1 引言
2004 年Novoselov和Geim制備出單個原子層厚度的石墨烯,因其具有巨大比表面積(2630 m2 · g-1)、高的載流子遷移率(10000 cm2 · V-1 · s-1)等獨特結構和性能,引起人們對二維碳材料的極大關注.目前石墨烯的制備方法主要有:微機械剝離、外延生長法、化學氣象沉積、氧化還原法等.以Hummers法制備GO,再通過還原處理(熱還原、化學試劑、光激發、水熱法等)去除含氧基團是常用制備還原氧化石墨烯(RGO)技術之一.自1972年Fujishima和Honda研究TiO2分解水制氧氣和氫氣以來,TiO2由于環保、無毒和穩定型光催化材料得到廣泛研究.由于TiO2是寬帶隙半導體,限制其對可見光區響應.通過制備TiO2與其他材料的復合物是提高TiO2的催化性能的有效方法.以GO/TiO2 的凝膠,在NH3/Ar 氣氛中,于500~800 ℃煅燒,生成的RGO/N-TiO2在可見光區具有較高的光催化活性.
2,4-二氯苯氧乙酸(2,4-D),作為除草劑、植物生長調節劑和保鮮劑得到廣泛應用.由于2,4-D的大量使用,生物降解緩慢和二次分解污染產物,對人類和環境產生極大危害.針對2,4-D的控制處理主要包括吸附淋溶、微生物及植物修復、光降解、電化學還原等方法.制備的Ca-Ce-W-TiO2復合催化劑對2,4-D具有高效的光催化降解效果.
目前以紫外光還原氧化石墨烯的研究中,主要利用TiO2乙醇溶膠中加入GO,以紫外光激發制備兩者的復合物,采用紫外光/熱還原制備還原氧化石墨烯研究不多,鮮少報道以RGO/TiO2為復合材料光催化降解2,4-D及其降解機制.本實驗通過Hummers法制備了GO,N2氣氛下利用紫外光/熱還原技術制備六碳環結構修復較好的RGO,用溶膠-凝膠-煅燒法以450 ℃高溫下制備RGO/TiO2復合光催化劑;以2,4-D為模擬有機廢水,驗證RGO/TiO2光催化氧化性能,考查催化劑投加量、RGO負載量、pH值、初始濃度等因素對降解效果的影響,分析2,4-D可能的降解機制.
2 材料與方法
2.1 實驗儀器
FT-IR(Nicolet 5700,美國),XRD(Bede,英國)對GO、RGO、RGO/TiO2復合材料結構組成表征,高效液相色譜儀(Agilent 1200 TU-1901),UV-Vis(TU-1901),離子色譜儀(IC-861,瑞士)等對2,4-D降解分析測定.
2.2 催化劑制備
2.2.1 還原氧化石墨烯(RGO)制備
以鱗片石墨為原料,采用Hummers法制備氧化石墨烯(GO).以GO為前驅體,紫外光耦合熱還原工藝制備RGO:將一定量的GO超聲分散2 h,將其加入裝有95%乙醇的圓柱狀玻璃反應器中,在紫外燈激發下還原12 h,抽濾并清洗3次,將所得樣品于60 ℃真空干燥48 h,于N2氣氛保護下在管式爐中300 ℃(升溫速率0.5 ℃ · min-1)熱還原1 h,研磨備用,標記為RGO.
2.2.2 復合材料RGO/TiO2的制備
采用凝膠-溶膠-煅燒法,A液配制:鈦酸丁酯 ∶ 無水乙醇 ∶ 乙酸(體積比)為8 ∶ 15 ∶ 1;B液配制以水 ∶ 濃硝酸 ∶ 無水乙醇(體積比)為3 ∶ 1 ∶ 30,取一定量的RGO加入到B液中,然后再將B液慢速加入到A液中.陳化48 h成凝固態并70 ℃干燥.N2氣氛保護下在管式爐中450 ℃(300 ℃前升溫速率0.5 ℃ · min-1)煅燒2 h,得到灰黑色樣品,研磨備用.改變RGO的量,得到不同石墨烯負載量的RGO/TiO2復合材料,記為RGO/TiO2(質量分數).本研究制備了1%、2%、3%、4%RGO負載的RGO/TiO2復合材料.
2.3 實驗方法
光催化降解實驗在圓柱狀玻璃反應容器中進行,石英紫外燈為光源.稱取2,4-D樣品溶解配成模擬廢水,將其倒入反應器中,加入光催化劑,先在黑暗中磁力攪拌30 min后使之達到吸附-解吸平衡后不同時間點取樣;分別探討催化劑投加量、石墨烯負載量、pH值、初始濃度等因素對降解效果的影響.取樣經0.22 μm濾膜過濾分析.實驗基準條件為RGO/TiO2(2%)1.2 g · L-1,pH為3,初始濃度為50 mg · L-1.
3 結果與討論
3.1 晶相結構分析(XRD)
從圖 1(B)的GO圖譜可以看出,經過氧化后,只在2θ=10.2°左右出現(001)強衍射峰,由Bragg 方程計算層間距為8.6642 nm,石墨(2θ=26.5°)經過化學氧化,增加的含氧基團減弱了碳層間的相互作用,得到具有良好層狀結構的GO;圖 1(C)是經過紫外光/熱還原后的RGO圖譜,從圖中可以看出,GO的(001)特征峰消失,在 2θ=24.5°附近出現了RGO特征衍射峰.從圖 1(E)RGO/TiO2的圖譜可以看出,經過450 ℃ 高溫煅燒后,在2θ= 25.1°(101)、37.6°(004)、47.7°(200)、53.8°(105)、54.6°(211)、62.5°(204)、68.6°(116)等處與銳鈦型二氧化鈦出峰一致,復合材料晶化,由Scherrer方程計算其粒徑約為18~42 nm,但在2θ= 24.5°附近的衍射峰不明顯,這可能是由于石墨烯的含量低,衍射峰不明顯,被2θ=25.1°處的TiO2特征峰所掩蓋.

圖1 樣品GO、RGO、RGO/TiO2、TiO2的XRD圖譜
3.2 紅外光譜分析(FT-IR)
圖 2是GO、RGO和RGO/TiO2的紅外光譜圖,從圖 2(B)可以看出,GO的圖譜在3408 cm-1附近對應于OH吸收峰,1722 cm-1附近歸屬于C O伸縮振動峰,1614 cm-1歸屬C C振動,1246 cm-1歸屬C—OH吸收峰,1021 cm-1歸屬C—O等吸收峰.從圖 2(C)中的RGO圖譜可以看出,在紫外光激發下,在GO中3408 cm-1(OH伸縮振動峰)、1722 cm-1、 1246 cm-1、1021 cm-1等處附近的振動吸收峰逐漸減弱,300 ℃熱還原進一步將GO未除去的含氧基團以CO2、H2O、CO等氣體從層間逸出,1614 cm-1附近出現石墨烯結構振動峰,產物中石墨稀結構的出現使其恢復共軛π鍵.從圖 2(D)的RGO/TiO2的紅外光譜圖可以看出,1614 cm-1對應石墨烯的骨架震動峰.形成RGO/TiO2復合材料后,在570 cm-1附近歸屬于石墨烯與TiO2產生化學結合形成了Ti—O—C鍵伸縮振動峰,且此范圍內的吸收峰寬化,兩者發生了穩定結合.

圖2 樣品GO、RGO、TiO2/RGO的紅外光譜圖
3.3 水體中2,4-D的光催化降解實驗
3.3.1 催化劑投加量對光催化降解2,4-D的影響
圖 3為催化劑投加量對2,4-D降解的影響.實驗基準條件下,設置RGO/TiO2投加量分別為0.6、0.8、1.2、1.8 g · L-1,并同時設置不同的光源條件作為對照實驗,分別為黑暗避光、純實驗室自然光源和純紫光源.從圖中可以看出,復合催化劑RGO/TiO2對2,4-D具有較好的吸附能力,在30 min后達到吸附飽和,吸附率約為26.8%;實驗結果表明在基準條件下,實驗室微弱的自然光照對2,4-D的降解幾乎無影響;同時,隨著復合催化劑RGO/TiO2加入量增加,2,4-D廢水降解率逐漸升高,投加量為1.2 g · L-1反應12 h時2,4-D去除率達到最高的98.75%,而RGO/TiO2加入量達1.8 g · L-1時,2,4-D的降解率不再升高,反而與1.2 g · L-1時的降解率相當甚至減少,表明當催化劑過高或是過低都對2,4-D的降解有不利影響,這是由于過量的催化劑在溶液中會分散不均勻,造成結塊團聚,降低了活性組分的利用率使得自由基未與底物反應就發生分解而引起反催化作用.同時說明復合光催化劑RGO/TiO2降解2,4-D有最佳投加量問題,當其用量超過一定范圍時,2,4-D的降解速率由其他條件所控制.本實驗光催化劑RGO/TiO2的最佳用量是1.2 g · L-1.

圖3 RGO/TiO2加入量對2,4-D降解率的影響(圖b為2,4-D濃度分析標準曲線)
3.3.2 石墨烯負載量對光催化降解2,4-D的影響
圖 4是實驗基準條件下,TiO2、P25、RGO/TiO2降解2,4-D圖和CODCr去除率圖.從圖 4(a)中可以看出,復合光催化劑RGO/TiO2對2,4-D的光催化活性顯著優于自制TiO2和P25.RGO的負載量為2%時降解效果最好,與圖 4(b)中CODCr去除結果一致,降解反應4 h后2,4-D降解率為75.65%,降解12 h已基本上檢測不到2,4-D,CODCr去除率達到62.75%;而RGO負載量為1%時,降解4 h的降解率為68.82%,低于RGO負載量為2%時效果,降解12 h CODCr去除率為54.6%;當RGO負載量3%時,反應4 h降解率為70.8%,相比1%時去除率有所提高,降解12 h CODCr去除率為55.76%;當RGO負載量4%時,反應4 h降解率為65.8%,比較3%時2,4-D去除率有所下降,反應12 h的降解率為95.2%,CODCr去除率為52.3%.實驗說明在一定范圍內,石墨烯負載量為2%的復合催化劑催化降解效果最好.這是因為RGO提高電子轉移效率,阻礙電子-空穴復合,使RGO/TiO2加速對2,4-D及其中間產物的催化降解,同時RGO太多可能會影響光的分布,導致光催化性能下降.

圖4 RGO負載量對2,4-D降解率的影響
3.3.3 初始pH對去除2,4-D的影響
實驗基準條件下,設置廢水pH分別為3、4、5、7、9、10,探討不同pH對去除2,4-D的影響,結果如圖 5所示.從圖 5看出,pH的升高不利于2,4-D的降解還原,當pH為10時2,4-D降解效果很差,12 h后2,4-D降解率僅為69.4%,而在pH在4以下時,2,4-D去除效果極好,12 h后基本檢測不到2,4-D.這是由于低的pH有利于使原來堆積的TiO2分散開(周紅藝等,2013),TiO2表面會產生質子化從而帶正電荷使其與石墨烯更多的接觸,有利于光生電子傳輸,同時在pH較低時有利于2,4-D的更多吸附并與催化劑反應降解,因此酸性條件下催化劑對2,4-D有更好的去除效率.本實驗有效擴寬了同類光催化劑處理2,4-D廢水pH范圍.

圖5 初始pH對2,4-D降解率的影響
3.3.4 初始濃度對光催化降解2,4-D的影響
實驗基準條件下,設置2,4-D初始濃度分別為50、70、90、110 mg · L-1,考查RGO/TiO2對不同初始濃度2,4-D的降解效果,結果如圖 6所示.從圖中可以看出,隨著2,4-D的初始濃度增大,廢水降解率逐漸降低,當2,4-D濃度為110 mg · L-1時,反應12 h去除率僅為84.3%,表明在一定的催化劑濃度下,廢水的降解效果隨底物濃度的增大而降低.這是因為2,4-D濃度較高時,被納米催化劑吸附的2,4-D分子大量增加,催化劑表面的活性位點數是一定的,由于只有與催化劑表面接觸的分子才會被吸附降解,因此2,4-D濃度的增加反而抑制了其降解.

圖6 2,4-D初始濃度對降解率的影響
3.3.5 光催化降解2,4-D產物與途徑分析
圖 7b是基準條件下光降解2,4-D的氯離子濃度變化圖.從圖中可以看出,隨著降解反應的進行,2,4-D的濃度逐漸降低,而反應體系中Cl-濃度逐漸升高,降解12 h時的氯離子濃度達到8.57 mg · L-1,氯離子脫除率為52.96%.

圖7 2,4-D降解中間產物分析(a. 高效液相色譜圖;b. 降解時氯離子濃度變化圖)
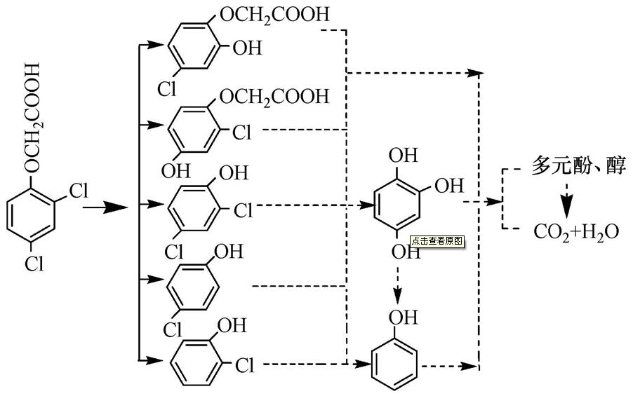
2,4-D降解的中間產物用HPLC通過分析每個峰所對應的保留時間所得到,圖 7為基準條件下反應4 h的圖譜.從圖中可以看出,2,4-D的出峰時間在4.28 min.隨著光催化反應的進行,這個峰逐漸減小,同時在2.80,3.80和6.12 min的保留時間明顯出現新的峰,通過與標準物質的HPLC色譜圖對比,對應的物質分別是苯酚、4-氯酚、2,4-二氯酚.其它出峰用HPLC暫時難以分析.由2,4-D的產物圖譜及氯離子濃度的變化趨勢,可以推斷出2,4-D可能的降解途徑如圖 8所示.

圖8 2,4-D可能的降解途徑和中間產物分析結果
3.3.6 RGO/TiO2光催化降解2,4-D廢水機理討論
RGO/TiO2復合材料對2,4-D廢水降解機制如圖 9所示.參考已有的文獻報道(Zhang et al., 2010; Lee et al., 2012),RGO/TiO2復合光催化劑具有優良催化活性,一是石墨烯表面有大量的π-π共軛雙鍵,2,4-D分子與其相互作用,同時復合催化劑RGO/TiO2高的比表面積等(王思雨等,2014; Wang et al., 2011)使其比純TiO2對2,4-D具有更好的吸附;二是受紫外光源激發時,TiO2產生電子(e-)和空穴對(hν),由于石墨烯高的導電性和獨特的二維共軛結構,成為光生電子高流速通道將TiO2光生載流子快速轉移,使TiO2活性電子一部分在表面空間電荷層電場的作用下快速遷移到粒子表面被水分子中溶解氧捕獲,生成 HO2 · 等自由基,同時吸附在顆粒表面的水或氫氧基團也與空穴發生反應,生成H2O2、HO · 等自由基(Hoffmann et al., 1995),與被吸附到復合材料表面的2,4-D發生氧化降解,活性基團的生成和空穴氧化作用大大加速了光催化2,4-D的反應速率.另一部分通過滲流機理從導帶躍遷到石墨烯上,有效延長光電子的壽命及抑制了電子-空穴復合,這部分電子將直接供給2,4-D苯環上的氯,使氯發生光還原反應從苯環上脫除(Xu et al., 2013).因此RGO/TiO2復合材料能有效提高量子化效率,延長電子壽命,對2,4-D具有高效的光降解速率和氧化還原效果.具體參見污水寶商城資料或http://m.bnynw.com更多相關技術文檔。

圖9 RGO/TiO2光催化降解2,4-D機制
4 結論
1)以Hummers法制備GO,N2氣氛中采用環保的紫外光/熱還原法能有效去除GO含氧基團,使六元碳環得到良好修復,恢復二維共軛結構制備出RGO,通過溶膠-凝膠-煅燒法450 ℃制備得到RGO/TiO2復合納米材料;負載RGO提供電子轉移高速通道,抑制電子-空穴對復合,使RGO/TiO2對2,4-D的光催化活性顯著優于純TiO2.
2)對比不同因素體系去除2,4-D分析,結果表明,當RGO/TiO2投加量為1.2 g · L-1、RGO負載量為2%、pH為3、初始濃度為50 mg · L-1條件下,光催化反應12 h,2,4-D去除率達到98.75%.2,4-D降解率隨著RGO/TiO2投加量先增大后減小;低的pH條件和RGO負載量2%時更加有利于2,4-D的催化降解.
3)紫外光激發下,RGO/TiO2一部分光生載流子被水體中O2捕獲生成H2O2、HO · 等自由基,活性基團的生成和空穴氧化作用加速了氧化降解2,4-D,一部分電子直接作用2,4-D分子使其發生還原脫氯過程,生成苯酚、4-氯酚、2,4-二氯酚等中間產物,部分降解為CO2和H2O.本研究為2,4-D廢水治理提供一種良好光催化技術和材料.


