1 引言
柴油是土壤和水體中常見的一種污染物,由于其疏水性強,不活潑且難生物降解,會在環境中長期滯留,進而危害水體功能和水生生物資源,因此,柴油廢水的治理一直是人們關注的焦點.
目前,治理柴油污染的方法主要有物理法、化學法、生物法等.物理和化學法能夠快速去除柴油大部分組分,但成本較高且易引起二次污染. 而微生物法具有成本低、操作簡單和可避免二次污染等優點,因此,微生物修復環境中柴油污染具有很大的潛力和優勢.
在實際應用過程中,游離菌表現出單位體積內有效降解菌濃度低和抗毒性侵害能力差的特點,嚴重影響其降解效果(Liu et al.,2009). 固定化技術可克服細胞太小且與水溶液分離困難、易造成二次污染等弊端,具有菌體密度高、反應迅速及菌體流失少等優勢,是一種具有巨大應用前景的污染物處理技術.
近年來,關于固定化技術在石油烴降解領域的應用受到越來越多的關注.Lin等(2014)將兩株降解菌固定在棉纖維上來降解粗油,發現當鹽度低于70 g · L-1時,相比游離菌,固定化菌對原油的去除效果提升了30%.Costa等(2014)利用殼聚糖小球固定化B. pumilus UFPEDA831,發現固定化菌體對碳氫化合物去除效率達90.8%,并且可以回收利用.目前,絕大多數固定化技術研究關注的焦點是降解的影響因素,如pH、鹽度和溫度等,而關于固定化微生物的對柴油去除機理,即對先利用固定化材料對廢水 中的柴油進行吸附,然后被固定在載體上的微生物降解的研究鮮見報道.
因此,本試驗以課題組前期篩選獲得的威尼斯不動桿菌為研究菌種,以廉價易得的改性竹炭作為固定化載體,比較游離菌和固定化菌體對于一定濃度柴油溶液的去除效果,探討固定化菌吸附協同降解去除柴油的動力學過程,并借助紅外光譜(FTIR)、掃描電鏡(SEM)、氣相色譜-質譜聯用(GC-MS)等表征手段,對比分析降解前后溶液的成分變化,為固定化菌降解柴油的機理研究提供研究基礎與理論依據.
2 材料與方法
2.1 實驗材料
2.1.1 試劑
供試柴油為商用0#柴油(密度 0.84 kg · L-1),經高壓滅菌后,室溫下保存使用. 實驗所用竹炭購自福州某市場,具體參數如下:比表面積130.5 m2 · g-1,微孔容積0.059 cm3 · g-1,平均微孔徑1.79 nm.
改性竹炭顆粒的制備:先將竹炭顆粒用蒸餾水清洗3次,去除粉塵和殘留物,再置于105 ℃烘箱中6 h烘至恒重,過30~40目篩,最后放入600 ℃馬福爐中煅燒2 h,冷卻后置于干燥器內備用.
2.1.2 菌種與培養基
菌種為本課題組實驗室前期從福建某煉油廠篩選分離的威尼斯不動桿菌(Acinetobacter venetianus),其最佳降解條件為:溫度 30 ℃,氮源(NH4NO3)0.1 g · L-1,pH=7.0.
無機鹽培養基:K2HPO4 1 g,KH2PO4 1 g,NH4NO3 1 g,MgSO4 0.3 g,CaCl2 0.03 g,FeSO4 0.005 g,ZnSO4 0.002 g,MnSO4 0.0002 g,蒸餾水1 L,pH值為7.0.Luria-Bertani(LB)培養基:蛋白胨10 g,酵母膏5 g,NaCl 10 g,蒸餾水1 L.以上所有培養基均經121 ℃滅菌20 min后使用,微量元素于滅菌前加入.柴油培養基:無機鹽培養基,十四烷50 mg · L-1.
2.2 實驗方法
2.2.1 菌液的制備
從固體培養基斜面上挑取一環菌落,接種到10 mL新鮮的LB液體培養基,30 ℃培養24 h.再按1%(體積比)的接種量轉接到新鮮的LB液體培養基,培養12 h.將培養液轉移到50 mL離心管中,6000 r · min-1離心5 min,棄去上清液,再用無菌水沖洗離心,如此重復3次,加入無菌水調到波長600 nm處OD600值為0.7的菌懸液備用.
2.2.2 固定化菌體的制備
稱取0.5 g改性竹炭顆粒,經高溫滅菌后加入到含15 mL無機培養基的50 mL錐形瓶中,再按1.5%體積比加入菌液,于30 ℃、150 r · min-1恒溫振蕩箱中培養1 d,直到菌株固定在竹炭顆粒上. 固定化后的竹炭顆粒用無菌水沖洗3次去除表面的游離菌,制得改性竹炭固定化Acinetobacter venetianus(Liu et al.,2012).
2.2.3 柴油去除實驗
將固定化菌體過濾后,加入到50 mL含柴油濃度為100 mg · L-1的無機鹽培養基,放于恒溫振蕩箱,30 ℃、150 r · min-1下避光培養,分別在0、12、24、36 、48、60、72、84、96 h時取樣測定培養基中柴油的殘留量.分別以游離菌和改性竹炭作為對照,每個處理平行3次.
2.2.4 固定化菌體對不同濃度柴油的去除及吸附-降解動力學分析
設置3組柴油濃度培養基,分別為80、120、140 mg · L-1.加入0.5 g固定化菌體,在30 ℃、150 r · min-1下于恒溫振蕩箱中避光培養,分別在0、12、24、36、48、60、72、84、96 h取樣測定溶液中柴油濃度,每個處理重復3次. 柴油的吸附量(Q)的計算公式如下:

式中,C0為柴油的初始濃度(mg · L-1),Ct為反應時間為t時溶液中殘余的柴油濃度(mg · L-1),V是溶液體積(L),M是改性竹炭顆粒的質量(g).
2.2.5 柴油及其降解產物分析
培養基中柴油含量分析步驟如下,向培養基、錐形瓶各加入10 mL正己烷作為萃取劑,手動萃取5 min,靜置10 min移取上清液,利用UV-Vis在波長226.5 nm處測定吸光度,外標法定量柴油濃度.
柴油降解產物分析采用氣相色譜-質譜聯用法,樣品的提取按照Vieira等(2007)報道的方法.以正己烷萃取反應前后含柴油的水溶液,振蕩5 min,再添加定量的無水硫酸鈉充分吸水,最后取適量裝瓶測樣,分別對反應前后溶液的去除效果進行分析.本研究采用的儀器是GC-MS(Agilent 6890-5975,美國):DB-5石英毛細管柱(30 m×0. 25 mm×0. 25 μm);載氣為He;流速為1 mL · min-1;柱溫 60 ℃,恒溫2 min,以12 ℃ · min-1升溫至300 ℃,恒溫5 min;進樣口溫度250 ℃,檢測器溫度300 ℃,總運行時間27 min(Morris et al., 2009).
2.2.6 SEM樣品的制備與分析
取固定化菌體用無菌水洗滌3次,再使用2.5%戊二醛緩沖溶液(pH=7.2)浸泡0.5 h,用無菌水洗去殘余的戊二醛后,加入不同濃度的乙醇溶液(30%、50%、70%、80%、90%和100%)逐級脫水,每個濃度脫水10 min,放入冷凍干燥器里干燥8 h. 再將制得的樣品固定在導電膠上,進行等離子表面噴金. 采用日本Hitachi公司(型號為S-570)的掃描電子顯微鏡,觀察樣品表面的形貌與形態(Liu et al., 2012).
2.2.7 FTIR分析
含柴油水溶液處理前后的傅里葉變換紅外光譜采用美國Thermo Corp公司的Nicolet5700紅外光譜儀(波數范圍為400~4000 cm-1,4 cm-1的光譜分辨率)進行分析,采用KBr法進行制樣.
3 結果與討論
3.1 固定化菌對柴油的去除效果
圖 1為改性竹炭、固定化菌體與游離菌對柴油的去除情況. 從圖中可知,改性竹炭在96 h內對柴油去除率達到22.6%,這表明改性竹炭對柴油具有一定的吸附效果,但吸附能力較弱. 游離菌對柴油去除率在96 h內達到
80.50%,此去除過程依靠的是微生物的降解能力. 三者中,固定化菌的處理效率最高,在培養第96 h時對柴油去除率達到86.35%,該去除過程包含了竹炭吸附效果和微生物降解兩個途徑. 產生這種現象的原因一方面可能是由于改性竹炭具有表面多孔的特性,除了對柴油具有一定的吸附效果外,還為微生物的生長提供了廣闊的空間,提高了細菌的密度,促進了細菌對柴油的降解(Liu et al., 2012);另一方面,柴油中某些烴的組分經過生物降解之后會產生一些對微生物生長產生抑制的產物,這些有毒產物的積累會影響微生物細胞的生長繁殖,生物載體能夠有效地屏蔽毒性物質對菌株的惡性侵害,增強其適應性(汪杰等,2010).對于所有處理,降解速率在前24 h內較快,之后開始變緩,這可能是由于隨著微生物數量的急劇增長,營養物質被消耗,微生物開始衰亡,且柴油被分解后產生的一些物質也會對其產生毒害作用,使降解率降低.

圖 1 游離菌、改性竹炭、固定化菌在96 h內對柴油的去除效率
3.2 固定化菌對不同濃度柴油的去除
固定化菌對不同濃度柴油的去除如圖 2所示.從圖中可以看出,固定化菌對3種不同初始濃度的柴油的去除率隨時間的變化趨勢基本一致.實驗前期由于水中柴油充分,微生物活性高,柴油的降解速率最快,8 h內對3種濃度柴油的去除率超過80%. 隨著培養時間延長,柴油作為碳源被大量消耗,培養液中的營養物也逐漸減少,降解菌的生長速率降低. 另外,降解產物的不斷積累對細菌的抑制作用也可能是去除率下降的一個影響因素(Wang et al., 2012). 培養96 h后,固定化菌對3種不同濃度的柴油的去除率分別達到84.8%(80 mg · L-1)、88.8%(120 mg · L-1)和90.5%(140 mg · L-1). 固定化菌對初始濃度為140 mg · L-1的柴油水溶液去除率要高于80 mg · L-1柴油水溶液,進一步說明固定化菌能夠以柴油作為碳源,進而達到降解柴油的目的,同時表明固定化菌對高濃度柴油具有較強的耐受性.

圖 2 固定化菌在12 h內對不同初始濃度的柴油的降解情況
3.3 吸附-降解動力學分析
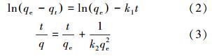
為了進一步研究固定化菌對不同濃度(80、120、140 mg · L-1)柴油的去除機理,用偽一級動力學模型(2)(Lin et al., 2013)和偽二級動力學模型(3)(Lin et al., 2013)來擬合固定化菌降解柴油溶液12 h內的吸附-降解動力學,結果如表 1所示.

表 1 柴油在不同初始濃度下的降解動力學擬合結果
式中,qt是t時柴油的去除量(mg · g-1),qe是平衡時的柴油去除量(mg · g-1),k1是偽一級動力學速率常數(min-1),k2是偽二級動力學速率常數(g · mg-1 · min-1),qe、k1和k2值都可以通過qt和t的圖表關系獲得.
動力學擬合所得相關參數如表 1所示,在所有濃度柴油水溶液中,偽二級動力學模型擬合效果(R2 >0.99)好于偽一級動力學模型(R2 <0.96). 當柴油的含量分別為80、120和140 mg · L-1時,其對應的去除速率常數k分別為0.1426、0.0993和0.0854 g · mg-1 · min-1,這一結果可以說明柴油的初始含量越高,其去除速率越慢. 根據偽二級模型計算的不同濃度柴油的qe理論值(7.01、10.07、11.70 mg · g-1)更接近于實驗觀測值(6.739、10.304、12.637 mg · g-1). 結果表明,固定化菌去除柴油更符合偽二級動力學模型,這說明多個過程控制固定化菌體對柴油的去除.改性竹炭表面豐富的官能團和內部微孔的結構,均對柴油吸附有所貢獻.在柴油從水相向竹炭遷移的過程中,經歷了水膜擴散、竹炭顆粒表面擴散和竹炭內部微孔擴散等多種過程.柴油分子進入改性竹炭載體后,負載在載體內外的微生物將總石油烴作為碳源和能源物質,在體內外酶的作用下將其代謝分解(Wang et al., 2015).
根據上述的吸附-降解動力學結果,提出一個可能的固定化菌吸附協同降解的過程機理,可分為兩個階段:在第一階段,固定化載體的吸附發揮主要作用,導致柴油的濃度降低;第二階段,固定化菌降解代謝起主導作用,這些假設將被后續的GC-MS及FTIR等分析手段進一步證實;最后階段,兩個過程的綜合作用使溶液里的柴油濃度達到動態平衡.
3.4 SEM結果
固定前后的改性竹炭表面的SEM結果如圖 3所示. 從圖 3a可知,在固定化之前,改性竹炭表面積較大,且凹凸不平,分布著大小不一的微孔. 這種微孔結構能夠保證氧氣、營養元素的輸送及降解底物的排放. 這充分說明改性竹炭是微生物固定化的理想載體,其所具有多孔結構能夠為微生物提供足夠的生長空間. 此外,微孔結構也可為污染物提供進入載體內部的通道(Wang et al., 2012). 從圖 3b可見,在孔狀結構中有微生物生長,且分布在改性竹炭載體上的菌落形態并不完全一致,有些細菌團簇在一起,有些則處于分散狀態. 由此說明,竹炭固定細菌可能存在兩種途徑,包括菌體間的物理吸附及細菌與載體間的交聯作用(Qiao et al., 2010).

圖 3 改性竹炭固定化菌前(a)、后(b)的電鏡圖
3.5 FTIR結果
圖 4是固定化菌去除柴油水溶液前后的FTIR譜圖.由圖 4可知,降解前柴油水溶液的紅外譜圖中,3850~3500 cm-1范圍內存在的3733.9 cm-1及3454.4 cm-1吸收峰,這是由強烈的羥基伸縮振動引起的(Swiatkowski et al., 2004). 2970~2840 cm-1為飽和碳氫化合物的特征峰,系甲基、亞甲基和次甲基的伸縮振動和彎曲振動吸收峰.1572.1 cm-1處出現的強烈伸縮振動峰為苯環骨架振動產生(Cabal et al., 2009),1470~1430 cm-1范圍內的1448.6 cm-1吸收峰為C—CH3彎曲振動峰,在1250~1150 cm-1區內出現的1210 cm-1峰為支鏈烷烴的C—C骨架振動吸收峰.柴油降解后紅外譜圖中,在3495~3430 cm-1出現的3437.2 cm-1峰為芳香仲胺的伸縮振動峰,2924.4 cm-1附近的吸收峰為羧酸的特征峰,1410~1310 cm-1范圍內的1407.8 cm-1峰為酯類及醇類的強烈伸縮振動峰.比較降解前后的柴油水溶液的紅外圖譜發現,固定化菌體系能夠有效地處理柴油中的不同組分,經反應后,代謝產物中有羧酸類、酯類、醇類等物質產生.何良菊等(2004)研究表明,石油類物質在微生物的作用下,中間產物往往以脂肪酸類物質居多. 短鏈烷烴的亞末端氧化為醇和相應的脂肪酸(Forney et al., 1968);直鏈烷烴的微生物降解途徑以單末端氧化和雙末端氧化生成二元羧酸為主(McKenna et al., 1970);發生單末端氧化時,烷烴氧化為相應的醛和脂肪酸;而發生雙末端氧化,則是烷烴被轉化成二元羧酸(Scheller et al., 1998). 這表明柴油的降解過程中不僅有單末端氧化、次末端氧化,同時還有雙末端氧化.

圖 4 改性竹炭固定化菌前(a)、后(b)的電鏡圖
3.6 GC-MS分析結果
為了探究柴油的去除情況,分別對微生物降解前后的柴油水溶液進行GC-MS分析. 圖 5分別是柴油、游離菌降解后及固定化菌去除后的GC-MS譜圖.從圖中可以看出,威尼斯不動桿菌可以高效的降解柴油各種長度的烷烴. 由圖 5b可知,經過游離菌降解后,柴油中長鏈烷烴(C16~C30)幾乎完全降解,對C11、C6、C8的降解率分別達到83.05%、59.54%、55.48%.烴類的降解主要依賴于微生物的降解能力,又受烴類自身性質所制約.Liu等(2011)認為飽和烴較不飽和烴更易降解,這就使得C16~C24范圍內的烷烴具有好的降解性. 從圖 5c中可以看出,在反應96 h后,固定化菌較游離菌對柴油的去除更為徹底,柴油內不同組分均得到有效地降解.可能是疏水性固定化載體不僅與底物之間存在著高親和性,而且為降解菌的生長提供了良好的微環境,促使菌株更容易與底物接觸并發生反應,從而加快降解速率(Hou et al., 2013). 柴油中部分烴的降解產物可能對微生物的生長繁殖產生抑制作用,而載體對有毒底物的擴散會產生一定的阻礙作用,使得固定化菌表面的實際毒物濃度降低,進而對細胞有一定的保護作用(Yamaguchi et al., 1999). Morris 等(2009)在對微生物降解后的柴油水溶液進行GC-MS分析時發現,在4 min左右產生了大量的乙酸、酮類、酯類、戊二醇等物質,這一結果與圖 5b中色譜峰的結果較為相似.因此,結合FTIR結果我們推測,Acinetobacter venetianus對柴油的降解是單末端氧化、次末端短氧化、雙末端氧化等多種氧化途徑綜合作用的結果.

圖 5 游離菌和固定化菌降解柴油溶液的GC-MS圖(a.柴油溶液空白對照組; b.游離菌降解柴油溶液;c.固定化菌降解后的柴油溶液)
4 結論
1)通過研究改性竹炭固定化Acinetobacter venetianus去除水體中的柴油,可知固定化菌對柴油的去除效果高于游離菌,對140 mg · L-1的柴油水溶液的去除率達到90.5%;而改性竹炭表面多孔的特性對柴油存在一定的吸附作用; 固定化菌對柴油的吸附協同降解過程擬合結果符合偽二級動力學,這表明油類分子首先被改性竹炭吸附,再被威尼斯不動桿菌降解.具體參見污水寶商城資料或http://m.bnynw.com更多相關技術文檔。
2)通過對SEM結果分析,證實改性竹炭能夠很好地固定Acinetobacter venetianus.結合FTIR和GC-MS結果推測,柴油經過威尼斯不動桿菌降解之后,部分組分轉化為酮類、羧酸類,這表明在固定化菌在去除柴油不同組分的過程中存在著多種降解機制.


