近年來, 環境中微量有機污染物(OMPs)的賦存及遷移轉化引起國內外學者的廣泛關注, 這些有機污染物種類復雜, 如抗生素、止痛藥、避孕藥、鎮靜藥、殺菌劑、除草劑、阻燃劑等.而城市污水廠是OMPs向環境中遷移的重要途徑, 這些物質在污水中的濃度雖低(μg ·L-1或ng ·L-1級濃度水平), 但排放到水體后產生累積效應, 從而對水環境生物及人體健康造成潛在的危害.現有污水廠多采用活性污泥處理工藝, 大量研究表明活性污泥法處理工藝對大部分OMPs去除效果不佳, 因此增加污水深度處理是強化削減污水中OMPs的可選方案.
臭氧工藝具有優良的水質凈化效果, 從而被廣泛應用于污水消毒、氧化分解難降解有機物.臭氧和有機分子反應主要基于直接反應和自由基反應, 在臭氧分解過程中會誘發產生羥基自由基, 而自由基反應被認為是快速高效的氧化途徑. OMPs化學結構復雜, 其在臭氧過程中的氧化規律研究仍不完善.有研究表明, 污水中OMPs在臭氧過程中的去除效果和二級反應速率常數有密切關系.由于二級反應速率常數測定過程復雜, 而從分子結構角度解析OMPs在臭氧過程中的去除有助于了解臭氧反應本質.此外, 由于OMPs種類規模巨大, 僅根據選定的污染物評價水質安全具有片面性.臭氧在與出水有機物反應過程中會產生大量未知副產物, 其水質毒性水平未知.而SOS/umu遺傳毒性試驗是水質遺傳毒性分析的ISO標準方法, 其在污水水質安全性評價方面具有重要應用價值.因此, 采用生物毒理試驗作為化學分析指標的補充, 對于水質風險評價具有重要意義.
本文以厭氧/缺氧/好氧工藝聯合臭氧(AAO-O3)作為研究對象, 通過考察14種OMPs在AAO-O3過程中的降解行為, 分析OMPs在活性污泥系統中的去除途徑, 并從分子結構角度探究臭氧氧化過程中OMPs的降解機制, 此外通過遺傳毒性實驗得到更加綜合直觀的水質安全數據, 對污水深度處理出水的水質安全保障具有重要意義.
1 材料與方法1.1 儀器與試劑
超高效液相色譜串聯質譜儀(2777C-ACQYITY UPLC-XevoTM TQ MS, Waters公司, 美國); 臭氧發生器(HY-003-20A, 廣州佳環, 中國); 酶標分析儀(RT-6000, 深圳雷杜, 中國); 分光光度計(T6, 北京普析, 中國); Oasis HLB萃取小柱(6 CC 200 mg, Waters公司, 美國); AAO系統及臭氧反應裝置由哈爾濱工業大學儀器設備有限公司加工制作. 14種OMPs標準品:諾氟沙星(NOR)、卡馬西平(CBZ)、恩諾沙星(ENR)、金霉素(CRT)、磺胺甲嘧啶(SMZ)購自美國藥典U. S. pharmacopeial Convention; 磺胺甲惡唑(SMX)、布洛芬(IBP)、阿替洛爾(ATL)、苯扎貝特(BF)、吉非羅齊(GFZ)、萘普生(NPX)、土霉素(OTC)購自美國sigma-aldrich公司; 咖啡因(CFF)購自日本Wako公司; 阿特拉津(ATZ)購自中國Energy Chemical公司.
1.2 實驗方案及反應裝置
AAO反應器進水采用模擬污水(生活污水:人工配水為1:1), 其中生活污水取自哈爾濱工業大學家屬區, 人工配水中葡萄糖為0.30 g ·L-1、乙酸鈉為0.13g ·L-1、氯化銨為0.20g ·L-1、碳酸氫鈉為0.46 g ·L-1、磷酸二氫鈉為0.04g ·L-1、硫酸鎂為0.05g ·L-1、氯化鈣為0.01 g ·L-1.同時在進水水箱中投加14種OMPs母液(200 mg ·L-1), 每種目標物的投加濃度約為20μg ·L-1.
反應器連續運行70 d, 每隔3~5 d取樣分析常規指標.為評價AAO-O3對OMPs的降解能力, 在反應器運行穩定后期, 每隔1 d收集二級出水進行臭氧實驗, 并對模擬污水、二級出水和臭氧出水進行OMPs及遺傳毒性分析.樣品分析為一式兩份, 通過Microsoft Excel 2010計算每次測試結果的均值及方差.為便于歸納分析, OMPs濃度以3次測試結果的綜合均值及方差形式給出, 遺傳毒性以每次測試結果均值及方差形式給出.
實驗裝置如圖 1, 活性污泥法采用AAO小試裝置, 設計流量為2 L ·h-1, 其中厭氧區、缺氧區、好氧區的水力停留時間分別為3、3、9 h.硝化液回流比為200%, 污泥回流比為100%.污泥齡及污泥濃度分別約為18 d和3000 mg ·L-1.
圖 1
(a)AAO系統; (b)批次臭氧裝置圖 1 實驗裝置示意
臭氧批次實驗在玻璃柱中進行, 高度0.8 m, 內徑為6 cm, 有效容積2 L.實驗前二級出水首先經過0.45 μm玻璃纖維濾膜去除懸浮物以避免干擾.臭氧發生器采用空氣源, 由玻璃轉子流量計控制氣體流量為500 mL ·min-1, 通過10 μm孔徑鈦制曝氣頭將臭氧分散到水中.控制氣態臭氧濃度為5 mg ·L-1, 在20℃室溫下反應5 min, 反應結束后關閉臭氧發生器, 繼續曝氣10 min去除殘余臭氧, 二級出水中臭氧投加量為6.25 mg ·L-1.實驗結束后收集水樣并固相萃取進行后續分析.
1.3 OMPs分析1.3.1 水樣預處理
本實驗選取的14種OMPs是基于環境檢出頻率和物化性質.由于污水中的OMPs濃度很低, 需要固相萃取, 步驟如下:水樣收集后, 首先經過0.45 μm玻璃纖維濾膜去除懸浮物, 濾膜不會對OMPs的萃取產生明顯影響[5, 20].首先用5 mL甲醇和10 mL超純水依次活化小柱, 然后水樣酸化至pH為2.5過萃取柱.其后萃取柱經過真空干燥2 h后, 用10 mL甲醇洗脫小柱, 收集樣品用氮吹儀吹干, 加入1 mL甲醇, 渦旋振蕩混勻.取0.5 mL樣品過0.22 μm濾膜后進行OMPs分析, 然后將剩余0.5 mL樣品用氮氣吹干, 然后溶解于0.5 mL二甲基亞砜進行遺傳毒性分析.
1.3.2 液質分析
采用ACQUITY UPLC BEH C18色譜柱(2.1×50 mm, 1.7 μm)進行OMPs分離, 超高效液相色譜串聯質譜儀進行分析.液相方法和質譜條件分別見表 1和表 2.
表 1 液相梯度洗脫程序1)
表 2 OMPs分析的質譜條件
1.3.3 質量控制與保證
實驗用的色譜瓶、瓶蓋及玻璃內插管在使用前經過無水乙醇與超純水分別超聲處理30 min, 并沖洗3次, 烘干待用.玻璃內插管一次性使用, 以避免受樣品交叉污染.方法的質量控制與保證包括樣品空白、樣品平行分析、加標回收率.以3倍和10倍信噪比的檢測濃度分別定義為方法檢出限和定量限.采用外標法進行定量分析, 標準曲線濃度范圍為0~1 mg ·L-1, 回歸方程線性良好, 詳見表 2.
1.4 常規指標分析
水中和氣態臭氧均采用靛藍法測定.
1.5 遺傳毒性實驗
遺傳毒性采用SOS/umu實驗方法, 參照《ISO 13829-2000》進行.受試菌種為鼠傷寒沙門菌TA1535/pSK1002, 由清華大學提供.實驗樣品不經過S9處理, 以4-NQO為陽性對照, 經換算后以4-NQO當量濃度計.
2 結果與討論2.1 AAO系統中常規指標的變化
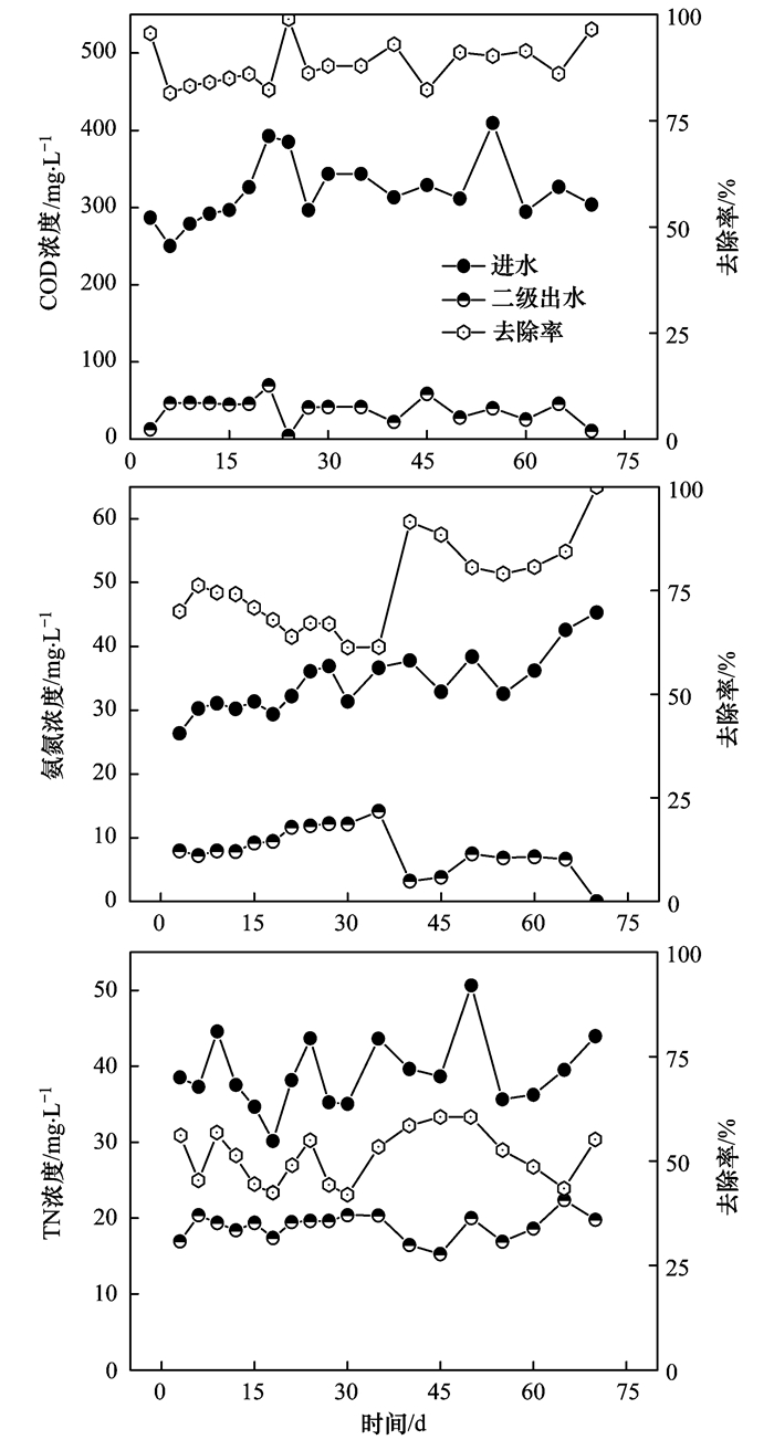
AAO反應器連續運行2個月以上, 期間監測進出水的COD、氨氮和總氮來評價AAO反應器的運行狀態.由圖 2可知, 進水的COD濃度大概在250~400 mg ·L-1之間, 氨氮濃度在25~45 mg ·L-1之間, 總氮濃度在30~50 mg ·L-1之間, 這與實際污水廠進水的各項指標濃度基本一致.在反應器運行期間, 二級出水COD濃度在50 mg ·L-1左右, COD去除率約為90%.結果表明AAO反應器運行效果良好, 處理工藝可有效去除污水中大部分有機物.二級出水氨氮濃度在10 mg ·L-1左右, 反應器運行后期氨氮去除率達到75%以上.出水總氮均值為20 mg ·L-1, 去除率在50%左右, 說明反應器的硝化及反硝化作用正常.各項常規指標表明, 反應系統運行正常, 這對于后續的評價OMPs生物降解作用和遺傳毒性的削減提供了穩定的條件.具體聯系污水寶或參見http://m.bnynw.com更多相關技術文檔。
圖 2

圖 2 AAO反應器運行期間進出水COD、氨氮和總氮的變化
2.2 OMPs在AAO-O3中的去除
為保證組合工藝對OMPs去除效果的重現性, 實驗期間進行了多次取樣分析.本文選取的14種OMPs按照藥物種類分為:抗生素類藥物、抗炎藥、降血壓血脂藥及其他類藥物.
2.2.1 OMPs在AAO工藝中的去除
OMPs在AAO系統中的去除效果見圖 3.在抗生素類藥物中, NOR、ENR、SMX、SMZ在AAO系統中的去除率低于50%, 這類抗生素屬于難生物降解有機物.而CRT和OTC去除率大于90%, 傳統活性污泥法可有效去除這類抗生素, 這與以AAO工藝為主體的污水廠調研結果相一致; 抗炎藥NPX的去除率為83%, 說明NPX較容易通過活性污泥法去除, 而IBP的去除率僅為12%.最近一項研究表明IBP和NPX在污泥系統中均表現出較高的去除率, 這可能與處理系統的運行工況有關; 降血壓血脂藥中, ATL和BF去除率分別為63%和74%. ATL在不同的報道中去除率有很大波動(介于0%~85%), 主要由于OMPs在生物處理系統中的去除效果受到pH、水溫、污泥菌群結構等眾多因素的影響. GFZ的去除率為14%, 在二級出水的監控過程中應重點關注; CBZ被廣泛認為是一種難生物降解藥物.在本研究中CBZ在AAO中的去除率約為16%. CFF是一種易生物降解物質, 本研究中CFF在AAO中的去除率為96%. ATZ被全球公認為持久性有機污染物的一種, 因此近年來被廣泛報道. AAO系統中ATZ較低的去除率也驗證了其難生物降解特性.
圖 3
圖 3 OMPs在AAO中的去除效果
2.2.2 臭氧工藝中OMPs的去除
多數OMPs在AAO工藝中不能得到有效去除, 臭氧氧化可有效削減殘余藥物.由圖 4可知, 大部分抗生素在臭氧過程中有效去除, 然而CRT去除率相對較低, 僅為31%;而抗炎類藥物NPX和IBP, 去除率分別為50%和80%, 得到部分氧化降解; 降血壓血脂類藥物ATL和GFZ去除率均為96%, BF去除率為85%, 臭氧氧化作用顯著; CBZ在臭氧過程中幾乎完全去除(去除率達到99%), 而CFF和ATZ部分去除, 分別為75%和23%.
圖 4
圖 4 OMPs在臭氧過程中的去除效果
二級出水中含有大量出水有機物及還原類物質, 因而影響OMPs的臭氧降解過程.臭氧分子與OMPs分子間的作用主要通過親電加成作用, 有機分子中的不飽和鍵或芳香性基團存在較大的電子云密度, 易于收到臭氧分子的攻擊.由于大部分酚類、苯胺類有機物和臭氧反應速率高于4 L ·(mol ·s)-1(見表 3), 因而反應在很短時間內完成.二者之間的反應屬于分子間直接作用, 出水有機物在這個過程中并不會造成明顯影響.而出水有機物對于OMPs的臭氧氧化影響主要表現在間接反應過程中.臭氧在消耗的過程中會誘發生成HO ·, HO ·與有機分子有非常強的反應活性且無選擇性.因此, HO ·的生成量制約著無臭氧反應活性的OMPs的去除效果.據Cai等[30]的研究發現二級出水有機物對于臭氧氧化過程中自由基反應存在3種影響機制:誘發作用、抑制作用、促進作用.在臭氧反應初期會產生大量HO ·(濃度高于10-10mol ·L-1), 但隨著反應時間迅速降低. HO ·的“先升后降”現象正是受到出水有機物和還原性物質的作用而導致的.本研究中IBP、ATZ、CFF和臭氧反應速率很低, 但在臭氧過程中仍表現出一定程度的去除效果, 這應該歸功于臭氧過程中的自由基反應.
2.2.3 組合工藝中OMPs的去除效果
由圖 5可見, AAO-O3對12種OMPs的去除率達到90%以上, IBP去除率為82%, ATZ去除率僅為11%, 因此在水處理過程中應重點加強ATZ的監測與防控.活性污泥法處理工藝聯合臭氧深度處理可有效保證出水中大部分OMPs的去除.然而OMPs的去除率也與其在進水中的濃度有關, 據報道在污水廠進水中OMPs的濃度一般低于1 μg ·L-1, 在保證去除率為90%時, 出水中OMPs低于10ng ·L-1, AAO-O3組合工藝可以大大削減污水中OMPs向水環境中的釋放.
圖 5
圖 5 OMPs在組合工藝中的去除效果
2.3 OMPs的去除機制分析
本研究從活性污泥處理法和臭氧氧化兩方面, 分別對OMPs在AAO系統中的去除途徑及臭氧過程中的氧化機制進行討論.
2.3.1 OMPs在活性污泥系統中的去除途徑分析
OMPs在活性污泥法處理工藝中的去除途徑主要有污泥吸附和生物降解.
OMPs在污泥表面的吸附能力主要和二者的界面特性有關, 如固-水分配系數(Koc). 表 3中列出了14種OMPs的lgKoc值, lgKoc值越大表明OMPs在固體表面的吸附量越大, 從而更傾向于向污泥表面遷移. CBZ、GFZ、BF、IBP、ATZ的lgKoc值大于2, 說明這幾種OMPs通過污泥吸附去除效果較為顯著; SMX、SMZ、NPX、ATL、CFF的lgKoc值介于0.5~2之間, 說明其通過污泥吸附去除效果輕微; CRT、OTC、ENR、NOR的lgKoc值小于0.5, 說明其在污泥表面吸附不佳.但是由于大多OMPs在不同pH環境中存在不同的解離狀態, 因此僅用lgKoc值來評價OMPs的吸附存在片面性.
表 3 OMPs的臭氧二級反應速率和固-水分配系數
OMPs在生物系統中的降解不僅與其物化性質有關, 而且還受到AAO工藝運行條件的影響.通過對大量研究總結發現, OMPs在活性污泥系統中的吸附作用和生物降解作用之間沒有明確的比例界限.此外在實際污水廠的取樣過程中, 存在水質波動、懸浮物吸附、分析誤差等眾多因素影響, 因此評價單獨OMPs的生物降解性存在一定難度.
2.3.2 OMPs在臭氧過程中的氧化機制
臭氧和芳香族有機物的反應速率很大程度受苯環上取代基的影響. 圖 6中展示了本研究中OMPs分子的芳香性基團(紅色部分), 根據取代基團的種類將14種OMPs分為:苯酚類、苯胺類、苯甲醚類及無活性基團化合物.
圖 6
圖 6 14種OMPs的分子結構及分類
CRT和OTC含有酚羥基(—OH), —OH是強供電子取代基而增加其反應活性. OTC在臭氧過程中去除率為85%, 很好地解釋了分子結構與去除效果之間的聯系.然而CRT去除率僅為31%, 應該受苯環上的氯代基團(—Cl)的吸電子作用影響, 降低了CRT與臭氧的反應速率從而導致其去除效果減弱; NOR、ENR、SMX、SMZ、CBZ均含有苯胺基(—NH2).這類有機物和臭氧反應受pH影響很大, 在—NH2處于去質子狀態時(中性), 與臭氧反應活性最高.而在—NH2處于質子化狀態時(解離), 幾乎不與臭氧發生反應.由圖 4可知, 這5種物質在臭氧過程中去除率均高于90%, 由于二級出水的pH趨于中性, 這主要歸功于去質子化—NH2的臭氧氧化作用; 苯甲醚類有機物的活性基團是甲氧取代基(—OCH3), 在苯環伯仲位置的—OCH3會提高與臭氧的反應活性.本研究中苯甲醚類有機物的二級反應速率介于2.77~5.69L ·(mol ·s)-1.由于—OCH3不存在解離態, 因此這類有機物與臭氧的反應不會受pH影響; CFF、ATZ、IBP的分子結構中不含有與臭氧反應的活性基團, 因此表現出較低的二級反應速率[0.82~9.6 L ·(mol ·s)-1].這類有機物很難通過單獨臭氧氧化進行去除.
OMPs在臭氧過程中的去除效果與臭氧反應的二級反應速率常數有關.由圖 7可見, OMPs二級反應速率與其去除率呈正相關, 由于二級反應速率受到反應體系的pH及出水有機物的影響存在離散值(ATZ、NPX、OTC).而對于選定的10種OMPs, 二級反應速率常數與去除率線性良好(R=0.92), 可以有效預測并解釋OMPs在臭氧過程中的去除機制.
圖 7
圖 7 OMPs的二級反應速率常數和去除率之間的相關性
2.4 AAO-O3對遺傳毒性的削減
遺傳毒性指標可以綜合表征污水中有機物的環境風險.由圖 8可知, 人工模擬污水的遺傳毒性(以4-NQO計, 下同)為(41.9±1.6) μg ·L-1, 二級出水的遺傳毒性為(28.4±2.1) μg ·L-1, 平均去除率為32%, 低于尹子華等研究的多級AO工藝對遺傳毒性的去除率(83%).二級出水對于水環境的遺傳毒性風險水平依然較高, 據報道污水廠再生水與地表水的遺傳毒性水平一般在10~102 μg ·L-1之間, 這對水生生物造成潛在風險.臭氧投加量為6.25 mg ·L-1時, 出水的遺傳毒性急劇下降到(0.6±0.3) μg ·L-1(接近于檢測限0.1 μg ·L-1), 去除率達到98%, 表明臭氧對于削減污水的遺傳毒性效果顯著, 該結果與前人的研究結論一致.最近一項研究表明污水有機物的光譜學指標可以很好地指示出水有機物遺傳毒性的變化, 而OMPs造成的遺傳毒性風險仍是不可忽視的重要因素, 在今后的研究中也應作為重點研究對象.
圖 8
圖 8 組合工藝中遺傳毒性的削減
3 結論
(1) AAO工藝對于部分易生物降解類OMPs去除率大于90%, 如CRT、OTC和CFF, 而對于大部分OMPs去除效果不佳; 臭氧氧化工藝對大部分OMPs去除率可達到90%以上. ATZ、CRT、NPX在臭氧過程中較難氧化去除. AAO-O3組合工藝可以有效控制OMPs的泄漏風險.
(2) 通過對OMPs的分子結構分析, 芳香性結構中含有—OH、—NH2和—OCH3 3種取代基的OMPs臭氧氧化效果顯著, 而無芳香性結構的ATZ、CFF、IBP則在臭氧過程中去除效果一般. OMPs與臭氧的二級反應速率常數與其在臭氧過程中的去除率存在較好的正相關性, 從分子結構和反應速率常數角度解析OMPs在臭氧過程中的去除規律具有可行性.
(3) 污水和二級出水遺傳毒性水平較高, 活性污泥法對于遺傳毒性有一定的削減效果, 但二級出水仍表現出較高的遺傳毒性.臭氧氧化可以大大降低二級出水的遺傳毒性, 從而減輕污水廠出水的環境風險.(來源:環境科學 作者:李默)












