解決水資源短缺是當下及未來人類面臨的最嚴重挑戰之一,許多國家和地區開始探尋更有效的水資源利用方法,包括更廣泛的接受使用非常規水源,如海水淡化和遠距離引水,污水再生利用,雨水收集回用等. 相比之下, 污水回收再利用以其投資少、 建設時間短、 水源可靠和效果容易迅速實現的特點[1]而具有重要意義. 城鎮污水再生利用可充分利用城鎮污水資源,提升我國城鎮水資源綜合利用效率和水平,推動資源節約型和環境友好型社會的建設,是一種環境友好技術[2],符合可持續發展的理念. Bixio等[3]提出再生水利用必須符合環境,社會文化和經濟發展的需要. 北京作為我國的首都和全國政治、 文化中心,特殊的戰略地位以及建設現代化國際大都市的目標對北京水資源保障提出了更高要求. 而水資源的嚴峻形勢也迫使北京市政府作出戰略應對,再生水利用日益變得重要,2010年北京市再生水利用達6.8億m3,占城市水資源供應的20%[4].
再生水利用工程具有較強的外部經濟性. 然而大多數情況,由此產生的環境效益因其不具有市場價值而難以量化. 盡管如此要論證再生水工程的經濟可行性,評價這些環境效益的貨幣價值是必需的. 根據經濟理論采用基于市場關聯假設的經濟評估法,把非市場效益和市場效益組合起來考慮,才可以對水資源管理進行平衡的評估,進而形成高效和可持續的水資源管理. 傅遐齡[5]結合一個南方車輛段的實例,認為應從多方面入手,系統、 全面地評估再生水回用的效益; 呂立宏[6]對再生水利用工程規劃的實施建設所帶來的經濟效益、 社會效益做了簡單的定性分析; 李健[7]結合海河流域再生水的利用現狀,分析了再生水利用的經濟效益; 王國友等[8]結合重慶市的實際情況分析了該市再生水回用的環境經濟效益,在假設的基礎上對再生水回用改變水循環的環境經濟效益進行了較為全面的分析. 多數估值研究目的是為政策決策者提供支持,但很少把生態環境價值考慮進評估體系. 針對再生水利用帶來的無形的巨大生態環境效益常被忽略這種情況[9],本研究借助機會成本法分析了再生水利用產生的非市場、 非貨幣形式的生態環境效益,通過計算再生水回用工程中輸出的隱蔽價值來對生態環境效益量化評價[10],以期為推動再生水利用提供理論依據. 1 研究方法
再生水利用會產生一系列經濟,社會和生態環境效益,本研究主要考慮再生水利用帶來的生態環境收益,包括為生態系統提供資源的效益、 避免環境損失的收益(減少污水排放)、 環境質量提高的效益、 人體健康損失、 地下水補給與污染效益和土壤效益等. 依據以上信息,本研究構建了再生水利用效益分析理論框架與方法,并以北京市為例估算了再生水利用工程產生的生態環境效益.
1.1 再生水利用生態環境效益分析
再生水利用產生的資源效益可使用再生水替代新鮮水和節省肥料產生的市場價值直接評價; 再生水利用產生的環境效益、 人體健康效益、 地下水的效益,采用機會成本法分析; 研究表明再生水灌溉對土壤產生的效益受氣候、 土壤、 植被等多種因素影響,具有很大的不確定性,一方面再生水中的營養物質可在一定程度上改善土壤健康狀況,另一方其有害物質如鹽、 重金屬等在土壤中累積,其正負效益大致相當[11,12],本研究不做分析.
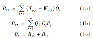
(1)再生水的資源效益 由于再生水回用于沖廁,綠化等用途,節省了相當量的自來水; 用于農業灌溉,則提供了肥料. 這部分效益可用式(1)計算:

式中,B11為節省自來水的價值; Tp,i為i種用途自來水的價格; Wp,i為相應的再生水價格; Qi為再生水第i種用途的用量; B12為提供肥料的價值; Qirr為再生水灌溉量; Cf為再生水中肥料f的含量; Pf為肥料f的價格.
(2)再生水利用的環境效益 主要包括減少污水排放的效益,當地環境改善的效益.
①污水減排效益. 污水排放會帶來環境負外部性,實施再生水利用工程阻止污水排入城市水體可避免這一負外部性而產生效益. 為了定量評價減少污水排放的效益,可以用節省的排污費替代這部分效益,國家環保部規定了排污費征收標準及計算方法[13]:
式中,φi為單位污染當量的排污費; ρi為污染物i的濃度; Q為再生水總量; ni為污染物i的污染當量值; x為污染物的種類數.
②環境改善效益. 當地環境改善的收益從兩方面獲得,一方面阻止了污水排放造成的環境污染,另一方面由于使用再生水增加了綠化覆蓋面,補給了人工池塘、 湖泊,改善了當地居民生存環境. 分別計算這兩方面收益非常困難,可以作為一個整體收益考慮,等價于再生水中污染物沒有進入收集處理系統,直接排放造成環境污染,要去除這些污染物的花費[14]. 通過機會成本法[15],這部分收益可用式(3)表示:
式中,hi為去除單位質量污染物i的花費.
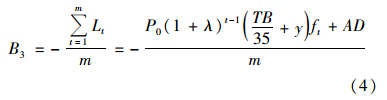
(3)人體健康效益 再生水利用于市政、 綠化、 園林補給,攜帶的病原微生物會以氣溶膠形式傳播,或直接接觸人體,增加了人體接觸病原的幾率,增加致病幾率. 因而這部分收益是負的,根據胡大鏘[16]的研究,健康損失用式(4)計算:

式中,Lt為某種疾病第t年水污染健康損失; P0為計算基年的人口數,這里按一年間北京市暴露于公園等景觀水體的人數計算; m為計算期; λ為當地人口的自然增長率; T為因水污染造成的發病天數占年工作天數的比例; D為當地一個人的生命價值,可采用人的工作年齡范圍內的當地人均國內生產總值之和代替; y為患者的年治療費用; ft為因水污染造成的第t年的發病率; A為因水污染造成的死亡人數.
(4)再生水對地下水的效益 這部分效益分為兩個方面——污染地下水和補給地下水,再生水長期灌溉,下滲污染地下水,造成負面效益,可用治理污染費用替代計算. 再生水補給地下水的效益可用地下水含水層產水量的價值計算. 再生水對地下水影響的效益可用下式計算:

式中,Qd是下滲進入地下水的再生水量; C是再生水中N的含量; k是再生水中N淋溶到地下水的比例; l是地下水開采的比重; r是地下水中氨氮的去除率; P是氨氮的單位去除成本; Qr是用于補給地下水的再生水量; V是地下水資源費.
再生水利用的總效益為:
1.2 案例分析 本研究選取了北京市2010年再生水回用工程,開展其再生水利用生態環境效益的評估. 北京市2010年再生水年利用量達6.8億m3,置換了大量清潔水源. 其中工業領域利用再生水1.4億m3,農業領域利用再生水3億m3,城市市政雜用方面利用再生水0.3億m3,河湖水系等環境用水方面用水2.1億m3[17]. 通過文獻資料收集相關數據,對本研究中定義的再生水效益進行逐項評估. 2 結果與討論
2.1 資源效益
不同再生水用途其水肥資源收益不同. 表 1總結了北京市2010年再生水各種用途提供資源的收益. 基于水價差和再生水利用量,從工業,市政雜用和環境方面節省自來水的收益分別為7.29、 1.44和0.672億元人民幣(表 1). 鑒于農業灌溉的實際情況,在再生水用于農業灌溉節省的效益中本研究只考慮節省的提水費. 在北京大約有36 700 hm2再生水灌溉區域,根據實地調查,每年抽取地下水用作農業灌溉的動力成本大約是600元 ·hm-2,農業用再生水的起升高度為2~3 m,平均2.5 m,而平均地下水位深度是22.9 m[4],再生水替代地下水使用于農業可減少89%的動力消耗,這部分收益為0.195 8億元. 根據式(1)把4種類型的再生水節水收益(農業利用為節省動力)綜合起來,總效益B11為9.601 8億元.

表 1 2010年再生水各種用途的提供水資源收益
再生水中含有N、 P等營養元素,用于農業灌溉可減少作物對肥料的需求. 依據北京市水源六廠的三級處理出水水質,N、 P的平均濃度是14.71 mg ·L-1和1.53 mg ·L-1[18]. 因此,2010年北京市再生水灌溉可提供約4 413 t氮和459 t磷,相當于9 593 t尿素和7 009 t過磷酸鈣. 每噸尿素和過磷酸鈣市場價格是2 300元和478元,因而,再生水節省肥料的收益B12是0.254 1億元人民幣.
2.2 環境效益 2.2.1 污水減排的效益
污水排放減少導致的收益可以通過計算相應減少的排污費來代替. 按照我國實行的排污費征收辦法[13],對向水體排放污染物的,按照排放污染物的種類、 數量以污染當量計征污水排污費,每一污染當量征收標準[式(2)中的φi]為0.7元. 排放污染物的污染當量值參照環保部規定(表 2),馮運玲等[19]對北京的再生水廠進行了調查,確定了出水中污染物的濃度[式(2)中的ρi,見表 3],于是再生水中各種污染物的污染當量[式(2)中的ni]就可以相應地獲得. 在征收污水排污費時按污染當量數從多到少的順序取其前3項,故對本研究來說,只考慮SS、 COD和NH+4-N. 根據式(3)得出減少污水排放的收益是0.339億元.

表 2 2010年北京再生水的污染當量

表 3 污染物去除成本參數
2.2.2 環境質量改善的效益
環境質量改善的收益可通過機會成本法獲取[式(3)],即環境質量提高的總收益B22等同于污染控制和環境修復的花費,計算參數見表 3,其中計算單位質量污染物的去除成本hi取自李俊奇等[20]的研究,污染物i的濃度ρi取自馮運玲等[19]的研究. 據以上相關信息,環境質量改善的收益估算為3.52億人民幣.
2.3 人體健康效益
人體健康效益表現為再生水中致病物質通過直接或間接途徑引起人體急慢性疾病,人患病后治療和休養所需的治療費、 工時損失費和死亡的經濟損失,其效益可通過式(4)進行估算. 北京市一年暴露于公園湖泊等景觀水體的人數為200萬人次[21]. 2010年全市醫療機構平均住院日為13.7 d,加上門診天數和休養時間,發病天數取15 d. 工作天數取250 d,則因水污染造成的發病天數占年工作天數的比例[式(4)中的T]為0.06,計算期是1 a,人口的增長則不用考慮了. 北京市一個人的生命價值[式(4)中的D]可采用人的工作年齡范圍內的人均國內生產總值之和代替,2010年北京人均GDP為80 000元,工作年限是35 a,則D值為280萬元. 根據統計信息[22,23],患者的年治療費用y約為1.21萬元,因水污染造成的第t年的發病率ft取1%,因水污染造成的死亡人數A取10(表 4). 根據以上相關信息,再生水利用產生的負面人體健康效益約是-3.66億元.

表 4 評價2010年北京再生水利用對健康影響的參數
2.4 地下水影響的效益
2.4.1 地下水污染的效益
只有農業灌溉、 園林綠化和補給河湖的再生水才向地下下滲,故再生水利用對地下水的影響只考慮這些方面. 再生水中的N進入地下水造成水質下降的損失等價于恢復水質的成本,可通過式(5)進行計算. 2010年北京市農業灌溉、 園林綠化和補給河湖的再生水量Qd為5.1億m3,平均N濃度為14.71 mg ·L-1[18],再生水中共有7 502 t的N. 根據文獻[24],大約1%的N(75.02 t)會下滲入地下水中. 如果每年地下水產量l的55%被提取為市民供水[25],含水層中41.26 t的N將被去除. 李燁等[26]發現北京的地下水總氮中氨氮超標率為24.1%~62.0%,那么平均43%抽出地下水中的N即17.74 t需要被除去以達到飲用水質量標準,17.74 t的N等價于22.81 t NH+4-N,NH+4-N的去除成本P是23.82元 ·kg-1. 由式(5)得出地下水污染的效益為-54.3萬元.
2.4.2 地下水補給的效益
北京地區大部分是不透水層,補給條件不太理想,水下移很少見. 北京供水重要來源的永定河沿西北地質斷層線流動,是北京盆地地下水主要的補給區. 據統計資料每年有1.2億m3的再生水供給永定河[27],其中地下水補給量大約為1.0億m3[28],則每年向地下補給水量為1億m3,地下水使用的平均收費為2元 ·m-3,故地下水補給的效益為2億元.
2.5 生態環境總效益
綜上計算得出2010年北京再生水利用帶來的生態環境效益為12.0億元,其中再生水替代新鮮水的資源效益占比最大,環境改善效益和地下水補給收益也較大,其余效益較小或為負(見表 5). 再生水利用的生態環境效益是1.76元 ·m-3,大約為售水收入的1.8倍(北京市再生水價格為1元 ·m-3). 生態環境效益對推動再生水利用提供了額外的刺激. 在另一方面,再生水利用造成對公眾健康的負效益(健康損失為3.66億元)不容忽視,它往往成為阻礙再生水利用工程實施的最大障礙.具體參見污水寶商城資料或http://m.bnynw.com更多相關技術文檔。

表 5 再生水效益 1)
3 結論
(1)北京市2010年再生水利用量達6.8億m3,用于農業、 工業,生態景觀,市政雜用等各個行業或部門,減少了對常規水資源供給的負荷,減少了環境污染負荷,產生了資源效益以及其它生態環境效益. 本研究以北京市為例對再生水利用的生態環境效益進行了系統分析,包括提供資源效益、 環境改善效益、 再生水對公眾健康的效益及地下水的效益. 結果表明,再生水利用帶來的巨大生態環境效益達12.0億元,為其直接售水經濟收益的1.8倍,其中資源效益占據最大比重,說明再生水的首當屬性是資源屬性; 環境效益也非常明顯,說明再生水是環境友好型技術; 地下水的效益也相當可觀,說明再生水可作為地下水的穩定補給源; 對人體的效益為負說明需提高再生水的暴露風險管理水平.
(2)本研究探索構建了再生水利用生態環境效益的評價體系. 再生水利用對生態環境產生一系列的正面或負面的影響,需引入機會成本法才可量化評價這些非市場的效益,并對生態環境效益的計算考慮到了資源稀缺和環境污染這些重大典型的外部性問題. 研究發現再生水利用是一項符合可持續發展的重大舉措. 再生水工程的實施必須要考慮到再生水利用所帶來的外部性即生態環境效益,北京市的再生水利用可以為其他城市再生水利用事業發展提供參考.(來源及作者:中國科學院生態環境研究中心城市與區域生態國家重點實驗室 范育鵬、陳衛平)


