由于缺乏科學的藥品管理和指導以及公眾對抗生素的不當使用, 我國是世界上濫用抗生素最嚴重的國家之一.抗生素作為新型環境污染物, 通過農用、醫用獸用以及生產廢水排放等多種途徑進入了環境水體, 進而威脅公眾的飲用水安全.20世紀80年代, Watts等首次報道在地表水中檢測到了1 μg·L-1濃度的紅霉素、磺胺甲唑和四環素, 水環境中的抗生素開始引起高度關注.近年來, 環境水體中抗生素的出現、遷移及潛在危害已成為國際上環境領域研究的熱點問題之一.有研究表明, 在天津的淡水養殖水體、海河、土壤中均發現了不同濃度的抗生素, 水源水中也檢測出了多種類型的抗生素, 由此引起的飲用水化學安全問題逐漸受到重視.然而針對環境水體中抗生素的來源分布和遷移規律的研究, 目前大部分集中在地表水、地下水以及污水處理廠, 在供水系統方面研究較少.現有給水廠的處理工藝單元沒有針對抗生素等新型污染物而設計, 抗生素在飲用水制水和供給過程中的遷移與去除情況仍不清晰, 因此研究供水系統中抗生素分布特征和遷移規律, 考察現有水處理工藝單元的去除效率, 對飲用水安全保障具有重要意義.本文應用固相萃取富集法(SPE)和高效液相色譜質譜聯用(HPLC-MS)的分析方法對兩個不同處理工藝的給水廠以及供水管網中的抗生素濃度水平和分布特征等進行了分析, 并基于不確定分析方法對飲用水中的抗生素引起的健康風險進行了評價, 以期為了解天津市供水系統中抗生素的分布特征、遷移轉化及其潛在危害提供參考, 并為給水廠的運行條件優化和工藝改造給予數據支持, 從而保障城市飲用水安全.
1 材料與方法
1.1 儀器與試劑
1200高效液相色譜(USA, Aglient), 6410B三重四極桿質譜分析儀固相萃取裝置, N-EVAP氮吹濃縮儀, SB-5200DTS超聲波清洗器, BSA224S分析天平.根據自來水中抗生素種類的全掃描分析結果, 并結合已有的天津水體中抗生素分布研究, 確定了6類10種抗生素, 包括四環素類:四環素(TC, 98.0%)、強力霉素(DXC, 98.7%); 喹諾酮類:氧氟沙星(OFC, 99.0%)、恩諾沙星(ERC, 98.5%)、甲氧芐啶(TMP, 98.7%); β-內酰胺類:青霉素G(PEN, 99.5%); 大環內酯類:羅紅霉素(ROX, 97.0%); 林可酰胺類:林可霉素(LIN, 99.2%); 磺胺類:磺胺甲基嘧啶(SMR, 99.2%)、磺胺甲唑(STX, 99.0%), 其標準品均為粉末樣品, 購自德國奧格斯堡公司(Dr. Ehrenstorfer GmbH, Germany); 阿特拉津(13C3-Atrazine)丙酮溶液, 濃度100 ng·μL-1, 購自百靈威; 咖啡因(13C3-Caffeine)甲醇溶液, 濃度1.0 mg·mL-1, 購自美國劍橋同位素實驗室.溶劑:甲醇(HPLC級, Fisher, USA), 甲酸(85%, HPLC級, Duksan), 乙腈(HPLC級, Fisher, USA), 甲酸銨(HPLC級, CNW, Germany), 超純水(電阻率≥18.2 MΩ·cm, Millipore, USA).
1.2 采樣點選擇
選取天津市某自來水廠A水廠和B水廠為研究對象, A、B水廠采用相同水源(以引江水為主, 灤河水為備用水源). A、B水廠供水能力分別50萬m3·d-1和30萬m3·d-1, 均采集原水、濾前水、濾后水和水廠出水, 各水廠的工藝單元流程及采樣點見圖 1.每次連續放水10 min后用水樣采集器采集水樣5 L, 采集完成后用棕色瓶迅速運回實驗室, 4℃避光保存, 24 h內進行抗生素的檢測分析(每份樣品均設置兩個平行樣品, 以平均值作為該樣品的分析結果), 總共隨機采樣12次.
為分析抗生素在給水管網中的分布遷移變化, 選取A水廠一條主要輸配水干管作為研究對象.采樣管段為管徑DN1400和DN1000的鑄鐵管.從管段起點處開始, 沿水流方向每隔600 m設置采樣點, 共設6個采樣點, 總輸水距離約為3.3 km, 采樣點的布設情況見圖 2.
1.3 抗生素的檢測分析
樣品經抽濾、固相萃取、氮吹前處理后轉移至HPLC-MS的進樣瓶待測.柱溫40℃, 進樣量10 μL, 流動相流速0.30 mL·min-1, 水相為3%甲酸、0.1%甲酸銨水溶液, 有機相為1:1甲醇:乙腈, 各抗生素能達到良好分離且色譜峰型較好, 整個儀器分析過程在19 min之內完成.相關系數R2均大于0.999 0, 檢出限0.001~0.26 ng·L-1, 加標回收率處于77.12%~126.37%, 相對標準偏差小于9.34%.
為評價給水廠在各處理單元及整個工藝流程中對目標抗生素的去除效果, 抗生素去除率計算公式如下:

式中, ηj, i:j工藝對抗生素i的去除率; cj, i:j工藝中抗生素i的濃度, ng·L-1; cj+1, i:j工藝后續工藝中抗生素i的濃度, ng·L-1; η總, i:水廠各工藝對抗生素i的總去除率; c原水, i:原水中抗生素i的濃度, ng·L-1; c出水, i:出水中抗生素i的濃度, ng·L-1.
為探討抗生素在給水管網中的衰減規律, 假設其符合一級動力學模型:
式中, c:濃度, ng·L-1; t:時間, min; c0:物質的初始濃度, ng·L-1.
衰減系數(K)為:

式中, v:水流速, m·s-1; L:取樣點i與i+1之間的距離, m; ci:取樣點i處抗生素的濃度, ng·L-1.
1.4 健康風險評價方法
人群通過飲食(主要指飲水)途徑攝取污染物的量化估算模型為:
式中, CDIdw:飲水途徑污染物的日均暴露劑量, mg·(kg·d)-1; cdw:水中污染物的濃度, mg·L-1; TF:水廠凈化系數, 無量綱; U:日均飲水量, L·d-1; ABS:胃腸吸收因子, 無量綱; EF:暴露頻率, d·a-1, 按360計算; ED:暴露期, a, 按75計算; AT:平均暴露時間, AT=EF×ED, d; BW:人體平均體重, kg.
人類在洗浴過程中會通過皮膚吸收水中的污染物, 其暴露模型如下:

式中, cdw:水中污染物的濃度, mg·L-1; SA:可接觸的皮膚表面積, cm2; Kp:皮膚表面化學污染物的滲透常數, cm·h-1; FE:洗浴頻率, d-1; FT:洗浴時間, h; CF:單位轉化因子, 1 L·(1 000 cm3)-1; EF:暴露頻率, d·a-1; ED:暴露期, a; BW:平均體重, kg; AT:平均暴露時間, d, 具體參數詳見表 1.
抗生素的致癌風險評價采用風險值(risk, R):
式中, CDI(chronic daily intake):單位體重的暴露劑量, mg·(kg·d)-1; β:暴露攝入的致癌強度系數, kg·d·mg-1.
多種抗生素的致癌風險:
式中, Ri代表化學物i的致癌風險.
本文采用Zeise等建立的模型計算致癌效力:

式中, β:暴露攝入的致癌強度系數, kg·d·mg-1; LD50(median lethal dose):動物半數致死量, mg·kg-1; C, D:回歸系數.
人類致癌效力:
式中, βh:人類致癌強度系數, kg·d·mg-1; Kah:種間轉化系數(美國EPA推薦值4.7), 無量綱; βa:動物致癌強度系數, kg·d·mg-1.
抗生素的非致癌風險:
式中, HQ(hazard quotient):風險危害商值, 無量綱; CDI:單位體重的暴露劑量, mg·(kg·d)-1; RfD(reference doses):污染物的非致癌參考劑量, mg·(kg·d)-1.
采用Strenge等提出的模型來估算其非致癌參考劑量:
式中, LD50(median lethal dose):動物半數致死量(數據來源于美國國家藥品數據庫), mg·kg-1; 4×10-5為經驗轉化系數, d-1.
多種復合化合物與多種暴露途徑的非致癌性風險的綜合評價:

式中, CDIij:第i種污染物第j種暴露途徑的單位體重的暴露劑量, mg·(kg·d)-1; RfDi:第i種污染物第j種暴露途徑的非致癌參考劑量, mg·(kg·d)-1.
美國EPA規定, 污染物致癌風險指數小于或等于1×10-6, 則致癌風險可接受.對于非致癌風險, 風險指數大于1, 則非致癌風險不可接受; 風險指數0.1~1, 風險較大; 風險指數小于0.1, 風險可接受.
本研究采用Crystal Ball 11.1.2.2實現蒙特卡羅取樣分析, 進行健康風險評價的不確定性分析, 從而提高風險評價結果的可靠性以及降低決策的風險度.已有研究表明, 通常情況下環境中污染物濃度呈對數正態分布.本研究對管網中各抗生素濃度做對數轉化后, 在K-S檢驗基礎上, 運用SPSS 20.0在α=0.05的顯著性水平上對數據進行正態分布檢驗.
2 結果與討論 2.1 給水廠各處理工藝單元對抗生素的去除分析
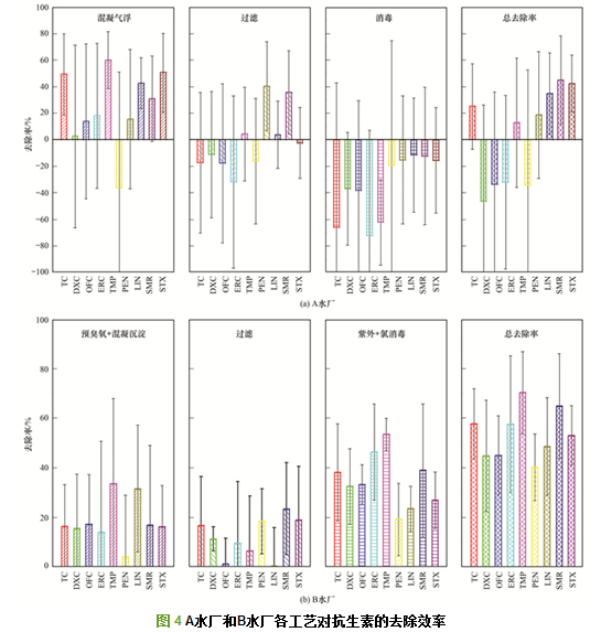
6類10種抗生素在A水廠各處理工藝單元均有檢出, 除羅紅霉素和青霉素G的檢出頻率分別為41.7%和91.7%外, 其余8種抗生素均100%檢出, 10種抗生素在各處理單元的濃度水平如圖 3(a).原水中的總抗生素濃度為337.44~1 530.99 ng·L-1, 其中磺胺甲唑平均濃度最高, 磺胺甲基嘧啶次之, 而羅紅霉素最低, 分別為206.82、136.77和1.14 ng·L-1.磺胺類抗生素使用量大, 且具有較強的親水性, 在水中穩定性高, 可通過徑流、雨水沖刷等途徑進入水環境, 從而容易污染水體, 造成了磺胺類抗生素的高檢出率和高濃度.雖同屬四環素類, 但四環素的平均濃度比強力霉素(98.23 ng·L-1)低近一倍(48.98 ng·L-1), 說明強力霉素比四環素的應用更廣泛, 使用量更大.經過混凝氣浮處理工藝后, A2處[圖 1(a)]采集的濾前水總抗生素濃度為134.53~1 032.34 ng·L-1, 各抗生素的濃度范圍為1.44~241.29 ng·L-1不等, 磺胺甲唑平均濃度(104.68 ng·L-1)最高, 磺胺甲基嘧啶(93.04 ng·L-1)次之. A水廠過濾工藝單元為雙閥濾池, 濾后水總抗生素濃度為172.89~966.62 ng·L-1, 平均濃度最高的仍然是磺胺甲唑(111.56 ng·L-1), 其次是強力霉素(100.20 ng·L-1).氯胺接觸消毒池為最后的處理單元, 消毒之后的自來水將被輸送至用戶, 出水中抗生素的總濃度范圍為197.93~1 137.98 ng·L-1.如圖 3(a)所示, A水廠出水中恩諾沙星濃度水平(126.43 ng·L-1)最高, 說明經過各處理工藝后恩諾沙星污染較嚴重.磺胺類中磺胺甲唑的濃度較濾前水、濾后水有所升高, 平均濃度為122.33 ng·L-1, 遠高于美國某水廠出水(12.7 ng·L-1), 其短期毒性不顯著, 但低劑量長期攝入仍可損傷腎臟, 造成機體免疫力降低, 因此磺胺甲唑的污染問題應引起重視.四環素類的強力霉素濃度高于四環素, 此類抗生素在我國曾廣泛用于臨床及獸醫學, 但現在主要用作獸藥.
B水廠各處理單元的抗生素濃度如圖 3(b), 各處理單元除羅紅霉素未檢出外, 其余9種抗生素檢出率均為100%, 檢出濃度范圍為4.00~332.30 ng·L-1.原水中磺胺甲基嘧啶平均濃度最高(231.49 ng·L-1), 磺胺甲唑次之(105.38 ng·L-1). B2處[圖 1(b)]采集的濾前水, 抗生素濃度范圍為395.17~695.18 ng·L-1, 磺胺甲基嘧啶平均濃度最高. B水廠采用整體濾板V型濾池, 經過濾后抗生素濃度范圍為332.30~670.93 ng·L-1, 磺胺類占抗生素總量的45.26%, 仍是濃度最高的抗生素.濾后水經紫外和氯消毒后達到出廠要求, 出水中總抗生素的濃度范圍為199.44~320.10 ng·L-1.四環素平均濃度最低(10.88 ng·L-1), 而磺胺甲唑的平均濃度(51.72 ng·L-1)遠低于A水廠出水.
A水廠各處理工藝的抗生素去除效率見圖 4(a), 抗生素的總去除率為-46.47%~45.10%, 從中可看出對抗生素類物質去除起主要作用的是混凝工藝.在混凝工藝中抗生素的去除效率與絮體特性、抗生素的酸度系數pKa以及沉積物-水分配系數pKoc相關, 抗生素pKa越大, 越易被帶正電荷的絮體吸附, 此吸附作用受pKoc影響, 但具體關系式有待進一步研究.過濾工藝對抗生素的平均去除率為負值, 通過濾池后水體中的抗生素除甲氧芐啶、林可霉素和磺胺甲基嘧啶外其余濃度均有所增高, 推測濾池中可能存在抗生素的富集殘留現象, 從而導致濾后抗生素濃度升高. 圖 4中氯化消毒工藝中抗生素的去除結果顯示, 氯化消毒工藝后各抗生素的去除率全部為負值, 這是因為水中抗生素前體物質在氯胺消毒工藝的促進作用下會再次反應生成抗生素, 從而使其濃度升高. 圖 4(a)中的誤差線顯示A水廠各處理工藝對抗生素的去除效率波動較大, 造成此現象的原因主要是水廠處理單元運行工況的不同和原水中抗生素濃度的變化.因此當水源抗生素的污染狀況比較嚴重時, 水廠僅采用常規處理工藝不能保障飲用水水質安全, 這與此前相關研究結果一致.
B凈水廠各處理單元對抗生素的去除效率見圖 4(b).從中可知, 各處理工藝對抗生素均有一定的去除效果, 單種抗生素的去除效率范圍為0.44%~53.49%, 總去除率為40.25%~70.33%, 其去除效果明顯優于A水廠的常規處理工藝, 抗生素總濃度由進廠時的700.14 ng·L-1下降到出廠時的275.76 ng·L-1, 說明預臭氧、強化混凝和紫外消毒等深度處理工藝對水中抗生素的去除更有效.其中預臭氧+混凝沉淀工藝對四環素和強力霉素的去除效率分別為16.29%和15.62%.有研究表明, 臭氧氧化技術在去除水體中四環素類抗生素方面具有較大潛力, 但是若接觸時間大于5 min, 產生的副產物會具有更強的生物毒性.紫外消毒工藝對喹諾酮類容易光降解的抗生素有較好的去除效果, 其中氧氟沙星、恩諾沙星和甲氧芐啶的去除率分別為33.28%、46.36%和53.49%.在紫外+氯聯用消毒階段抗生素的總體去除效果最好, 而過濾工藝去除效率最低.大量研究表明, 紫外光降解對抗生素的去除率在催化劑存在條件下可高達80%~90%.整個工藝流程對甲氧芐啶的去除效率最高(70.33%), 磺胺甲基嘧啶次之(64.89%).即使深度處理工藝對抗生素的去除效率更高, 仍不能完全解決水體中抗生素的污染.
2.2 給水管網中抗生素的分布及衰減規律
本研究選取了A水廠出廠的某配水干管, 對管網中抗生素濃度水平進行了研究, 探索給水管網中抗生素的分布情況, 對保障城市飲用水安全和解析污染物對人類健康的潛在影響具有重要價值.
2.2.1 給水管網中抗生素濃度水平
表 2列出了給水管中目標抗生素殘留水平的統計學數據, 分析顯示10種抗生素中除羅紅霉素的檢出率為75.0%外, 其余均為100.0%, 總抗生素濃度范圍為542.35~1 683.17 ng·L-1.其中羅紅霉素濃度最低, 平均濃度僅為4.52 ng·L-1.磺胺類占總抗生素質量分數的36.89%, 磺胺甲基嘧啶平均濃度最高, 為234.28 ng·L-1, 高于華東地區某水源中的磺胺甲基嘧啶濃度.而磺胺甲唑的平均濃度為162.84 ng·L-1, 遠高于Qiao等于2009~2010年檢測的中國南方某管網中磺胺甲唑的濃度(0.14 ng·L-1).
2.2.2 給水管網中抗生素的衰減規律
10種抗生素的衰減系數K見表 2.由于K值沒有通過實時分析和追蹤量化, 僅能代表潛在和相對持久的不同抗生素的整體衰減系數, 而不能作為預測特定抗生素遷移轉化模型的降解系數.如表 2所示, 抗生素在給水管網中的衰減模式符合一級反應動力學模型, 顯著性系數P < 0.05, 相關系數R2的范圍為0.824~0.944.抗生素在管網中的衰減趨勢可描述為指數曲線, 初始衰減速度快, 當抗生素濃度達到一定水平后, 其衰減速率逐漸平穩.衰減系數為林可霉素 < 四環素類 < 喹諾酮類 < 青霉素 < 磺胺類, 此結果與國內外對抗生素在開放水體中的相關研究基本一致, 即降解難度四環素類 < 喹諾酮類 < 磺胺類.因羅紅霉素的檢出率為75%, 所以無法評估其衰減模式.
抗生素的化學穩定性和分配系數等因素決定了其在水體中的穩定性.林可霉素在自然條件下光降解和水解降解效率很低, 所以其在管網中的快速衰減主要是由吸附作用引起的, 而主要機制是陽離子交換, 在pH約為7時吸附速率最快.四環素類抗生素大部分以陰離子的形式存在, 其與鑄鐵管管壁腐蝕層之間的靜電吸附作用是四環素類抗生素快速衰減的主因, 此外, 與水中鈣鎂離子等發生的絡合反應也促進了四環素類抗生素在管網中的消減.喹諾酮類抗生素容易被吸附和光降解, 由于管網為密閉環境, 可排除喹諾酮類抗生素光降解的可能性, 其在給水管中的衰減主要歸因于吸附機制.磺胺類抗生素在水中化學穩定性強且溶解度高, 其衰減速率低于其它抗生素.
2.3 飲用水中抗生素的健康風險評價
有研究證實菌群失調與多種癌癥相關, 而反復使用特定種類抗生素會導致罹患某些癌癥的風險顯著升高.本研究采用了美國環保署推薦的健康風險評價模型, 依據給水管網中10種抗生素的分布遷移數據, 采用蒙特卡洛法對飲用水中的抗生素通過飲水和皮膚接觸兩種暴露途徑的暴露劑量進行了模擬計算, 并對其致癌風險和非致癌風險進行了評估.根據正態分布檢驗數據表明, 管網中抗生素的濃度服從對數正態分布. 6類10種抗生素的皮膚滲透系數、非致癌參考劑量以及人類致癌強度系數參考表 3.
圖 5為通過飲水途徑暴露引起的致癌和非致癌風險水平, 其中四環素、強力霉素和磺胺甲唑所引起的致癌風險水平最高, 處于10-7數量級, 與警戒值(虛橫線)僅相差一個數量級, 其余抗生素的致癌風險均處于10-8數量級.各抗生素通過皮膚接觸途徑的風險水平見表 4, 其中磺胺甲唑通過皮膚接觸途徑所引起的風險水平最高.健康風險評價結果表明, 飲用水中多種抗生素引起的致癌風險和非致癌風險均屬可接受風險.飲水途徑所致風險遠高于皮膚接觸, 其中通過飲水途徑造成的風險為成年男性高于成年女性, 皮膚接觸途徑則呈相反規律.如表 4所示, 抗生素經皮膚接觸導致的非致癌風險從10-12~10-7數量級不等, 致癌風險處于10-13~10-10的數量級, 均低于警戒值, 屬于可接受風險.對飲用水中10種抗生素的總致癌風險和非致癌風險進行模擬計算得到不同人群總致癌風險值(男性5.64×10-7, 女性5.45×10-7)和總非致癌風險(男性5.78×10-4, 女性5.59×10-4)都處于可接受風險水平.
3 結論
(1) 通過對天津市A水廠和B水廠中10種目標抗生素的檢測分析, 兩水廠的抗生素在各處理工藝單元中呈現出了不同的分布特征. A水廠對抗生素的總去除率為-46.47%~45.10%, 其中起主要作用的是混凝工藝. B水廠的總去除率為40.25%~70.33%, 紫外+氯消毒階段對抗生素的去除效果最好, 預臭氧+混凝沉淀工藝次之.而過濾工藝在A、B兩個水廠中對抗生素的去除效率最低.結果表明B水廠的深度水處理工藝對抗生素類物質的處理效果明顯優于A水廠的常規處理工藝, 然而出水中仍有抗生素檢出, 且濃度范圍為4.00~78.31 ng·L-1.
(2) 給水管網中抗生素分布的分析結果表明:除羅紅霉素的檢出率為75.0%外, 其余9種抗生素均為100.0%檢出.單種抗生素濃度范圍為nd~348.99 ng·L-1, 其中磺胺類占抗生素總量的36.89%.給水管中的抗生素濃度隨輸送距離的增長而逐漸降低.抗生素在管網中衰減系數為林可霉素 < 四環素類抗生素 < 喹諾酮類抗生素 < 青霉素 < 磺胺類抗生素.
(3) 依據不確定性分析法對10種抗生素通過飲水和皮膚接觸兩種途徑的健康風險進行評價, 飲水途徑中四環素、強力霉素和磺胺甲唑引起的風險水平明顯高于其它種類抗生素; 而皮膚接觸途徑中磺胺甲唑所引起的風險水平最高.但各類抗生素造成的致癌風險和非致癌風險均處于可接受風險的水平, 通過飲水途徑所致的風險明顯高于皮膚接觸.不同人群的總致癌風險及總非致癌風險都屬于可接受風險.具體聯系污水寶或參見http://m.bnynw.com更多相關技術文檔。
(4) 本研究著眼于供水系統中典型抗生素的濃度水平及其分布規律, 比較分析了現有水處理工藝單元對抗生素的去除效率, 對抗生素可能構成的風險作出了評價, 為供水安全保障和供水技術改進給予理論依據和數據支撐, 同時也為其它地區開展類似的研究提供借鑒.











