1 引言
有機氯農藥(Organochlorine pesticides,OCPs)屬于典型的持久性有機污染物,具有結構穩定、難氧化、難分解和毒性大等特點,易在環境中積累,并可通過一系列的生物富集、放大作用對人體健康造成極大危害(王雁等,2012).目前,OCPs的污染已遍及全球的大氣、土壤、水體及生物體,作為生活飲用水源的地表水也受其污染(UNEP,2003).例如,人們在北美的安大略湖中發現有大量的滴滴涕(DDT)、氯丹和六六六(HCH)(Hoff et al., 1992);我國水源被OCPs污染的形勢也相當嚴峻,對閩江河口表層水、中間水和沉積物的分析結果表明,有機氯農藥在這3種樣品中的含量分別為214.4~1819 ng · L-1、4541~13699 ng · L-1和28.79~52.07 ng · g-1(Zhang et al., 2003).水源的污染必然影響到飲用水的水質,因此,采用適宜的方法有效消除水中OCPs污染對保障飲用水安全具有十分重要的意義.
傳統給水處理工藝中,強化混凝是去除有機污染物的有效方法(Edzwald et al., 1999),其中,通常所使用的絮凝劑聚合氯化鋁(PAC)應用范圍廣、效果好,但存在出水中鋁殘余量較高,對低溫低濁水去除效果欠佳等缺點.聚合硅酸硫酸鋁(PASS)絮凝劑作為一種新型無機高分子絮凝劑,它是聚硅酸(活化硅酸)與硫酸鋁的復合產物.該絮凝劑兼有無機高分子絮凝劑的電中和作用和卷掃網捕作用,且活化硅酸來源廣、成本低、等效使用量和鋁殘留量少,對低濁高色度水具有優異的絮凝除濁除色效果,且適用于低溫水處理(常青等,1999;韋曉燕等,2005).更主要的是與PAC相比,PASS中聚硅酸鏈的親水性較弱,加之其端基上的氫氧根與Al3+結合使其具有較低的電荷,也降低了PASS的親水性,因此,疏水的OCPs與之結合的能力可能較強,有利于OCPs在混凝過程中共沉去除.
由于天然水中OCPs濃度很低,極難去除,因此,本文采用強化混凝的處理方法,以硅酸鈉、硫酸鋁為原料制備無機高分子絮凝劑PASS,以粉末活性炭和改性凹凸棒土作為助凝劑,對不同條件下處理OCPs的效果和機理進行了探討,以期為實際應用提供參考.
2 實驗材料與方法
2.1 儀器與材料
儀器:Orion 828型pH測試儀、JJ-4A六聯同步自動升降攪拌機、721型分光光度計、JB-2型恒溫磁力攪拌器、Varian CP-3800型氣相色譜儀、Micromeritics ASAP 2010 型快速比表面積和孔隙分析儀.
材料:有機氯農藥標準品,含α-六六六、β-六六六、γ-六六六、δ-六六六、p,p′-DDT、o,p′-DDT、p,p′-DDE、p,p′-DDD,購自國家標準物質中心;硅酸鈉、硫酸鋁均為AR級;甲醇、正己烷、二氯甲烷均為GR級;高嶺土CP級;活性炭GR級,過200目篩備用;凹凸棒過200目篩備用.
2.2 PASS的制備
準確稱量6.0000 g硅酸鈉并用一定量的蒸餾水稀釋到SiO2含量約為2%~3%,然后用20%硫酸調節pH值到一定值進行硅酸聚合;當溶液出現淡藍色時,加入一定量的硫酸鋁,充分攪拌使其溶解,再次以硫酸調節pH值到2.0,35 ℃恒溫水浴攪拌熟化約4 h后得到PASS(常青等,1999).
2.3 改性凹凸棒土的制備
稱取一定量的凹凸棒土,放入燒杯中,加入3 mol · L-1鹽酸溶液,土和鹽酸質量比為1∶10;在室溫下攪拌酸化3 h,用蒸餾水洗至pH值為6,過濾抽干后在150 ℃下烘干,研磨并過200目篩,置于干燥處保存備用.
2.4 水樣的制備
取1 L自來水于杯中,分別投加一定量2%的高嶺土濁液、1 mL 200 ng · mL-1有機氯標準溶液,充分攪拌1 h后,再靜置12 h使OCPs在水相和顆粒物之間達到動態平衡分布,成為含有機氯農藥200 ng · L-1的水樣.
2.5 混凝試驗
將制備好的水樣置于六聯攪拌器,在不同條件下投加PASS,以120 r · min-1速度快速攪拌2 min,50 r · min-1慢速攪拌15 min,再靜置20 min;取液面2 cm下方清液50 mL,用分光光度法測定余濁,剩余清液和懸浮物經過固相萃取裝置萃取后,再用15 mL二氯甲烷和正己烷洗脫液進行洗脫,干燥除水后濃縮定容,用帶電子捕獲器的氣相色譜儀測定其中OCPs的含量.實驗重復3次,取其平均值.
2.6 最佳色譜分析條件
升溫程序:初始溫度100 ℃,保持1 min;以20 ℃ · min-1升溫至180 ℃,保持2 min;以5 ℃ · min-1升溫至250 ℃,保持10 min;進樣口溫度250 ℃,載氣為氮氣(純度99.999%),恒流模式,壓力68.95 kPa,總流量7 mL · min-1,柱流量0.677 mL · min-1,吹掃流量3 mL · min-1.檢測器(ECD)溫度300 ℃,尾吹流量30 mL · min-1;分流進樣,分流比20∶1,進樣量1 μL.
3 結果與討論
3.1 PASS絮凝劑投加量對OCPs去除的影響
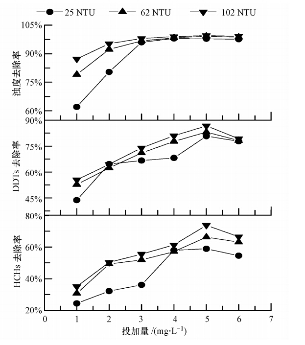
在制備好的OCPs濃度為200 ng · L-1、濁度為62 NTU的水樣中投加不同量的絮凝劑PASS,按照2.5節方法進行混凝試驗,投加量與OCPs去除率之間的關系如圖 1所示.圖中分別顯示了OCPs中HCH和DDT的各種異構體的去除率.

圖 1 PASS投加量對OCPs及濁度去除效果的影響
由圖 1可知,隨著PASS 投加量的逐漸增大,原水中OCPs及濁度的去除率逐漸升高,當PASS投加量達到5 mg · L-1(以SiO2計)時,8種有機氯農藥異構體的去除率最高可達57%~87%,濁度的去除率也同步達到99.19%,混凝效果達到最佳;繼續增加PASS的投加量,發現OCPs及濁度的去除率都有下降.試驗過程中發現,PASS生成絮體速度很快,且生成的絮體體積大、沉降性能好.與本課題組前期以PAC為混凝劑投加所得效果(李宗碩等,2013)相比可以看出,PASS相對于PAC形成絮體時間較短,絮體較大和較密實,沉降速度較快.這是因為PASS聚合形成絮體的能力非常強,同時金屬鋁離子的引入使得PASS的電中和作用加強,且形成大量的高電荷多核鋁羥基絡離子和鋁硅聚合物(董永星,2012)的吸附架橋和網捕作用更強,增強了對OCPs的吸附共沉淀作用;PASS投加過量時,過多的帶相反電荷的離子被膠體顆粒吸附,改變了原來粒子的電性,排斥能加大,發生了再穩定現象.
從圖 1還可以看出,DDT各種異構體的去除率明顯高于HCH的各種異構體,這說明DDT在絮體上的吸附性能比HCH更強.有機氯農藥具有高穩定性和脂溶性,在水中溶解度低、疏水性較強,因此,易于被懸浮物和絮體吸附.根據相似相溶原理,吸附質的極性越小越易被吸附,即分子的疏水性越強越易被吸附,溶解度越小的分子越易被吸附.DDTs與HCHs相比極性小,溶解度更小,所以去除效果更為明顯(郭志勇,2010).
3.2 水樣pH值的影響
取OCPs濃度為200 ng · L-1、濁度為62 NTU的水樣1 L于燒杯中,用甲酸、氨水分別調其pH值為4.5、5.5、6.5、7.5、8.5,PASS投藥量為5 mg · L-1,按照2.5節方法進行混凝試驗,pH值與OCPs去除率之間的關系如圖 2所示. 由圖 2可知,OCPs的去除和原水pH值具有一定的關聯性,隨著pH值的升高,去除率先升高再降低,當pH=6.5時去除率最大.這可能是因為水中膠體顆粒的表面電荷和電位會隨著pH值的變化而發生改變,混凝劑的水解聚合反應也會受到pH值的影響,在pH=6.5時PASS的水解聚合形態達到了最佳,膠體的表面吸附或絮體的網捕卷掃作用也達到了最佳.pH<6.5或 pH>6.5 時,膠體的存在形態和混凝劑的水解形式也發生改變以致于混凝效果變差,去除率降低.

圖 2 pH值對去除OCPs和濁度的影響
3.3 原水濁度的影響
取OCPs初始濃度為200 ng · L-1、濁度分別為25、62、102 NTU的水樣1 L于燒杯中,調節pH值至6.5,按照2.5節方法進行混凝試驗,濁度與OCPs去除率之間的關系如圖 3所示.圖 3結果表明:OCPs和濁度的去除率均隨原始濁度的增加而增加,當原始濁度為25 NTU時,二者的去除率明顯低于濁度為62 NTU和102 NTU的情況.試驗中加入高嶺土來模擬水樣濁度,高嶺土顆粒作為水中膠體顆粒和懸浮物質一方面發揮著吸附作用,濁度的升高意味著高嶺土顆粒數量的增大,這也勢必增加了活性吸附點,更有利于OCPs在高嶺土上發生吸附共沉作用;另一方面,高嶺土顆粒物的增加大大提高了膠體的聚集速率,生成更多的絮體,在發揮共沉淀作用的同時,網捕卷掃作用明顯加強.綜上所述,濁度的大小會影響混凝對水中微量OCPs的去除.

圖 3 原水濁度對OCPs和濁度去除效果的影響
3.4 助凝劑的影響
3.4.1 活性炭復配PASS對混凝效果的影響
眾所周知,活性炭微孔結構豐富、比表面積巨大和表面憎水性強,它對嗅、味、色度、氯化有機物、農藥、放射性污染物及其它人工合成有機物都能有效吸附(Li et al., 2007).本實驗以粉末活性炭作為助凝劑,制成炭泥并在保持攪拌條件下投加,投加點在PASS投加前1 min,投加量分別為5、10、15、20、25、30 mg · L-1,絮凝劑PASS的投加量為5 mg · L-1,按照2.5節方法進行混凝試驗,OCPs、濁度去除率與助凝劑投加量之間的關系如圖 4所示.
圖 4結果表明,隨著活性炭投加量的增多,水中OCPs去除率逐漸上升,但濁度去除率逐漸下降.與圖 1比較可以證明,以粉末活性炭為助凝劑可以提高OCPs的去除率,達78%~100%.這是因為當活性炭投入水中后,OCPs與活性炭表面相結合,在投加PASS后,形成大量的高電荷多核鋁羥基絡離子和鋁硅聚合物,其混凝作用使吸附有OCPs的活性炭粉末沉淀分離,從而達到較高的去除率.

圖 4 活性炭復配PASS對OCPs和濁度去除的影響
當投加量達到25 mg · L-1后,繼續增大投加量,PASS的量相對不足,絮體沉降性變差,OCPs去除率升高趨勢減緩,并逐漸趨于穩定,同時過多的活性炭作為一種比重較小的致濁物質不易沉降而使出水濁度略有升高.

圖 5 改性凹凸棒復配PASS對OCPs去除率的影響
3.4.2 改性凹凸棒土復配PASS對混凝效果的影響
凹凸棒土是一種晶質水合鎂鋁硅酸鹽礦物,具有獨特的層鏈狀分子結構,屬納米材料,比表面積大,吸附性能好,以鹽酸改性可以使其孔徑、孔容和比表面積增大,吸附性能提高(張國宇等,2003;陳天虎,2000;鄧月華,2012).本實驗以改性凹凸棒土為助凝劑,在絮凝過程中干法投加,投加點和混凝劑的投加時間一致,分別投加5、10、15、20、25、30 mg · L-1與PASS復配,PASS的投加量為5 mg · L-1,按照2.5節方法進行混凝試驗,助凝劑投加量與OCPs、濁度去除率之間的關系如圖 5所示.
由圖 5可知,隨著凹凸棒土投加量的增多,水中OCPs去除率逐漸上升,但濁度去除率逐漸略有下降;當凹凸棒土的復配量達到20 mg · L-1時,OCPs去除效果最好;當凹凸棒土投加量較少時,凹凸棒土的吸附容量不足,強化混凝效果不明顯;隨著凹凸棒土投加量的增大,吸附點位增多,吸附能力得到提高,去除率隨著提高(韓珊珊,2011).但當凹凸棒土投加量過多時,混凝劑顯得不足,余濁上升,OCPs去除率隨之下降.
與圖 1比較可以證明,以改性凹凸棒土為助凝劑可以提高OCPs的去除率,可達到72%~95%.這是因為改性凹凸棒作為水處理吸附劑,具有發達的孔隙結構和高比表面積.與圖 4比較可以看出,凹凸棒的助凝效果略低于粉末活性炭,但凹凸棒儲量豐富、廉價易得,因而以改性凹凸棒土替代粉末活性炭助凝PASS應具有較大的優勢.
3.4.3 助凝劑表征
用Micromeritics ASAP 2010 型快速比表面積和孔隙分析儀,以N2吸附-脫附法分別測定未改性凹凸棒土、改性凹凸棒土及粉末活性炭的比表面積和孔徑分布.由表 1和圖 6可知,鹽酸改性后,凹凸棒土的結構發生了明顯的變化,改性凹凸棒土的總比表面積及微孔體積都分別比原土增大了30.06%和30.02%.具體參見污水寶商城資料或http://m.bnynw.com更多相關技術文檔。

圖 6 孔比表面積-孔徑分布圖
通過比較可以發現,相對于活性炭,改性凹凸棒土的總孔體積和中大孔體積較大,說明改性凹凸棒土的中大孔(>2 nm)比活性炭發達.而中大孔決定著水處理過程中液相吸附速率,因為混凝工藝中一般停留時間不超過30 min,在固-水介質中,中大孔作為接觸載體,為吸附質的擴散提供通道,起到了關鍵作用,吸附質通過此通道才能擴散到微孔中去.
表1 三種樣品的比表面積和孔結構數據
4 結論
1)采用疏水性較強的PASS為混凝劑處理微污染水樣,對OCPs的去除可取得較好的效果.當PASS投加量達到5 mg · L-1時,OCPs的去除率最高可達57%~87%,濁度的去除率也同步達到99.19%,混凝效果達到最佳.
2)pH值為6.5的弱酸性環境更有利于OCPs的去除;OCPs的去除與濁度的去除具有相關性,原水濁度的大小影響OCPs的去除,低濁條件下OCPs和濁度的去除率明顯低于中濁和高濁條件.
3)以粉末活性炭和改性凹凸棒土作助凝劑,可發揮吸附共沉淀的協同作用,均可顯著提高OCPs的去除率,但凹凸棒儲量豐富、廉價易得,因此,以改性凹凸棒土替代粉末活性炭更有優勢.


