截至2016年,我國1 940個地表水國考斷面中低于Ⅲ類地表水水質的斷面占32.3%,河流污染問題依然突出。對于城市納污河道而言,城市市政排水為其徑流的主要組成部分,盡管在經過提標改造后污水廠出水水質有所提高,但是其所含污染物依然嚴重威脅著河流的水質及其生態安全。相對于其他河流水質修復技術而言,人工濕地具有低成本、易運行、具有較高的藝術審美價值、能對河流進行原位修復等優點,逐漸成為了改善河流水質的優先選擇。賈麗娜等通過構建河灘與淋濾式疊加濕地處理合肥塘西河河水,濕地系統對總氮、氨氮、總磷、COD和葉綠素a的去除率分別達到了61.09%、90.58%、58.81%、33.23%和70.26%。而XIE等則發現濕地在夏季對氮的去除效果(TN 50.8%,NO3−-N 57.7%)明顯好于冬季(TN 5.9%,NO3−-N -3.2%)。相對于表流人工濕地而言,潛流人工濕地的負荷率高、占地面積較小、處理效果更為穩定,能夠更好地隔絕氣味和抑制蚊蠅。因此,針對潛流人工濕地的研究逐漸增多,在工程上也得到了日益廣泛的應用。
人工濕地對各類污染物的去除主要是通過濕地中基質、植物和微生物間的物理、化學和生物作用完成的。針對人工濕地對各類污染物的凈化機理,國內外學者做了大量的研究。劉紅美等通過研究不同基質人工濕地對污染物的降解規律,發現基質種類是影響人工濕地降解污染物的重要因素;BARCO等研究發現植物(蘆葦和黃菖蒲)具有較好的氮磷富集能力;常軍軍等通過脂肪酸甲酯圖譜分析了人工濕地中的微生物群落結構,發現微生物對人工濕地的污染物凈化功能至關重要。但是現有的研究大多集中于揭示單一組成成分對人工濕地凈化特性的影響機制,缺少對人工濕地中基質、植物和微生物作用的綜合分析。因此,為了系統地分析人工濕地對污染河水的凈化機理,實驗通過構建實驗室規模和中試規模2種尺度的人工濕地,在不同尺度條件下,系統分析了潛流人工濕地中基質、植物和微生物對污染河水的凈化作用,以期為提高人工濕地對污染河水的凈化效果提供技術支撐。
圖1 不同尺度潛流人工濕地示意圖
1 材料與方法
1.1 人工濕地系統的構建與運行
實驗室規模人工濕地位于西安建筑科技大學校內,采用15 mm厚的有機玻璃構建,濕地長×寬×高為0.55 m×0.55 m×0.80 m(圖1(a)),濕地填料為5~30 mm 的爐渣,鋪設高度60 cm,濕地種植植物為蘆葦(13株·m−2)。中試規模人工濕地位于西安市皂河入渭河口(圖1(b)),濕地長×寬×高為17 m×20 m×0.80 m,濕地填料為1~70 mm的爐渣,鋪設高度60 cm,濕地種植植物為蘆葦(9株·m−2)。2組人工濕地中所種蘆葦取自皂河河灘,爐渣基質取自皂河附近電廠。2組人工濕地進水均為皂河河水,水力負荷均為0.1 m·d−1,其中中試濕地現場抽取河水進入濕地,實驗室規模濕地在中試濕地取水處取水待用。2組人工濕地均為水平潛流人工濕地,水位維持在基質表層以下10 cm,河水水平流經人工濕地,在濕地前端和后端分別采用大粒徑碎石作為布水區和集水區,優化系統運行。
1.2 基質的磷吸附特性分析
準確稱取2 g經過研磨過篩(0.5~1.0 mm)、清洗和干燥后的爐渣于150 mL的錐形瓶,加入由0.02 mol·L−1 KCl配制的磷濃度為5 mg·L−1的KH2PO4溶液50 mL,置于溫度為(25±1) ℃、轉速為150 r·min−1的恒溫振蕩器中振蕩0.5、1、2、4、6、8、10、12、16、24、48 h。振蕩后測其pH,上清液經0.45 μm膜過濾后測其磷濃度。基質的表面和元素特性采用掃描電鏡(SEM)測定。
1.3 微生物特性分析
對2組人工濕地中的基質進行取樣,沿對角線設5個采樣點,分3層采樣,然后將各層采集的基質混勻后做為基質樣品。在采集基質的同一位置采集根,同樣將其混勻做為植物根樣品。將采集好的樣品分別置于滅菌的燒杯中,加入滅菌的去離子水50 mL,超聲清洗15 min后收集到滅菌的離心管中,離心10 min后棄上清液,取其沉淀保存在−80 ℃冰箱中。采用Power Soil DNA Isolation Kit(MO BIO Laboratories Inc.)試劑盒從土壤樣品中提取DNA,并保存在-20 ℃冰箱中。
聚合酶鏈式反應(PCR)反應條件:采用PCR通用引物對,即BAC 338F (5'-ACTCCTACGGGAGGCAG-3')和BAC 805R (5'-GACTACCAGGGTATCTAATCC-3'),用ABI Veriti梯度PCR儀對樣品進行擴增。PCR反應條件和凝膠電泳(DGGE)方法參考熊家晴等[11]的實驗方法。采用AIpha-HP凝膠成像儀照相。將變性梯度凝膠中每個位置的代表條帶用無菌刀切下,裝入1.5 mL離心管中,40 μL無菌去離子水反復沖洗2次,在4 ℃浸泡過夜。將其上清液進行PCR擴增,所得 PCR產物與PMD19-T載體連接,克隆按照制造商的方案進行。將克隆產物送Sangon Biotech公司測序,采用BioEdit軟件編輯組合16S rDNA基因序列,并在Nucleotide Blast與GenBank數據庫進行比對。通過軟件MEGA 6分析所測得的序列,Bootstrap值設置為1 000。
1.4 化學分析
在為期8個月的實驗周期內,每周對2組人工濕地的進出水進行取樣分析,其中總氮(TN)、氨氮(NH4+-N)、硝氮(NO3−-N)、亞硝氮(NO2−-N)、總磷(TP)、化學需氧量(COD)、生化需氧量(BOD) 和懸浮固體顆粒(SS)的分析測定均按照文獻中的方法[12]測定。2組濕地中的植物進行收割時均保留其基質上10 cm的莖稈,收割后植物樣品中的氮、磷含量采用H2SO4-H2O2消解法[13]測定。2組人工濕地的效果差異分析采用SPSS 20.0進行t檢驗,當P<0.05時,認為差異顯著。
2 結果與分析
2.1 2種尺度人工濕地對污染河水的凈化效果
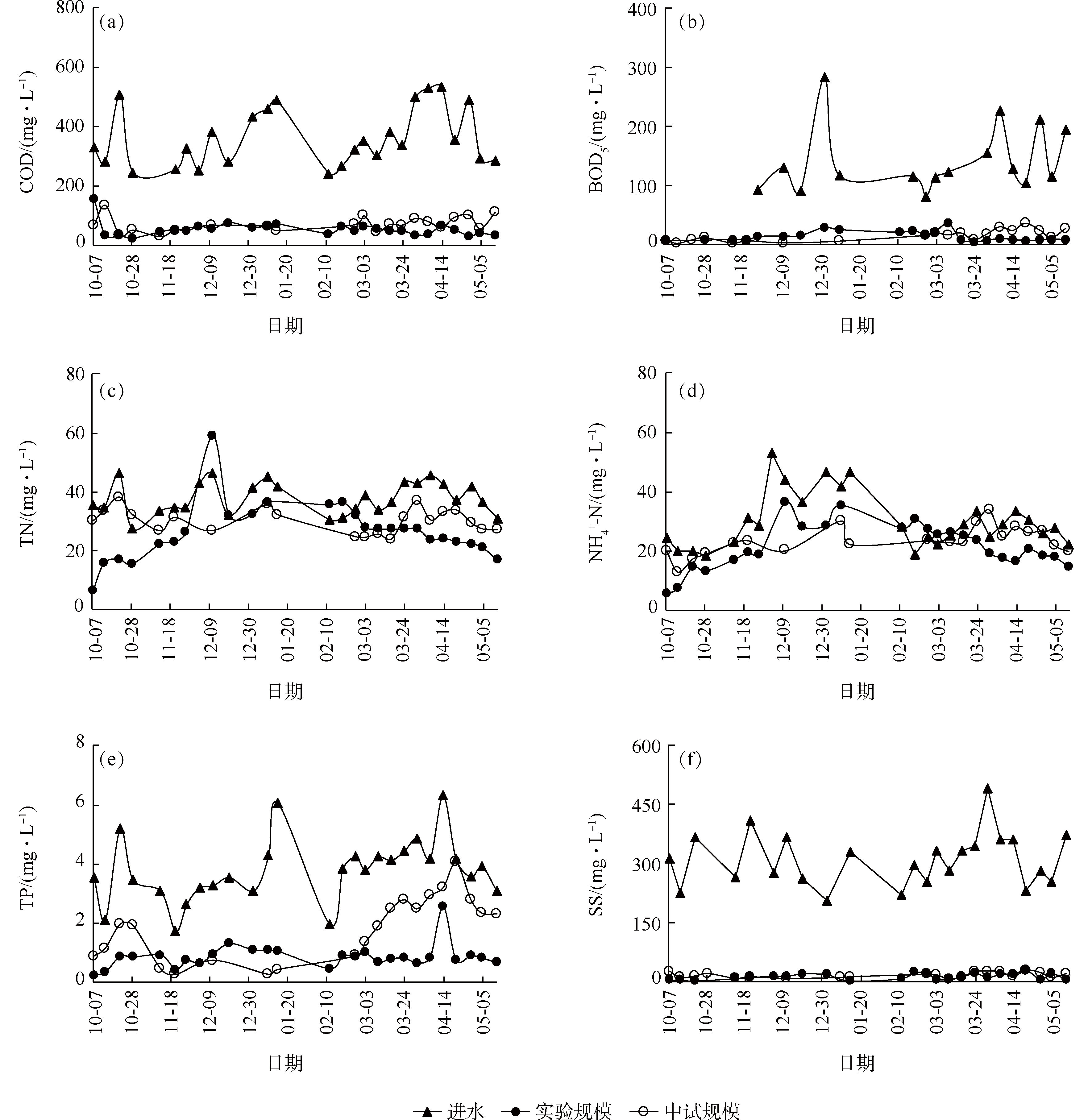
皂河在西安市城區內,長約27 km,流域面積約300 km2,近年來,由于氣候干旱及上游截流,皂河水量明顯減少。現在皂河主要作為西安市的納污河道,在缺少新鮮水水源補給的情況下,污水廠出水及沿岸排入污水成為其主要的補水水源。實驗期間,皂河河水的COD、BOD5、TN、NH4+-N、TP和SS平均濃度范圍分別為(363.48±97.52)mg·L−1、(142.64±56.92)mg·L−1、(37.89±5.45)mg·L−1、(30.10±9.29)mg·L−1、(3.78±1.08)mg·L−1和(308.47±67.74)mg·L−1,結果表明皂河河水污染嚴重,亟待對其水質進行改善。因此,實驗構建了不同尺度的2組人工濕地以解析人工濕地對污染河水的凈化機制,為污染水體的生態凈化提供技術支持。
表1 不同尺度潛流人工濕地的污水凈化效果
表1和圖2描述了2組人工濕地對河水的凈化效果,可以看出2組人工濕地對有機污染物的去除效果相近(P>0.05)。實驗室規模人工濕地對COD與BOD5的去除效果為85.29%和90.60%,中試規模濕地則為80.41%和89.99%(表1)。此外,從圖1(a)和(b)可以看出,在進水COD和BOD5濃度較高、波動較大的情況下,2組人工濕地出水中COD和BOD5 濃度在實驗期間均較為穩定。人工濕地對有機污染物的去除主要是通過基質和植物對水體中懸浮性有機污染顆粒的攔截、沉降以及隨之微生物分解作用完成的。2組人工濕地對COD和BOD5的降解差異表明,在水力負荷與水力停留時間相同、物理攔截作用相似的條件下,2組濕地中的微生物特性的不同是造成這種差異的主要原因。
從表1可以看出,在進水河水中氨氮是總氮的主要組成部分。而且在實驗期間,2組人工濕地內都沒有出現硝氮和亞硝氮濃度的積累,所以2組人工濕地的脫氮效果主要依賴于其對氨氮的去除。從表1可以看出,2組人工濕地對氨氮和總氮的去除具有顯著的差異(P<0.05),實驗室規模人工濕地對河水中總氮與氨氮的去除率分別為30.13%和28.05%,而中試規模則分別為20.27%和21.77%。此外,從圖2(c)和(d)還可以看出,2組人工濕地中總氮和氨氮的濃度具有相似的波動趨勢,都表現出了冬季濃度高,春秋季濃度低的特點。這說明溫度對于人工濕地的脫氮作用具有重要的影響,而人工濕地在夏季的高蒸騰作用也會輕微地增加濕地中污染物的濃度。2組人工濕地對磷的去除也具有顯著差異(P<0.05),實驗室規模人工濕地對磷的去除效果(76.89%)優于中試規模人工濕地(52.45%)(表1)。與氮不同的是,2組人工濕地內磷的濃度在春季都出現了不同程度的升高,這是因為在春季溫度升高后,濕地解凍造成的磷釋放(圖1(e))。人工濕地對氮的去除主要依賴于微生物的氨化、硝化、反硝化作用和植物的吸收作用,而對磷的去除主要是通過基質吸附、沉淀、微生物降解和植物的吸收完成。 因此,為了揭示造成2組濕地脫氮除磷效果差異的原因,需要對濕地內的基質特性、微生物和植物作用作進一步的研究。
從表1和圖2(f)可以看出,實驗室規模和中試規模人工濕地對SS去除效果相近(P>0.05),其對SS的平均去除率分別為95.86%和94.74%,而且在實驗周期內均較為穩定。污水與人工濕地中基質、植物根系及莖部的接觸程度是影響SS去除的主要因素,而2組人工濕地采用了相同的基質填料和運行方式,因此其對SS的去除效果較為相似。
圖2 不同尺度人工濕地進出水中污染物濃度變化
2.2 基質特性
2組人工濕地中的基質填料均為電廠爐渣。由掃描電鏡分析可知,爐渣的表面結構較為粗糙。此外,通過分析得到爐渣的比表面積為4.30 m2·g−1。因為基質填料作為人工濕地的結構骨架,不僅要為水生植物的生長提供支承,也要能為微生物的生長提供依附環境[17-18]。較為粗糙的表面結構表明,實驗所用爐渣能夠較好地促進人工濕地中植物和微生物的生長。表2列舉了實驗及其他研究中所用爐渣的主要氧化物成分,可以看出,鈣、鋁和鐵是構成實驗所用爐渣的主要元素,而且其含量特別是鐵含量,與其他研究對比也處于較高的水平。研究表明,富含鈣、鐵、鋁這3種元素的基質填料更有利于磷的吸附沉淀。而通過對爐渣的磷吸附動力學特性分析可知,爐渣的平衡吸附量為0.12 mg·g−1。結果表明,爐渣對磷具有良好的吸附性和吸附能力,在2組濕地具有相同水力負荷的條件下,污水與爐渣的接觸方式會顯著影響人工濕地對磷的去除效果。2組人工濕地中,污水與實驗規模人工濕地基質的接觸面積較大,進而提高了實驗室規模人工濕地對磷的吸附去除能力。具體聯系污水寶或參見http://m.bnynw.com更多相關技術文檔。
表2 爐渣的主要氧化物成分的質量分數
2.3 微生物特性
圖3為2組人工濕地內基質和植物根際樣品的總細菌群落16S rDNA片段的DGGE圖譜。可以看出,實驗規模人工濕地的基質樣本條帶數和根際樣本條帶數均比中試規模濕地的多,說明實驗室規模人工濕地的微生物群落多樣性更高。另外,DGGE圖譜中的條帶亮度與微生物數量相關。從圖3可以看出,實驗室規模濕地中所檢測到亮度較高的代表條帶有L1、L2、L3、L6、L9、L15、L16和L17,而中試濕地中所檢測到的代表條帶有P1、P3、P4、P9和P10,這些條帶指示菌分別為2組濕地中的優勢菌屬。
圖3 不同尺度潛流濕地樣品總細菌群落16S rDNA片段的DGGE圖譜
將變性梯度凝膠中與上述相應的條帶切下并進行克隆測序,得到其DNA序列(表3)。結果表明,2種尺度人工濕地都能檢測出不動桿菌屬細菌(Acinetobacter tjernbergiae)、脫氮硫桿菌(Thiobacillus denitrificans)和厚壁菌門細菌(Firmicutes),而實驗室規模濕地中則存在特有的優勢菌屬:黃桿菌屬(Flavobacterium sp.)、金黃桿菌屬(Chryseobacterium sp.)。對于人工濕地的不同組成元素而言,不動桿菌屬細菌主要存在于植物根際,這是因為不動桿菌屬包含能發生高效聚磷的聚磷菌,而聚磷菌在富集磷時需要好氧條件,根際的泌氧作用為其生成提供條件,因此主要附著在根際區。2組濕地中共有菌屬中的脫氮桿菌包含能發生硝化作用的硝化菌,也包含能發生反硝化作用的反硝化菌;脫硫菌和厚壁菌門細菌中的硫酸鹽還原菌除可脫硫外,也可降解有機污染物。此外,實驗室規模人工濕地所特有的黃桿菌和金黃桿菌在低氧或無氧條件下具有反硝化脫氮作用,同時也可以降解蛋白質、脂類、纖維素以及芳香烴類等高分子有機物。綜上可知,實驗規模人工濕地內具有優于中試濕地的微生物群落數和能夠降解有機物和氮的微生物種群,所以實驗室規模人工濕地具有更好的有機物和氮去除能力。
表3 不同規模濕地的16S rDNA測序結果
2.4 植物作用
植物作為人工濕地的重要組成部分,不僅能為微生物降解污染物創造好氧微環境,也能夠直接吸收去除水中的氮磷等污染物。表4描述了2組濕地中植物對氮磷的直接吸收去除作用,可以看出,中試規模和實驗規模人工濕地中的植物生物量分別為1.47 kg·m−2和1.12 kg·m−2,中試濕地中的植物的氮、磷吸收能力為43.95 g·m−2和4.24 g·m−2,而實驗室規模濕地中植物的氮、磷吸收能力為30.62 g·m−2和 3.15 g·m−2,中試規模濕地中的植物具有更好的吸收去除氮磷的能力。植物吸收氮磷的能力主要受植物生物量和植物組織中營養鹽濃度的影響。通過計算2組濕地對氮磷的單位去除量可知,中試濕地中的植物吸收在氮磷去除中所占的比例(TN 23.55%,TP 8.80%)也高于實驗室規模濕地(TN 11.03%,TP 4.46%),在2組濕地中,植物對氮去除的貢獻均大于對磷去除的貢獻。綜上可知,中試規模濕地中的微生物作用和基質作用均弱于實驗規模濕地,而植物的凈化作用則高于實驗規模濕地。WU等發現在實驗室規模的表流人工濕地中,蘆葦在TN和TP去除中所占的比例分別為14.29%和10.76%,而TANNER則發現蘆葦在濕地TN和TP去除中所占的比例為78.57%和38.05%。此外,結果還表明,中試規模的人工濕地能夠更好地為植物生長提供適宜環境條件,促進植物的生長,植物在濕地氮磷去除中的作用也更為重要(表 4)。而實驗期間,實驗室規模人工濕地卻表現出了更好的氮磷去除能力,綜合分析上述結果可知,相對于植物而言,潛流人工濕地對氮的去除更依賴于微生物作用,而對于磷的去除則更依賴于基質作用,但是如何更好地促進功能微生物在人工濕地內的富集則需要進行更進一步的研究。
表4 不同尺度潛流人工濕地凈化污染過程中植物的作用
3 結論
1)2組不同尺度人工濕地對SS、COD、BOD5去除效果相近(P<0.05),實驗室規模人工濕地的去除率分別為95.86%、85.29%和90.60%,中試規模人工濕地則分別為94.74%、80.41%與89.99%。2組人工濕地相同的填料種類和運行方式以及差異化的微生物特性是造成這一結果的主要原因。
2)2組人工濕地對氮的去除具有顯著的差異(P<0.05),實驗室規模人工濕地對河水中總氮與氨氮的去除率分別為30.13%與28.05%,而中試規模則分別為20.27%和21.77%。中試規模人工濕地中的植物具有更好的吸收去除氮的能力(43.95 g·m−2),而實驗室規模人工濕地的微生物群落多樣性和微生物數量更高,說明相對于植物吸收作用而言,微生物作用在人工濕地脫氮過程中的作用更為重要。
3)2組人工濕地對磷的去除也具有顯著差異(P<0.05),實驗室規模人工濕地對磷的去除效果(76.89%)優于中試規模人工濕地(52.45%)。中試規模人工濕地中的植物具有更好的吸收去除磷的能力(4.24 g·m−2),但潛流人工濕地中污水與基質接觸較為充分,在所用基質爐渣具有較好的磷吸附能力的前提下,基質吸附比植物吸收能夠更好地促進人工濕地對污水中磷的去除。
4)中試規模人工濕地中的微生物作用和基質作用弱于實驗規模濕地,而植物的凈化作用則較強。中試規模濕地能夠更好地為植物生長提供適宜環境條件,促進植物的生長。中試規模濕地的植物生物量為1.47 kg·m−2,而實驗室規模濕地則為1.12 kg·m−2,植物在中試濕地氮磷去除中的作用(TN 23.55%,TP 8.80%)也更高于實驗室規模人工濕地(TN 23.55%,TP 8.80%)。(來源:環境工程學報 作者:沈瑩)









