0引言
隨著國家《水污染防治計劃》的發布,對火電廠的用水和排水均提出了更高的要求,火電廠廢水零排放系統建設也逐漸成為火電廠廢水治理的發展趨勢。所謂嚴格意義的廢水零排放,主要是采取措施不向外界排出對環境有任何不良影響的水,進入電廠的水最終以蒸汽的形式進入大氣,或是以污泥等適當的形式封閉、填埋處置。本文針對不同類型火電廠廢水零排放技術路線進行比較分析,同時對技術路線制定和實施的影響因素進行了分析,并提出了相關建議。
火電廠廢水零排放的不同階段作為用水大戶的火電廠,實現廢水零排放應經過4個階段:
(1)用水流程優化配置;
(2)減少各用水系統外排水量,對于濕冷機組主要為減少循環水外排水量;
(3)廢水處理回用;
(4)末端廢水處置。
其中前3個階段可稱為深度節水階段,火電廠廢水零排放不同階段的投資及運行費用對比如表1所示。

由表1可見,火電廠廢水零排放不是通過簡單一種技術或工藝就可以實現,而應該是多種技術工藝的組合.且其實現應該根據各廠的
具體情況分步驟實施。隨著廢水零排放工作的逐步進行,其投資和運行費用越來越高,但節水效果卻越來越小。由于嚴格意義的廢水零排放實施難度大、成本高,目前國內只有極少數電廠建設了嚴格意義上的全廠廢水零排放系統。
2空冷電廠深度節水技術路線
2.1技術路線介紹
由于沒有循環冷卻水系統,與同容量的濕冷機組相比,不同等級單機容量的空冷機組節水率在65%~90%。對于空冷電廠來說,整體節水的空間較小,其建設廢水零排放系統的主要工作為全廠廢水的分類分級回收利用和全廠末端高濃度廢水的最終處置。
北方某空冷電廠(以下簡稱電廠A)采用循環流化床鍋爐,灰渣系統為干除灰干除渣。全廠產生的廢水主要包括輔機循環水排污水、化學車間排水(超濾反洗水、反滲透濃水、離子交換再生廢水)、預處理系統濾池反洗水、機爐雜排水及其他疏水等。由于各類廢水的水量較小,電廠A將以上廢水收集后進行統一處理,其工藝流程如圖1所示。

電廠A深度節水項目于2010年投運后,反滲透系統出水水質滿足設計要求,但由于石灰軟化系統設計和澄清池選型不當,石灰處理效果差,影響了后續離子交換設備的再生周期,從而使得系統整體自用水率高于設計值,外排廢水量較大。另外,為保證系統脫鹽率,反滲透進水pH值控制值較低,反滲透有機物和硅垢的污堵風險高,清洗周期較短。
2.2存在問題
綜合考慮電廠A的深度節水路線,主要存在以下問題。
(1)電廠A所產生的廢水中輔機循環排污水和反滲透濃水屬于高鹽廢水,其余如超濾反洗水、濾池反洗水、機爐雜排水和其他疏水均屬于低鹽廢水。離子交換系統產生的廢水根據再生的過程可分為再生置換階段的高鹽廢水和反洗正洗階段的低鹽廢水,其中低鹽廢水量占總廢水量的70%以上。上述低鹽廢水的主要污染物為懸浮物,其余水質指標均優于或等同于原水水質,該部分廢水可收集后直接返回預處理系統入口。若將高鹽廢水與低鹽廢水混合后再進行脫鹽,便增大了后續脫鹽處理系統的建設容量和設備運行壓力。
(2)電廠A深度節水工藝中設置了鈉床和弱酸離子交換設備,交換器在再生過程中均會由再生液引入新的離子,而該部分離子均會進入到最終全廠的末端廢水。目前電廠A將末端廢水作為灰庫拌濕和灰場抑塵用水,但這種利用方式受到干灰外售的影響,同時也不符合嚴格意義廢水零排放的要求。如果要對末端廢水進行固化處置,必然會大大增加末端廢水的處置成本。
3濕冷電廠深度節水技術路線
3.1工藝介紹
某濕冷火電廠(以下簡稱電廠B)裝機容量2x1000MW,其鍋爐補給水水源由循環水排污水供給,脫硫工藝水由循環水排污水和處理后的工業廢水供給,化學再生酸堿廢水供撈渣和輸煤系統使用。在電廠B的深度節水工作中,其主要重點在于循環水除供脫硫、化學等使用后仍有約220m3/h無法消化,需要進行處理后將淡水回用至循環水系統,通過提高循環水補水水質來提高濃縮倍率,從而降低循環水排污量和補水量。電廠B循環排污水處理工藝流程如圖2所示。

循環水排污水通過預處理系統去除大部分暫硬、部分有機物和硅后進入超濾、低壓反滲透雙膜處理系統。低壓反滲透系統的產水進入循環水系統,濃水進入高壓反滲透系統進一步脫鹽,最終濃水送至脫硫廢水處理系統的濃縮單元。
3.2存在問題
電廠B深度節水方案采用了低壓與高壓反滲透相結合的工藝,提高了系統的整體回收率,降低了后續高鹽廢水處置成本,但仍存在以下問題。
(1)由于循環水中含有大量的阻垢分散劑,混凝過程中需要投加大量的凝聚劑,整體運行費用較高,環保性較差。
(2)循環水經濃縮所增加的硬度值中,永硬比例一般在80%以上,而石灰處理主要去除暫硬,對總硬的去除效果較差.從而造成后續低壓反滲
透系統回收率較低,高壓反滲透系統總體建設規模較大。
(3)在沒有設置永硬去除工藝的情況下,低壓反滲透系統的濃水直接進入高壓反滲透系統后,高壓反滲透濃水側硫酸鈣的飽和度達到400%以上,雖然運行過程中投加阻垢劑,但系統仍存在較大的結垢風險。
4末端廢水固化處置技術路線
經過用水和排水規劃及梯級回用實現深度節水后,火電廠最終產生的無法消耗的末端廢水主要包括離子交換再生系統所排高鹽廢水和經過處理后滿足達標排放要求的脫硫廢水。由于全廠所有用水中的鹽分全部通過各種形式進入該部分廢水,其主要水質特點為含鹽量高且屬于硫酸鈣的飽和溶液,結垢傾向大,腐蝕性強。目前對該部分廢水主要有5種處置方式:
(1)直接蒸發結晶固化處理;
(2)濃縮后再進行蒸發結晶固化;
(3)噴入除塵器前的煙道進行蒸發;
(4)廢水經調質后在煙道外利用煙氣余熱進行蒸發;
(5)機械霧化蒸發。
這5種廢水處置方式均可實現火電廠末端廢水嚴格意義的廢水零排放,各種工藝的比較如表2所示。

由表2可見,前4種廢水處置方式均需要對廢水進行深度軟化預處理,減少廢水中結垢性離子含量,以降低后續處置設備結垢風險。深度軟化一般可采用NaOH+Na2C03聯合軟化工藝。第2種和第4種方式在深度軟化的基礎上還需要進行濃縮。研究表明,針對典型的脫硫廢水,微濾加反滲透的濃縮工藝可在回收率大于60%的工況下穩定運行。
第1種和第2種方式采用蒸發結晶作為廢水固化工藝,投資和長期運行費用較大,但可以回收部分冷凝水。第2種方式廢水經過濃縮可大大降低蒸發結晶系統的投資費用。
第3種和第4種方式充分利用了煙氣余熱,第3種廢水直接噴入煙道的固化方式有少量實際工程應用,但仍存在煙溫、煙道長度等多種影響蒸發過程的因素需要進一步研究核實,同時還會存在除塵器效率降低、電除塵系統腐蝕和鹽分在煙道沉降聚集等風險。第4種廢水調質后體外煙氣蒸發工藝既利用了部分煙氣余熱,同時又不會對主煙氣系統造成影響,但該方式產生的結晶鹽全部進入飛灰,是否會對飛灰的性能和對外銷售造成影響需要進一步研究。
第5種機械霧化方式投資小,便于建設與操作,但該工藝受氣象和環境因素影響較大,且占地面積大,不可控程度較高,霧化廢水噴入空氣中易造成二次污染。
5廢水零排放改造需考慮的因素
火電廠的用水排水系統貫穿全廠生產的大部分環節,因此在制定廢水零排放改造技術路線時還應該考慮以下相關因素。
5.1超低排放改造
根據國家相關規定,燃煤機組要在2020年以前全面完成超低排放改造。具體措施包括:
(1)低氮燃燒器改造或煙氣脫硝增加催化劑層;
(2)脫硫單塔雙循環或雙塔雙循環改造;
(3)低溫電除塵或濕式電除塵改造。其中脫硫增容改造和濕式電除塵器的安裝會增加廢水量,脫硝增容和低氮燃燒器改造不會增加廢水量。當進入脫硫塔入口煙溫降低后,機組濕法脫硫用水量將減少35%~40%,因此原本通過脫硫系統蒸發攜帶的部分廢水無法直接消耗,打破了全廠原有的廢水零排放體系。對于空冷和直流冷卻機組,可通過減少工業水補水量來實現新的水量平衡;對于濕冷機組,則需要對多余的廢水進行脫鹽或者通過提高循環水濃縮倍率的方式來實現新的平衡。
5.2脫硫工藝水水質及脫硫廢水水量
在火電廠廢水零排放改造方案實施過程中,通常要改變濕法脫硫工藝水用水水源,而脫硫工藝水主要作為除霧器沖洗水使用。一般認為沖洗水的硫酸鈣飽和度低于50%時可防止除霧器表面的結垢。如果廢水零排放設計方案中的脫硫工藝水的硫酸鈣飽和度不能滿足這一要求,則需要在工藝水的前處理工藝中增加降低鈣離子和硫酸根含量的相關措施。
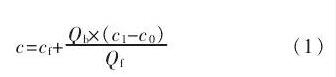
在保持脫硫廢水水量不變的工況下,脫硫工藝水源改變后脫硫廢水氯離子濃度可由下式進行估算。

式中:。為水源更換后吸收塔漿液氯離子質量濃度,mg/L;cf為水源更換前吸收塔漿液氯離子質量濃度,mg/L;Qb為吸收塔補水量,m3/h;c1為水源更換后工藝水氯離子質量濃度,mg/L;c0為水源更換前工藝水氯離子質量濃度,mg/L;Qf為脫硫廢水量,m3/h
根據計算結果,如水源更換后廢水氯離子濃度超出設計導則要求,則需要通過增加廢水的排放量來降低吸收塔漿液的氯離子濃度。因此,若脫硫工藝水源水質變化(主要考慮氯離子),脫硫廢水水質或水量也會發生變化。具體聯系污水寶或參見http://m.bnynw.com更多相關技術文檔。
5.3循環水系統的腐蝕與結垢
對于通過提高循環水濃縮倍率或者極限含鹽量來減少循環水排放量的廢水零排放系統,改造后循環水系統的鈣離子、硫酸根、氯離子等離子的濃度均相應增加,此時應通過經驗或試驗數據判斷循環水是否存在腐蝕或結垢風險,并將其作為制定廢水零排放方案的相關依據。需要注意的是,此處的腐蝕不僅需考慮換熱設備的腐蝕狀況,同時要考慮氯離子和硫酸根對鋼筋混凝土構筑物的腐蝕,以便采取必要的措施。
6技術路線制定相關建議
綜上,火電廠制定廢水零排放技術路線時應關注以下幾個方面。
(1)綜合考慮全廠各相關專業的情況,總體規劃,分步實施,尤其應重視深度節水階段的改造工作。深度節水階段的節水改造投資低,效益大,可為后續廢水零排放系統建設打下良好基礎。
(2)對于濕冷型火電廠,傳統觀念認為循環水系統設計中濃縮倍率控制在3~5較為經濟,濃縮倍率再提高對節水能力貢獻有限。但隨著廢水零排放要求的逐步實施,由于后續末端廢水處置成本高昂,如果可以通過進一步提高濃縮倍率以使循環水系統排污量與下游廢水消耗量直接匹配,則循環水系統不向外排放廢水,即可以大大降低廢水零排放建設成本,這一點對于原水水質較好的電廠尤為重要。如廣東某電廠原水鹽分質量濃度僅為75.9mg/L,通過合理藥劑選擇,該廠將循環水濃縮倍率直接提升至10.5,實現了排污水量與下游脫硫用水水量相匹配。
(3)火電廠進行節能改造后進入脫硫塔的煙溫降低,造成煙氣蒸發水量減少,但部分電廠由于要保證除霧器沖洗水量,脫硫塔仍大量補水,從而造成脫硫廢水量增加,最終增加末端廢水處置的成本。因此,火電廠在進行節能改造方案制定時的經濟性分析也應充分考慮由于末端廢水增加而增加的建設成本和運行費用,從而對節能改造方案的經濟性做出準確評估。
(4)隨著機組負荷的變化,火電廠的水平衡是動態的而不是靜止的,因此廢水零排放方案也應充分考慮機組在不同負荷條件下的工況,同時在廢水零排放水平衡體系設計中需考慮充分的余量,以確保廢水零排放目標的實現。
7結語
水系統貫穿火電廠生產過程始終,因此火電廠廢水零排放是一項系統工程。本文研究結果表明.對于火電廠零排放技術路線.應充分考慮電廠自身機組類型、水源水質、冷卻型式等特點及其影響,并結合全廠各專業實際用排水狀況予以制定。同時,由于深度節水的結果對末端廢水固化的工藝選擇及投資和運行成本影響極大,火電廠零排放宜根據具體情況分段實施,以保證各階段治理效果,避免重復投資。(來源:谷騰環保網)


