液體推進劑是液體火箭發動機的工作能源,是航空航天發展的關鍵物質基礎,是目前我國航天發射使用量最大的推進劑。偏二甲肼(UDMH)/四氧化二氮(N2O4)雙組元液體推進劑具有能量高、比沖大、可常溫儲存等特點,是我國航天發射場的主要液體推進劑,但是偏二甲肼推進劑具有致癌、致畸、致突變作用,對環境污染較大。隨著我國環境污染物排放標準的不斷提升,推進劑偏二甲肼生產廠家因為生產過程污染物不滿足排放要求面臨停產的威脅,直接影響到航天發射試驗任務的實施,因此開展了高濃度偏二甲肼廢液的無害化處理技術研究。
推進劑在生產和使用過程中會產生不同濃度的廢液,生產過程中產生的廢液來自于精餾塔殘液,廢液中各種污染物成分復雜,其中偏二甲肼約占10%(質量比);航天發射使用過程中產生的廢液主要來自于推進劑取樣化驗等過程,廢液成分主要為偏二甲肼。偏二甲肼在環境空氣中會與氧氣發生緩慢氧化反應,生成偏腙、四甲基四氮烯、氨、二甲胺等中間產物,部分中間產物毒性更大。為了便于開展試驗研究,計算了不同濃度偏二甲肼廢液COD和熱值,計算結果如表1所示。

不同濃度推進劑偏二甲肼廢液可采用相應的處理方法,產生于取樣化驗環節的濃度接近純偏二甲肼液體一般須進行資源回收利用,經過精餾純化后再用;熱值較高的廢液可采用可控燃燒技術進行處理,一般認為有機廢液的熱值≤3300kJ/kg時,不足以滿足自身蒸發所需熱量,燃燒過程需要的輔助燃料消耗較大,采用燃燒法處理不經濟。由表1可知當偏二甲肼廢液熱值≥3303.07kJ/kg時,其COD≥208006.77mg/L,溶液偏二甲肼含量≥10%,可采用可控燃燒處理技術進行無害化處理。一般將偏二甲肼廢液濃度≤0.05%、對應COD≤1069.15mg/L的液體視作廢水,可采用臭氧—紫外光氧化技術進行無害化處理。介于0.05%~10%的高濃度偏二甲肼廢液目前無專用處理技術。
超臨界水氧化技術(supercriticalwateroxidation,SCWO)是利用水的超臨界態(TC=374.15℃、PC=22.13MPa)特性,投加一定的氧化劑(氧氣、空氣或H2O2),使水中有機物和氧化劑在超臨界水均相體系中發生高效氧化反應去除有機物的一種方法。該方法是一種凈化效率高、反應速率快、分解徹底、無二次污染的處理技術,是極具潛力的綠色水處理技術。
在前期研究基礎上,利用自行設計加工的超臨界水氧化裝置,開展了高濃度偏二甲肼廢液近臨界水處理驗證試驗研究,控制近臨界水氧化條件為:高于水的臨界溫度、低于水的臨界壓力,較低的運行壓力可以提高系統安全性,節省裝置成本。采用近臨界條件氧化偏二甲肼廢液化學反應方程式如式(1)所示:

1、試驗部分
1.1 試驗裝置
設計加工了一體化連續流超臨界水氧化反應裝置2套,設計規模分別為2L/h和25L/h,裝置設計的最高溫度為600℃,最大壓力為26MPa。反應裝置材質為Inconel(R)625,該合金是鉬、鈮為主要強化元素的強化型鎳基變形高溫合金材料,具有良好的抗腐蝕和耐氧化性能,從低溫到980℃均具有良好的拉伸性能和耐疲勞性能,可以耐鹽霧條件下的應力腐蝕。合金材料的具體成分含量如表2所示。

工藝流程如圖1所示。

工藝處理系統由供料系統、預熱系統、氧化劑供給系統、反應系統、冷卻系統和汽液分離系統6部分組成。
供料系統由清水箱、廢液箱和液體泵組成,向系統提供清水和待處理的偏二甲肼廢液,液體泵保證系統的壓力滿足超臨界壓力和近臨界壓力要求;預熱系統由第一預熱器和第二預熱器組成,將供料系統提供的清水或待處理廢液加熱至預定值,偏二甲肼廢液經過兩級預熱器加熱后控制廢液溫度為380~400℃;氧化劑供給系統由氧化劑貯罐(氧氣鋼瓶)、氧化劑泵和質量流量計組成,此過程采用的氧化劑為工業氧氣,采用氧化劑泵可將氧氣加入反應器內,流量計可以顯示過程所用氧氣的瞬時流量和累計流量,通過氧化劑泵控制氧氣的投加量,使其滿足預定的投加比;反應系統包括反應器及其加熱裝置,待處理偏二甲肼廢液和氧氣在反應器內完成高溫高壓反應,廢液反應后變為無機小分子物質,實現無害化,反應器的加熱裝置保證反應器內維持預定的溫度;冷卻系統包含冷卻器及冷卻介質供給設施,在反應器內完成化學反應后的產物經過冷卻系統變為常溫液體,冷卻介質選用自來水,冷卻自來水可以循環使用,重復利用;汽液分離系統將冷卻器排出的液體分離為常壓氣體和常壓液體,常壓氣體達標排放,常壓液體取樣后進行實驗室分析化驗,達標后排放。
一體化連續流試驗裝置設計了多級安全保護系統,在第一預熱器、第二預熱器、反應器等裝置上設置了在線溫度、壓力傳感器,當溫度和壓力出現異常時可以自動調控和報警,系統設置了安全閥,起到雙重保護的作用。
1.2 試驗過程
前期在中北大學間歇反應釜中進行了間歇流試驗,初步探索了近臨界水氧化高濃度偏二甲肼廢液的可行性及反應條件,該試驗在連續流反應裝置上進一步確認反應條件。試驗分小型試驗和中型試驗,試驗廢液取自某發射基地,廢液接近純液,并按照需求進行稀釋。試驗過程所用氧化劑為工業氧氣,氧氣的投加比是指實際投加氧氣量與廢液的理論需氧量的比值,根據前期試驗結果,一般控制氧氣投加比為1.2∶1~2∶1。
試驗過程:將待處理廢液置于廢液箱中,清水箱中注入自來水,關閉背壓閥和氧化劑系統,開啟液體泵,向系統注滿清水,同時開啟第一預熱器、第二預熱器、反應器的加熱系統,待系統溫度和壓力上升至預定值時,關閉清水截止閥,開啟廢液截止閥,開啟背壓閥,開啟氧化劑貯罐截止閥、氧化劑泵,調節氧化劑質量流量計,控制氧化劑流量在設定的范圍,保持系統在預定的溫度和壓力范圍內運行,處理后的氣液混合物經過冷卻器冷卻后,進入氣液分離器,實現氣體和液體的分離,取液體樣品進行檢測。
根據試驗進程,在系統穩定運行后,每間隔一定時間取排出液體50~100mL,所取水樣檢測指標為:COD、pH、氨氮、甲醛、苯胺、硝酸鹽氮,檢測方法和所用儀器如表3所示。

1.3反應器停留時間
根據M.Victor等研究結果,停留時間可以由式(2)計算:

式中t———液體停留時間,s;
V0———反應器的有效容積,L;
F———試驗過程或處理廢液時的液體流速,L/s;
ρr———超臨界或近臨界條件下的水的密度,g/cm3;
ρ0———常溫常壓條件下的水的密度,1g/cm3。
根據水的過熱蒸汽數據,繪制了不同壓力條件下過熱水的密度隨溫度變化曲線,如圖2所示,從圖中可以看出不同壓力下水在300~420℃區域密度變化較大,因此采用近臨界水氧化技術處理有機廢液時應避開密度變化較大的區域。根據前期多次間歇試驗結果,處理偏二甲肼高濃度廢液的壓力在18~22MPa、溫度在480℃以上時效果較好,本次連續流試驗控制運行條件在此范圍。

按照20MPa、550℃條件下水的密度為0.0605g/cm3計算,2L/h反應器的有效容積為1.5L,其停留時間為163s;25L/h反應器的有效容積為8L,停留時間為70s。
2、結果與討論
2.1 小型試驗
每升水中加入50mL偏二甲肼廢液配制成待處理廢液,在2L/h的試驗裝置上進行了小型試驗,控制系統的溫度在480℃以上,壓力在18~22MPa,反應器中氧氣的投加比為1.2∶1,連續試驗中在處理后的液體排放口定期取樣進行實驗室分析檢測,取進料待處理廢液同時進行分析檢測,結果如表4所示。

由表4結果可知在原廢液COD為79846mg/L時,氧氣投加比為1.2∶1,停留時間為163s時,經過近臨界壓力條件氧化后出水的COD和氨氮值達標,表明在試驗條件下可以使高濃度偏二甲肼廢液實現無害化達標排放。
2.2 中型試驗
為了進一步驗證試驗裝置放大后的有機污染物處理效果,在小型試驗基礎上,進一步在25L/h的中型試驗裝置上進行了放大規模試驗,試驗條件基本與小型試驗一致,反應器中氧氣的投加比為1.3∶1~1.5∶1,原始廢液濃度約5%,穩定運行后取樣分析結果如表5所示。

分析表5結果可知,高濃度廢液COD高達82800mg/L時,控制氧化壓力處于近臨界區域20MPa、溫度為550~570℃時,處理后排出液各項指標均能滿足《肼類燃料和硝基氧化劑污水處理及排放要求》(GJB3485A-2011)的標準。
2L/h小型反應器停留時間為163s,25L/h反應器的停留時間為70s,不同反應時間排放液體中COD去除率高于99.98%,COD低于標準120mg/L。
總碳(TC)、總有機碳(TOC)去除率均高于99.5%,在試驗壓力和溫度范圍內,排出液TC、TOC的濃度很低,說明偏二甲肼中的碳元素基本轉化為無機碳,根據文獻研究結果,有機物被超臨界水氧化降解過程中,碳元素的主要降解產物為CO和CO2,隨著溫度的升高,C的氧化程度加深,不完全氧化產物CO逐漸變為CO2,因此超臨界水氧化處理偏二甲肼廢液時,碳元素主要以C02形式排入大氣。
研究表明超臨界水氧化含氮有機物時氮元素主要以N2和少量N2O氣體排放[9],N(-III)被氧化,而N(+V)作為主要氧化劑被還原,N2O是NH3繼續氧化的產物,NH3的氧化活化能為156.8kJ/mol。反應條件在400℃以下,主要生成物為NH3或NH+4,隨著溫度升高,N2比例增加,在較高的溫度下,560~670℃時更有利于生成N2O、而不是NH3。試驗中當溫度達到550℃以上時,排出液中氨氮隨溫度升高逐漸降低,排出液中亞硝酸鹽氮的濃度隨溫度變化不大,本試驗結果與上述研究報道結果相吻合,氨氮濃度隨溫度升高,有小幅度升高后逐漸降低趨于平緩,亞硝酸鹽濃度在反應過程一直較低。根據式(3)熱力學計算可知,N2O可以反應生成N2,常溫下其化學反應吉布斯自由能為負數,反應在常溫可以自發進行,所以偏二甲肼廢液在反應條件下氮元素主要以氮氣形式排放,550℃以上時排出液中氨氮、亞硝酸鹽氮濃度低于排放標準25mg/L、0.1mg/L,可以實現達標排放。

采用臭氧紫外光氧化或雙氧水氧化推進劑偏二甲肼廢液易產生亞硝基二甲胺(NDMA)和甲醛毒性物質,本試驗多次排出液中未檢測出NDMA,穩定運行過程甲醛含量低于標準2.0mg/L,實現了偏二甲肼廢液處理的無害化。
2.3 技術經濟分析
采用近臨界水處理偏二甲肼廢液比超臨界水氧化技術具有一定的經濟優勢,主要體現在裝置造價和運行費用。
(1)裝置造價。
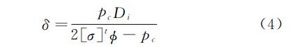
根據《固定式壓力容器安全技術監察規程》(TSGR0004-2009)中關于壓力容器等級劃分標準,運行在10~100MPa范圍的壓力容器屬于高壓容器范疇,偏二甲肼廢液的近臨界水氧化處理裝置屬于高壓反應器;根據《壓力容器》(GB150.1~150.4-2011),當pc≤0.4[σ]tφ時,壓力容器設計計算壁厚公式如式(4)所示:

式中δ———反應器計算壁厚,mm;
pc———計算壓力,MPa;
Di———反應器內徑,mm;
σ———試驗溫度許用壓力,MPa;
[σ]t———設計溫度許用壓力,MPa;
t———設計溫度,℃;
φ———焊接接頭系數,一般取1.0。
該反應系統運行溫度一般為550~570℃,按照最高運行溫度不超過610℃設計計算,根據《壓力容器》規定,計算此溫度下的設計溫度許用壓力[σ]t為74.6MPa,試驗處理高濃度有機廢液時超臨界水氧化運行壓力一般為22.5~29.5MPa,本研究中運行壓力一般為18~21MPa,均符合上述公式使用條件。按照反應器長1.6m、內經Di為88mm時,計算結果如表6所示。

近臨界水氧化設備造價比超臨界水氧化設備造價有一定的降低,主要從3個方面體現:①由表6計算結果可知,當反應壓力從29.5MPa降低到近臨界水氧化的21MPa時,反應器的壁厚減薄至原來的68%(一般至少可以減薄80%),反應器外徑減少為原來的88%,反應器是系統的核心單元,根據設計加工經驗反應器單元的造價占系統總造價的50%~70%,系統運行壓力降低后,預熱器和冷卻器壁厚均降低,從而可以節省設備用材;②反應壓力降低后可以減弱對系統的腐蝕,使設計中反應器、預熱器、冷卻器的腐蝕裕量減小,從而可以節省設備用材;③管道、閥門、壓力和溫度監控儀的工作壓力下降,也可以降低設備選型造價。因此設備系統綜合造價可以降低約20%。
(2)運行費用。
降低工作壓力后,系統的廢液泵和氧化劑泵的額定功率下降,可以減小運行費用和能耗。采用較低壓力的近臨界水氧化運行條件可以減小反應器的投資,減緩反應器的腐蝕,節省運行能耗,根據實驗室多套反應器的設計和運行經驗估算,采用近臨界低壓反應器比超臨界水氧化反應器節省投資約20%。
3、結論
(1)在實驗室前期間歇試驗基礎上,采用連續流氧化裝置進行了驗證確認試驗,為了實現排出液中氨氮指標達標,近臨界水氧化高濃度偏二甲肼廢液的工藝條件為T=550~570℃,P=20MPa,氧氣投加比為1.2∶1~1.5∶1,連續流試驗結果表明:原液COD為82800mg/L時,降解后COD去除率大于99.98%、TC、TOC去除率均大于99.5%,甲醛、亞硝酸鹽氮、氨氮等多項指標滿足排放標準要求。
(2)偏二甲肼中碳元素主要轉化為CO2,氮元素主要轉化為N2,避免了亞硝基二甲胺(NDMA)和甲醛毒性物質的生成,實現了廢液無害化和無機化。
(3)低于水的臨界壓力條件下運行,可提高廢液處理過程運行安全性,降低反應器的設計壁厚,降低設備投資和運行成本。該研究為偏二甲肼廢液的無害化處理工程應用奠定了基礎,可推廣應用于偏二甲肼生產和使用過程產生的廢液處理中,可以解決生產企業污染物排放不達標導致停產的難題。(來源:北京特種工程設計研究院)


