1 引言
水質評價是通過對水體的一些物理、化學、生物指標的監測和調查,根據不同的目的和要求,使用一定的方法對水體質量優劣程度做出的定量描述.評價的目標是獲取水體的污染程度,劃分其污染等級,為水體的科學管理和污染防治提供依據,這也是水資源合理開發、充分利用及水環境管理中不可缺少的重要內容.
基于環境系統的復雜性,目前應用較多的水質綜合評價方法主要有指數評價法(陳潤羊等,2008)、模糊綜合評價法(潘峰等,2002)、灰色評價法(賴坤榮等,2010)、人工神經網絡評價法(鄒志紅等,2007)等.水質評價方法的普遍思路是把各時期、各斷面獨立開來依次評價,較少考慮水體污染物在時間、空間上的差異性與相似性,尤其是用于大尺度、多斷面、長時間的大量樣本評價時,可能會導致不必要的重復計算且過程繁雜.為了解決這一問題,因子分析、方差分析、聚類分析等多元統計分析方法開始應用于這一領域(王曉鵬等,2010).因此,本文以太子河遼陽段為例,在采用因子分析篩選出水質評價重要指標的基礎上,利用方差分析(ANOVA)對各監測斷面多年水質指標數據進行時間與空間尺度上的顯著差異性檢驗,通過層次聚類按樣本點之間的相似程度進行聚類分組.同時,以各組的樣本均值為基礎,采用水質標識指數方法得到各組的水質評價結果,并將其分解到各組對應的水質樣本點,以實現對多斷面、長時間大量樣本的水質評價.
2 原理及方法
2.1 基于因子分析的評價指標的篩選
評價指標的篩選是水質評價工作中非常重要的一部分,如果評價指標過多,且彼此之間存在較大的相關性,用這些指標進行水質評價時,由于各個指標反映的信息有一定程度的重疊,這不僅會增加評價的工作量,還會掩蓋水體的一些重要特征.而因子分析能較好地解決這一問題,因子分析是一種用于提取多個變量潛在公共因子的統計方法,它是從眾多可觀測的變量中綜合和抽取少數潛在的公共因子,并使這些因子能夠最大程度地概括和解釋原有觀測變量的信息,從而解釋事物的本質.因子分析的基本思想就是通過觀測變量之間相關性的大小對其分組,使得各組內觀測變量之間的相關性較高,不同組之間觀測變量的相關性較低,每組觀測變量代表一種基本結構,并可以用這些變量的潛在公共因子來表示.
因子分析適用于相關性較強的多個指標的簡化,而對于相互間獨立性較強的指標則無需進行簡化,因此,需要對數據進行KMO檢驗,以判別其是否適合進行因子分析.利用因子分析篩選評價指標的原則是在按一定標準(特征值大于1)確定好公因子個數的基礎上,選取旋轉成分矩陣表中每個公因子對應的有最高因子載荷的兩個指標變量.這樣選取變量的原因在于各公因子對應的有最高因子載荷的變量對其有最強的解釋能力.
2.2 基于方差分析的指標數據時空尺度差異性檢驗
在水質評價過程中,考慮到水體污染物在時間、空間上的差異性與相似性,采用方差分析的方法對各評價指標分別進行年際間和空間上的顯著差異性檢驗,以判斷各水質評價指標在同一監測斷面不同年度間以及同一年度不同監測斷面間是否存在顯著性差異.
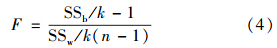
方差分析用于對兩個或兩個以上的數據樣本進行差異性檢驗,其基本思想是將數據的變異量分解為由控制變量引起的變異和由誤差因素引起的變異.如果由控制變量產生的變異顯著多于誤差造成的變異,就能夠判斷控制變量確實對因變量產生了影響.公式表示為:SSt=SSw+SSb,其中,SSt表示總變異,SSb表示組間變異即控制變量引起的變異,SSw表示組內變異即誤差造成的變異.根據控制變量的個數,方差分析分為單因素方差分析和多因素方差分析兩種.本研究中的控制因素主要為時間或空間,屬于單因素方差分析.

式中,k代表數據組的個數,n代表第j個組內數據的個數,![]()
x2ij代表全體數據的平方之和,(![]()
xij)2代表全體數據之和的平方,(
=1 xij)2代表第j個組內數據之和的平方,
(
=1 xij)2代表將j個組所求得的(
=1 xij)2相加.組間變異與組內變異分別除以各自的自由度,得到組間方差與組內方差.方差分析的關鍵步奏是對組間方差與組內方差的比值進行F檢驗.顯著性檢驗公式如下:
2.3 基于層次聚類分析的樣本點分組
聚類分析是根據事物本身的特征,通過統計方法對事物進行分類的多元統計方法,其中,層次聚類分析應用的最為廣泛,其實質在于通過研究對象之間的親疏關系將相似的對象劃分為一類,不相似的對象劃分到不同的類別.考慮到水質樣本點之間的差異性與相似性,本文采用層次聚類的方法對樣本點進行分組.親疏程度的計算包括樣本間距離和組間距離兩類,前者的測量方法有歐氏距離平方、切比雪夫距離、絕對距離等,后者的測量方法有最鄰近法、最遠距離法、重心法、離差平方和法(Ward法)等.本研究中采用的是離差平方和法.
離差平方和法(Ward法)以差異度作為衡量標準來進行對象(組)之間的合并,在聚類過程中將與上一合并階段的差異度相比變化最小的對象(組)合并起來,形成新的組.Ward法的目的在于使合并后同一類內各樣本間的差異度最小,不同類之間樣本的差異度較大.其中,差異度是用組內樣本間的離差平方和來表示的,對于組g樣本間離差平方和Vg的算法如下:
式中,xijg是組g中對象i中變量j的觀察值,
jg為組g中變量j的觀察值的平均值.
2.4 水質標識指數評價法 2.4.1 單項指標水質標識指數的確定
單項指標水質標識指數Pi由一位整數和小數點后兩位有效數字組成,其中,整數部分代表水質指標的水質類別,小數部分代表監測數據在此類水質變化區間中所處的位置(徐祖信,2005).單項指標水質標識指數公式表示如下:

式中,Ki表示第i項水質指標所處的水質類別,可以通過與《地表水環境質量標準》(GB3838—2002)的比較來確定,取值為1,2,…,6;ρi為第i項指標的實測質量濃度,ρik下≤ρi≤ρik上,ρik下為第i項水質指標第Ki類水區間質量濃度的下限值,ρik上為第i項水質指標第Ki類水區間質量濃度的上限值.在《地表水環境質量標準》(GB3838—2002)中列示的水質指標中,只有溶解氧為遞減性指標,其水質標識指數用公式(7)來計算;其余的遞增性水質指標用公式(6)來計算.
當水體質量劣于Ⅴ類水時,遞增性水質指標和溶解氧指標的水質標識指數分別用公式(8)和公式(9)來計算.

2.4.2 綜合水質標識指數的確定
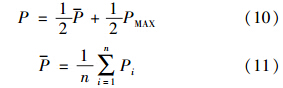
由于受到自然因素和人文因素的雙重影響,部分水體存在如下情況:某一項或兩項水質指標相對于水環境功能區設定的類別標準嚴重超標,其余指標相對正常.《地表水環境質量標準》(GB3838—2002)中采用的單因子評價法忽略了其他指標對水質的影響,難以全面反映水體的綜合狀況,可能會造成水體水質評價等級偏低.為了克服單因子評價法以偏概全的缺點,綜合水質標識指數既考慮了污染最嚴重的指標,又綜合考慮了所有單項指標以全面反映水體的水質狀況.綜合水質標識指數P由單項指標水質標識指數的平均值和最大值兩部分構成,用公式表示如下:

式中,PMAX是n項單項指標水質標識指數中的最大值.
通過綜合水質標識指數P可以判斷水體的水質級別和污染程度:當1.0≤P≤2.0時,水質狀況為Ⅰ級;當2.06.0時,水質狀況為劣Ⅴ級.
3 應用與討論
3.1 研究區域及數據
太子河發源于撫順,全長約413 km,流域面積約13883 km2.太子河遼陽段位于太子河中游,經本溪市進入遼陽市境內,入口與參窩水庫相接,出口進入鞍山境內,境內流程142.8 km,流域面積約4000 km2,約占全市總面積的85%.太子河遼陽段及其支流湯河、北沙河和柳壕河與參窩水庫和湯河水庫構成了遼陽地表水監測體系.太子河是遼陽市人民的母親河,其水質狀況深受各級政府和人民的關注.因此,正確評價太子河的水質情況,對遼陽市社會、經濟的可持續發展、生態環境的良性循環都具有重要意義.太子河遼陽段干流上共設有3個監測斷面,分別為入市斷面參窩壩下斷面、國控斷面下王家橋斷面和出市斷面下口子斷面.圖 1顯示了太子河流經的區域及各監測斷面的地理位置.

圖 1 研究區域及采樣點(1.參窩壩下,2.下王家橋,3.下口子)
針對太子河遼陽段的具體情況,在綜合考慮了影響太子河水質的各種自然及人文因素的基礎上,結合重要性原則本文選取了包括溶解氧、高錳酸鉀指數、氨氮在內的16個水質監測指標作為太子河水質評價的基礎指標.研究中采用的水質數據為2009—2012年參窩壩下、下王家橋、下口子3個斷面16個水質指標的月度監測值,水質樣本共144個(數據來源于遼陽市環保局).數據分析采用的軟件為SPSS18.0.表 1顯示了2009—2012年太子河遼陽段干流各斷面16個水質指標的年度平均值(12個月度監測值平均值).
表 1 2009—2012年太子河遼陽段干流各斷面各水質指標年平均值
3.2 水質評價指標的篩選
為了篩選出用于綜合評價水質級別的重要指標,對現有的16個水質基礎指標(除流量和pH兩個指標,即14個變量)在2009—2012年每個月3個斷面的共144個監測樣本進行因子分析.因子分析結果顯示:KMO檢驗值為0.773,表明原始數據適用于因子 分析進行簡化;前4個公因子的特征值大于1,這4個公因子在旋轉成分矩陣表中對應的有最高因子載荷的兩個變量分別為化學需氧量和高錳酸鉀指數、氨氮和銅、溶解氧和糞大腸菌群、揮發酚和六價鉻,即選取這8個變量作為水質評價的重要指標.
3.3 指標數據時空尺度差異性檢驗
表 2和表 3分別顯示了對各個水質評價重要指標進行同一斷面不同年度間月度監測值和同一年度不同斷面間月度監測值單因素方差分析的結果.由表可見:化學需氧量、氨氮、六價鉻及糞大腸菌群4個水質評價指標在同一斷面不同年度間均不存在顯著性差異,揮發酚和銅兩個指標對于3個斷面在不同年度間均存在顯著性差異,CODMn和溶解氧兩個指標對于部分斷面在不同年度間存在顯著性差異;氨氮、銅、溶解氧、揮發酚和六價鉻5個水質評價指標在同一年度不同斷面間均不存在顯著性差異,化學需氧量和高錳酸鉀指數兩個指標對于4個年度在不同斷面間均存在顯著性差異,糞大腸菌群指標對于部分年度在不同斷面間存在顯著性差異.
表 2 同一斷面年際間方差分析Sig值
表 3 同一年度斷面間方差分析Sig值
從方差分析結果可以看出,在8個水質評價指標中,有4個指標在同一斷面不同年度間不存在顯著性差異,其余4個指標對于全部或部分監測斷面在不同年度間存在顯著性差異;有5個指標在同一年度不同斷面間不存在顯著性差異,其余3個指標對于全部或部分年度在不同斷面間存在顯著性差異.這說明水體中的污染物濃度在空間和時間尺度上不僅存在著差異性,更存在著相似性.在這種情況下,把各時期、各斷面獨立開來依次評價可能會導致不必要的重復計算且過程繁雜,可以根據樣本點之間的相似性對樣本進行分組,對每一組進行評價,再把每一組的評價結果分配給各自對應的樣本點.
3.4 樣本點分組
采用Ward法對144個樣本進行層次聚類分析.在Ward法中,離差平方和是決定聚類過程的重要指標.通過觀察SPSS18.0生成的聚類表可以看出,離差平方和系數從11類變化到10類時出現了一個大幅度的增加(從296.1增加到320.9);若在坐標系統(類數為橫軸,離差平方和系數為縱軸)中形成曲線可以看出,從11類變化到10類時曲線的斜率出現了一個明顯的增加,在這種情況下應該把144個樣本聚成11組(分別編號G1~G11).表 4顯示了通過層次聚類得到的11個組各自對應的水質樣本點.
表 4 11組樣本各對應的水質樣本點
聚類分析的過程實質上就是在計算各樣本點各水質指標之間的距離,把距離較近的樣本點分為一組,距離較遠的樣本點分到不同的組;而距離越近,兩個樣本點水質指標濃度之間的差距就越小,水質狀況就越相似,屬于同一水質級別的可能性也就越大.因此,通過聚類得到的在同一組中的樣本的水質狀況是相似的,從某種程度上說它們處于同一水質級別,可以作為整體統一進行評價.各組樣本的數據特征用組內樣本的均值來表示(表 5),并以此進行各組的水質評價,再把每一組的評價結果根據表 4分配給各自對應的樣本點.
表 5 11組樣本各項水質指標均值
由表 5可見,11個組中,G1聚集了有較低溶解氧和較高糞大腸菌群濃度的水質樣本點,G2聚集了有較高高錳酸鉀指數和化學需氧量的樣本點,G3聚集了有較高氨氮和銅濃度的樣本點,G4聚集了有較高氨氮濃度的樣本點,G5聚集了有較高氨氮、揮發酚、銅和糞大腸菌群濃度的樣本點,G6聚集了有較高六價鉻濃度的樣本點,G10聚集了有較高揮發酚和糞大腸菌群濃度的樣本點,G7、G8、G9、G11中沒有明顯濃度較高或較低的水質評價指標.
3.5 水質標識指數評價結果
3.5.1 各組樣本的水質標識指數評價結果
把通過層次聚類得到的各組水質樣本各項指標的均值帶入水質標識指數計算公式(6)~(11)中,得到各組水質樣本的單項指標水質標識指數及綜合水質標識指數(表 6).
表 6 11組樣本單項指標和綜合水質標識指數評價結果
從表 6可以看出,11組樣本的水質狀況主要分布在Ⅱ級到Ⅴ級之間,其中有3組屬于Ⅱ級水質(G6、G8、G11),5組屬于Ⅲ級水質(G2、G3、G7、G9、G10),2組屬于Ⅳ級水質(G4、G5),1組屬于Ⅴ級水質(G1).這11組樣本中,水質狀況最好的是G6,組中的3個樣本點均取自2010年;水質狀況最差的是G1,組中9個樣本中有6個取自2012年,2個取自2009年,剩余1個取自2011年.從評價結果來看,綜合水質標識指數評價方法既綜合考慮了各項水質評價指標,又突出了最差指標的影響,避免了單因子評價方法以偏概全的缺點,反映了水質樣本的總體特征;對于處于同一水質級別的水質樣本,綜合水質標識指數方法可以比較其優劣(例如,G8和G6都是Ⅱ級水質,但G8水質劣于G6水質);另外,綜合水質標識指數方法還可以判斷劣Ⅴ級水體的污染程度.
3.5.2 多斷面、長時間的水質評價
把以各組樣本均值作為輸入計算得到的各組樣本的水質標識指數評價結果根據表 4分配到各組對應的水質樣本點,即實現了對多斷面、長時間大量樣本的水質評價.圖 2顯示了太子河遼陽段參窩壩下、下王家橋和下口子3個斷面2009—2012年的綜合水質標識指數評價結果.

圖 2 太子河遼陽段3個斷面2009—2012年的水質評價結果
從橫向來看,太子河遼陽段的水質狀況從上游到下游逐漸變差,3個斷面中水質狀況最好的是入市斷面參窩壩下斷面(平均綜合水質標識指數為3.23),國控斷面下王家橋斷面次之(平均綜合水質標識指數為3.48),出市斷面下口子斷面最差(平均綜合水質標識指數為3.51).綜合考慮太子河遼陽段所處的人文環境,可以分析出影響中下游斷面水質狀況的一些人文因素.下王家橋斷面至下口子斷面入河排污口相對集中,河水在徑流中難以形成自身降解.國控斷面下王家橋斷面的水質狀況受到軍工企業遼寧慶陽化工有限公司的影響,該廠南排口位于下王家橋斷面上游約10 km處,受廠區排污影響,下王家橋斷面水質較差.出市斷面下口子斷面的水質狀況則受到從下王家橋斷面下游匯入太子河干流的支流柳壕河的影響,柳壕河的污染源排放口比較集中,遼陽市城市生活污水大多排入柳壕河內,受其影響下口子斷面的水質狀況較為惡劣.具體參見污水寶商城資料或http://m.bnynw.com更多相關技術文檔。
從縱向來看,這4年中水質狀況相對較差的是2009年和2012年,相對較好的是2010年和2011年.從季節來看,夏季水質狀況最好,春秋兩季次之,冬季水質狀況最差.遼陽太子河為雨污合流,在工業廢水和生活污水排放量變化不大的情況下,太子河的污染狀況受降水量的多少影響,每年的枯水期(1、2、3、4、11、12月)為污染最嚴重的時期,平水期(5、6、9、10月)次之,豐水期(7、8月)最好.
4 結論
1)提出了基于多元統計分析和水質標識指數的水質評價方法,研究發現,該方法適用于多斷面、長時間大量樣本的水質評價工作.其特點在于:從多個相關性較強的水質指標中篩選出水質評價因子,降低主觀因素對評價結果的影響;充分利用了水質指標數據的時間和空間特征,識別出監測樣本的內在差異性和相似性,減輕了水質評價的工作量;在水質評價過程中綜合考慮了各項水質評價指標,又突出了最差指標的影響,避免了單因子評價方法以偏概全的缺點,反映了水質樣本的總體特征.
2)太子河遼陽段2009—2012年干流的水質狀況分布在Ⅱ級到Ⅴ級之間,其中大部分處于Ⅲ級以上.從評價結果來看,太子河遼陽段水質狀況相對于水功能區劃分標準仍存在超標狀況.在今后的太子河水環境治理和保護工作中,一方面要加強對轄區內所有企業排污狀況的監管力度,使企業污水全部達標后排放;另一方面要在加快建設縣區污水處理廠的同時,提高現有處理廠的污水處理技術,使污水處理廠在太子河水質改善中發揮更大作用.









