和TOC去除率呈上升趨勢; Fe(Ⅱ)/PS繼續上升至4.0時,去除率反而有所下降.這是因為過量Fe(Ⅱ)會消耗SO4 ·-[式(3)],使其不能有效攻擊污染物[15].
由圖 1(c)可知,在pH為6.5時,COD和TOC去除率最高,分別為50.8%和59.2%.升高或降低pH均會降低去除率.這是由于酸性條件下H+催化PS[式(4)]增加了SO4 ·-產生量[16],提高了降解效果.而堿性條件下,OH-會捕捉SO4 ·-生成羥基自由基[式(5)],抑制有機物降解.此外,Fe(Ⅱ)在堿性條件下會轉化為不具有催化能力的Fe(OH)3沉淀,降低SO4 ·-產生量[15].
2.2 RSM優化Fe(Ⅱ)活化PS降解水中有機物
采用Box-Behnken模型對實驗結果進行二次多項式擬合,可得Y1%和Y2%的方程[式(6)、 (7)].模型方差分析如表 1所示.
擬合方程(6)、 (7)回歸系數R2分別為0.963 9和0.936 1,表明預測值與實測值相關性較好; 修正后R2分別為0.971 4和0.854 0,表明響應面的97.14%和85.40%是由于所選變量引起,可以利用該回歸方程確定最佳工藝.
由表 1知,本實驗所選模型不同處理間差異極顯著(P<0.01),說明該實驗方法是可靠的.式(6)中Y1模型AC交互作用項系數為負數,說明PS/COD和pH間為拮抗作用; 各因素均方值大小可判斷3因素對Y1的影響順序為PS/COD>Fe(Ⅱ)/PS>pH,對Y2為pH>Fe(Ⅱ)/PS>PS/COD.
由表 1中回歸系數的顯著性檢驗知,A、 B對Y1的線性效應極顯著; B、 C對Y2的線性效應極顯著,A對Y2的線性效應顯著.AC和BC交互作用對Y1線性效應顯著.A2、 B2對Y1曲面效應極顯著; A2、 C2對Y2曲面效應顯著.
表 1 回歸方程方差分析及其系數的顯著性檢驗
由圖 2知,Y1隨PS/COD的增加先升后降,與單因素結果相吻合; Y1變化速率顯示PS/COD比主效應大于Fe(Ⅱ)/PS和pH,與統計結果相符; Y1隨Fe(Ⅱ)/PS的增加先升后降,且Fe(Ⅱ)/P比主效應大于pH.PS/COD 2.3~3.4、 Fe(Ⅱ)/PS 2.8~3.6和pH 6.5~7.5時,PS對COD去除率較高.

圖 2 COD和TOC去除率模型方程等高線
由圖 2知,Y2隨PS/COD的增加先降后升; 低PS/COD和高Fe(Ⅱ)/PS亦可提升Y2,這是因為Fe(Ⅱ)/PS和pH主效應大于PS/COD,與統計結果相符; 當pH小于7.0時,Y2較高,且隨Fe(Ⅱ)/PS增加緩慢增加; 當pH大于7.0時,Y2隨Fe(Ⅱ)/PS增加上升速度較快.當PS/COD 2.25,高Fe(Ⅱ)/PS條件下,Y2隨pH增加先降后升,這可能是由于一部分Fe(Ⅱ)消耗OH-使溶液pH下降,降低了pH和Fe(Ⅱ)/PS,導致Y2有所提高.
2.3 Fe(Ⅱ)活化PS優化模型及驗證
根據“優先/聯合”優化模式[17, 18],結合Box-Behnken模型分析結果,優化的操作參數為PS/COD 3.47、 Fe(Ⅱ)/PS 3.32、 pH 6.5,該條件下Y1和Y2 分別為50.7%和60.6%,出水COD和TOC降至41.5 mg ·L-1和17.5 mg ·L-1. 表 2實驗與預測結果間誤差較小(<5%),說明模型可信度較高.比較工況1和3知,減小PS/COD Y1和Y2均下降,且其對Y1的影響大于Y2; 而對比工況2和3知,pH對Y2的影響大于Y1,與統計結果相符.
表 2 “優先/聯合”優化模式的驗證結果
2.4 Fe(Ⅱ)-PS降解產物的光譜學分析
2.4.1 紫外-可見及分子量分布的分析
UV-Vis光譜能夠反映分子結構中發色團和助色團的特征,也能表征物質的芳香性等特性[19].由圖 3(a)可知,不同工況的水樣呈相似波形,λ>450 nm時,吸光度趨近于零; 在210 nm附近有明顯的吸收峰,表明組分中含有單環芳香族或共軛雙鍵類化合物. E254/E365能夠反映溶解性有機物(DOM)分子大小的比例,比值越大,水樣中小分子比例越高[20]. E300/E400的比值越大,腐殖質的腐殖化程度越低[21]. 275~295 nm與350~400 nm波段斜率之比(SR)可用于表征DOM的結構變化,SR值越高,DOM分子量越低,表明DOM被微生物降解的反應活性降低[22].由表 3可知,PS處理后出水E254/E365和E300/E400比原水大得多,說明PS產生的SO4 ·-能夠攻擊芳環或雙鍵,通過開環或斷鍵等將大分子有機物打碎成小分子[2].且最優工況3腐殖化程度最低.RSM優化后的SR值明顯高于原水,說明優化后大分子含量降低,小分子物質所占比例明顯升高,與E254/E365結果相一致.

圖 3 Fe(Ⅱ)-PS氧化前后的UV-Vis光譜與分子量分布
從圖 3(b)可知,PS氧化后DOM相對分子質量有減小的趨勢.最優工況3中高于1.0×108的物質所占比例由44.2%降至3.0%,2.5×107~1.0×108所占比例由19.0%降至1.7%.低于3.0×106的小分子所占比例排序為工況3>2>1,與E254/E365及SR的結果相符. 這說明減少PS投加量和改變pH均會惡化降解效果,也說明PS對Y1的影響大于pH.
表 3 Fe(Ⅱ)-PS處理前后出水的UV-Vis吸收值
2.4.2 三維熒光分析
Fe(Ⅱ)-PS處理前后出水的三維熒光光譜和熒光強度(FI)削減率如圖 4和表 4所示.各水樣均有A、 B、 C、 D共4個峰,位置分別為280/(310~320)、 (235~240)/(335~340)、 (245~250)/(405~425)和(250~255)/(445~455)nm,代表色氨酸類蛋白質、 芳香族類蛋白質、 類腐殖酸及類富里酸類物質[23]. 從熒光峰位置看,PS氧化后B峰藍移5~15 nm,這是因為PS氧化使稠環芳烴分解為小分子,芳香環和共軛基團數量減少,羰基、 羥基和胺基等官能團消失[24]. 由表 4可知,經PS氧化后各峰FI均有所削減.與污水中易生物降解組分密切相關的A峰[24]FI削減率較低.改變PS對熒光峰B、 C和D的削減率影響大于pH.優化工況3各峰FI的削減率最高,這與COD和TOC去除效果一致.Lee等[25]研究也發現廢水COD、 TOC與FI具有良好的線性關系.PS氧化后A/B升高,意味著出水中易降解組分增加,小分子物質所占比例提高,與UV-Vis光譜和分子量分布結果相吻合.具體參見污水寶商城資料或http://m.bnynw.com更多相關技術文檔。

圖 4 Fe(Ⅱ)-PS深度處理前后出水的三維熒光光譜
表 4 Fe(Ⅱ)-PS處理前后的FI削減率
3 結論
(1) 采用RSM模型優化Fe(Ⅱ)-PS體系,確定各操作條件對COD和TOC去除率影響的貢獻大小為PS/COD>Fe(Ⅱ)/PS>pH和pH>Fe(Ⅱ)/PS>PS/COD.
(2) RSM優化后的最佳工藝條件為PS/COD為3.47、 Fe2+/PS為3.32、 pH 6.5,COD和TOC分別降至41.5 mg ·L-1和17.5mg ·L-1.
(3) PS氧化能將大分子有機物轉化為小分子,削減類蛋白質、 類富里酸和類腐殖酸等熒光類物質的含量,并改變其分子結構.(來源及作者:上海電力學院環境與化學工程學院 朱松梅 周振 顧凌云 長江流域水資源保護局上海局 蔣海濤 任佳慜)


