1 引言
近年來,隨著社會經濟的發展,我國的水環境富營養化問題日益突出,不僅破壞了生態平衡,而且嚴重威脅著人類的健康和生活生產.大量含氮、磷元素的污水進入水體,是導致大范圍水體富營養化的問題所在.在流入河流湖泊的污水分類組成中,低污染負荷的污水占很大比例,如農村雨污合流排水、農田排水以及城鎮污水處理廠尾水等.它們大多具有污染物含量低、可生化性強、水質水量變化大、排放分散等特征.針對這種低污染水質特征,目前比較常用的凈化工藝是生態型污水土地處理系統,主要包括人工濕地、氧化塘等類型.由于土地處理系統運行成本低,在去除氮磷方面效果顯著,得到越來越廣泛的應用.但是,傳統的土地處理系統也存在負荷過低、易堵塞等問題,在處理低污染水時凈化效率低.因此,針對低污染水處理的新技術不斷涌現,多級土壤滲濾系統也成為研究熱點之一,其在低污染水的強化脫氮除磷方面有著更突出的優勢.
多級土壤滲濾系統(Multi-soil-layering system,MSL)是由日本學者Wakatsuki等在20世紀90年代研究開發出的一種新型、高效的人工強化土壤滲濾系統,它克服了傳統土地處理系統占地面積大、處理效率低、容易堵塞以及脫氮效果差等問題.其核心理念是將土壤模塊化,系統內滲濾層(PL)與土壤模塊層(ML)交替排列,形成多個微“好氧-厭氧”環境來去除污染物.該技術已在日本、泰國、印度尼西亞和中國推廣應用,對生活污水、受污染河水等的處理具有較好的效果.盡管MSL系統相對其他土地處理系統具有明顯的優勢,但是如何在系統內部維持良好的“好氧-厭氧”環境是影響系統脫氮效果的關鍵;而且針對低有機污染水的脫氮問題,這一技術應用于工程實際會因碳源不足引起反硝化受阻,進而限制了系統對氮素的去除效果.傳統的固相碳源天然材料如鋸末屑、植物秸稈類等存在反硝化速率偏低、持續供碳能力較弱、出水產生色度問題等,而單一高分子聚合物反硝化脫氮效率高但經濟性成本較高,需要進一步從固體碳源的釋碳速率控制、經濟性成本的降低方面研發新型碳源.在有關MSL系統脫氮微生物機理解析等方面也未見報道.因此,這些問題的存在迫切需要對該技術以及相關脫氮微生物機理方面開展深入的研究.
本研究采用“微曝氣段+非曝氣段”的兩段式MSL系統工藝,針對某生活小區中水處理站的出水,城鎮污水處理廠傳統工藝一級A標準出水的低C/N比特征,在土壤模塊中引入新研發的基于PHBV (聚羥基丁酸戊酸酯)、纖維素等共混固相碳源(簡述為GC-4),以土壤模塊添加鋸木屑碳源的MSL系統為對照,在實際現場環境條件下開展了不同溫度、不同水力負荷條件下對低污染水的強化脫氮除磷研究,并考察了工藝出水有機物的含量變化,為MSL工藝在實際工程中的應用提供科學依據.
2 材料與方法
2.1 試驗裝置與工藝流程
“曝氣段+非曝氣段”的兩段式多級土壤滲濾系統試驗裝置與工藝流程,如圖 1所示.本研究在某生活小區中水站內進行,生活污水經“A2/O工藝”處理后的低污染出水,由水泵提升至高位水箱,經初步沉淀后再由計量泵配水, 進水依次流過模擬曝

圖 1 MSL系統試驗裝置與工藝流程圖
氣段和非曝氣段,再通過上流式出水管流出系統.其中,曝氣段通過微型空氣壓縮機接曝氣軟管和曝氣頭曝氣,曝氣頭置于承托層上部.非曝氣段采用上流式出水使其維持淹水水位,同時加蓋密封形成缺氧環境.
試驗裝置曝氣段尺寸:0.4 m×0.3 m×0.8 m (長×寬×高),非曝氣段尺寸:0.4 m×0.3 m×1.0 m (長×寬×高).土壤模塊(ML層)包含2種不同規格尺寸,分別為:長×寬×高=0.3 m×0.2 m×0.1 m (長型);長×寬×高=0.15 m×0.2 m×0.1 m (短型).滲濾層(PL層)與模塊上下間隔40 mm.
2.2 試驗材料
本研究一共設置2組對照系統,MSL1是以傳統鋸木屑為反硝化碳源的參照組,MSL2是于缺氧段土壤模塊層中添加固相碳源GC-4作為反硝化碳源的試驗組,探討新型固相碳型對工藝的凈化效果的影響.2組系統具體填料組成如下:MSL1系統:微曝氣段(PL層:重質陶粒;ML層:陶砂、腐植質土、鋸木屑、石灰石、鋼渣、竹炭等);非曝氣段(PL層:重質陶粒;ML層:陶砂、腐植質土、鋸木屑、石灰石、鋼渣、竹炭等);MSL2系統:MSL1系統比較僅將非曝氣段鋸末屑改為新型固相碳源GC-4.
2.3 試驗水質及工況條件
室外模擬試驗系統自2014年8月啟動,連續運行至2015年6月,期間受季節氣溫變化影響,以水溫15 ℃作為分界點,將試驗劃分為3個階段(試驗期間總體水溫處于偏低水溫).溫度段1平均水溫為19.05 ℃(>15℃),溫度段2平均水溫為11.41 ℃,溫度段3平均水溫為19.03 ℃(>15 ℃).試驗期間進水水質、模擬MSL系統工藝運行參數等列于表 1.由此可以探討不同水溫、水力負荷下2組MSL工藝的脫氮凈化效果.
表 1 實驗運行期間主要水質變化范圍及工況條件

2.4 水質監測指標及分析方法
試驗期間,取樣監測頻率為每周2次,監測指標包括NH4+-N、NO3--N、TN、CODCr、pH、進水水溫.測定溶解性指標前先將水樣經過0.45 μm濾膜過濾.其中,NH4+-N測定采用納氏試劑法,NO3--N測定采用紫外分光光度法,TN測定采用過硫酸鉀氧化-紫外分光光度法,CODCr測定采用重鉻酸鉀法,水溫、pH值等直接用儀器測定.
2.5 微生物樣品的采集與分析
在2組MSL系統穩定運行期間,采集MSL系統“曝氣段”滲濾層(PL層)、土壤模塊層(ML層)填料樣品2份(編號為0-P、0-M),再分別采集2組MSL系統MSL1、MSL2“非曝氣段”PL層、ML層填料樣品共4份(編號為MSL1-P、MSL1-M;MSL2-P、MSL2-M).針對樣品提取DNA,測定樣品中微生物16S rRNA,并針對脫氮反應的幾個關鍵基因如參與硝化過程的amoA基因(氨單加氧酶基因)、參與反硝化過程中的亞硝酸鹽還原酶關鍵功能nirS基因、nirK基因進行熒光定量PCR測定.
3 試驗結果與討論
3.1 2組MSL系統對中水站出水的強化脫氮效果
傳統的單段式MSL系統主要是依靠其獨特的磚砌式內部空間形成的無數微好氧-厭氧環境,從而實現吸附、礦化、硝化、反硝化過程等功能的同步進行.本研究采用“曝氣段-非曝氣段”MSL系統,在土壤模塊引入不同固相碳源可以進一步強化脫氮.表 2為整個試驗期間脫氮效果的數據統計分析結果.
表 2 不同溫度、水力負荷條件下的MSL系統對NH4+-N、NO3--N、TN的凈化效果統計分析

3.1.1 對氨氮的凈化效果的分析
2組“微曝氣-非曝氣”MSL系統對NH4+-N的凈化效果沒有表現出明顯的差異性且均表現出穩定、高效的凈化效果.NH4+-N主要是通過第1級微曝氣MSL系統完成硝化反應過程.溫度段1MSL2和MSL1對NH4+-N的去除率分別為88%、91%,明顯高于溫度段2的去除率80%、81%.結果表明,隨著水溫的降低,MSL系統對NH4+-N去除率會有所下降.這是低水溫條件下一定程度上會影響到MSL系統內硝化細菌的生物活性.但盡管隨著水溫的降低且進水NH4+-N濃度升高,MSL系統對NH4+-N的凈化效率依然維持在80%左右的水平,表明了MSL系統具有較好的抗沖擊負荷能力.
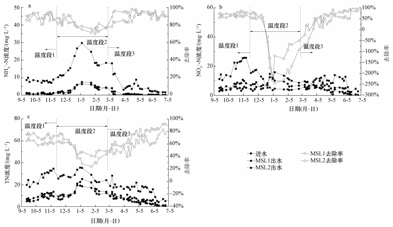
如圖 2a所示,比較溫度段1和溫度段3可以發現,在水溫相似環境條件下(平均水溫大于15 ℃),運行了2個不同的表面水力負荷參數,即在1.0 m3·m-2·d-1水力負荷條件對應進水氨氮平均濃度為8mg·L-1,MSL1、MSL2工藝出水分別為0.76、0.92mg·L-1;在0.6 m3·m-2·d-1水力負荷條件對應進水氨氮平均濃度為5 mg·L-1,MSL1、MSL2工藝出水分別為0.32、0.67mg·L-1, 且2組MSL工藝對氨氮的凈化效率均達到90%左右.就MSL系統對氨氮的凈化效率來看,表面水力負荷還可以更高一些.統計表明,在所選擇的2個水力負荷工藝參數下2套MSL系統在溫度段1和溫度段3中NH4+-N的去除率在95%觀測水平下均沒有顯著性差異(p1=0.076>0.05,p2=0.878>0.05).

圖 2 MSL系統不同運行階段對NH4+-N (a), NO3--N (b)和TN (c)的凈化效果
3.1.2 對硝酸鹽氮的凈化效果的分析
圖 2b揭示了2套系統對NO3--N的凈化效果.NO3--N濃度會隨著進水中NH4+-N在第1級曝氣段好氧硝化后進一步上升,再進入缺氧段進行反硝化反應以完成反硝化脫氮過程.
結合表 2中硝酸鹽氮數據統計分析結果并對照圖 2b可以看出,溫度對MSL系統的反硝化過程影響比較顯著.2組MSL系統在溫度段1和溫度段2條件下對NO3--N的凈化效率均存在顯著性差異(p1=p2=0.000 < 0.05).在溫度段1,MSL1、MSL2 2套系統對NO3--N的平均去除率為61%、75%,添加新型固相碳源GC-4的MSL2系統的反硝化效果明顯好于添加傳統碳源鋸木屑的系統MSL1系統.隨著水溫的下降溫度段2,2套MSL系統對NO3--N去除率均明顯降低,并出現了出水NO3--N濃度高于進水的累積現象.溫度段2這一現象背后,實際上是進水中TN組成中NH4+-N濃度比較高而NO3--N濃度較低,但隨著NH4+-N的好氧硝化轉換成為了以NO3--N形式存在,雖然在第2級MSL系統依然表現出了比較好的反硝化脫氮效果,但出現了NO3--N濃度出水高于進水有累積的現象.隨著水溫上升進入到溫度段3,硝酸鹽氮的反硝化去除率逐漸恢復到溫度段1的較高水平.
溫度是影響MSL系統反硝化脫氮的重要因素.隨著水溫的降低,有機異養性反硝化菌的生物活性受到了一定的影響,且在MSL系統中添加研發的新型固相碳源對MSL系統的反硝化脫氮效果提升明顯.這是傳統碳源如鋸木屑等天然纖維素類物質通常含有15%~30%的木質素,而木質素是一種無規則、高度分支、不溶于水的高分子聚合物,是自然界所有天然產物中最難降解轉化的物質之一,其反硝化脫氮速率低下;新型固相碳源為非水溶性有機聚合物,其具有較強的有機物控釋性能,在微生物酶的作用下進行生物降解并釋放碳源,可生物降解組分比例高,反硝化速率高,與鋸木屑相比,其反硝化脫氮性能更好.
3.1.3 對總氮的凈化效果分析
從進水氮素組成上看,高水溫階段(溫度段1和3),TN組成中主要以NO3--N為主,NH4+-N次之;但在低水溫階段(溫度段2) TN的組成轉化為以NH4+-N為主,NO3--N濃度較低.這主要是因為試驗系統進水采用的是經“傳統A2/O工藝”中水處理工藝后的低污染出水,這套傳統工藝的脫氮效果受溫度影響較大,高溫條件下系統硝化作用進行的比較徹底,出水NH4+-N濃度較低,NO3--N濃度較高;而在低溫條件下硝化作用變弱,出水NH4+-N濃度高于NO3--N濃度.2組MSL系統對TN的凈化效果數據統計分析結果列于表 2以及過程曲線如圖 2c所示.
統計表明,2套系統溫度段1和溫度段2中TN的去除率均存在顯著性差異(p1=p2=0.000 < 0.05),溫度段1和溫度段3中TN的去除率也都存在顯著性差異(p1=0.008 < 0.05,p2=0.007 < 0.05),溫度段1時MSL1、MSL2對TN的平均去除率分別為62%、72%;溫度段2時,水溫下降到15 ℃以下,系統的脫氮效率有所降低,TN平均去除率分別為45%、55%;隨著氣溫逐漸回升至15 ℃以上,溫度段3時系統對TN的凈化效果也出現好轉,并在降低水力負荷的情況下,TN去除率進一步提高,分別達到66%、81%.由此可見,表面水力負荷的大小也是影響MSL系統對TN去除效果的一個重要因素.
通過分析還可以發現,不管溫度變化還是水力負荷變化,整個運行期間,系統MSL1和MSL2對TN的去除率存在顯著性差異(p=0.000 < 0.05).MSL2對TN的去除效果最好,在溫度段3的較高水溫和低水力負荷條件下TN平均去除率達到81%;而MSL1相對要較差,最高TN平均去除率僅為66%.相比于鋸木屑等傳統天然纖維素類固相碳源有機物控釋性能差、反硝化速率低等缺點,新研發的新型固相碳源為反硝化微生物提供了持續易于利用的碳源,保證了反硝化過程的持續高效進行.在土壤模塊層引入新研發的共混有機高分子固相碳源(GC-4)能夠強化MSL系統工藝的脫氮性能.
3.2 2組MSL系統對中水站出水中COD的進一步凈化效果
圖 3為2組MSL系統對CODCr的凈化效果.試驗系統進水為中水處理站尾水,COD僅為30 mg·L-1左右,屬于低有機污染水(COD/TN接近1:1),有機物濃度不能滿足反硝化脫氮的需求.從圖 3可以看出,添加了傳統固相碳源鋸末屑的MSL1系統,在溫度段1、2、3對COD的平均去除率分別達到30%、37%、32%;而添加了新型共混固相碳源GC-4的MSL2系統在溫度段1運行初期出現了短暫的過度釋碳現象,之后在溫度段2、溫度段3保持著較好的碳源緩釋性能以及良好的反硝化脫氮效果(如前面脫氮特性所述),且對COD的平均去除率分別達到57%、54%;數據統計分析顯示,2組MSL系統本身在溫度段1、溫度段2和溫度段3中COD的去除效果都沒有顯著性差異(p>0.05),說明在實驗所在的溫度、水力負荷范圍條件下對MSL系統去除有機物的影響差異不大.

圖 3不同運行階段對COD的凈化效果
在傳統MSL系統中有機物的去除主要集中在系統上部,前期通過系統中PL層材料、土壤和其他填料的物理截留及化學吸附來去除,而后期主要依賴異養型好氧微生物的代謝活動來去除.在本實驗2組MSL系統進水有機物濃度低,但會在“曝氣段”好氧有機異養菌的作用得到一定的凈化,而在“非曝氣段”土壤模塊層中的有機碳源會被異養反硝化菌利用完成反硝化脫氮過程且均沒有出現碳源過度釋放導致COD升高的現象.穩態運行情況下,MSL2比MSL1系統對COD去除效率要稍高一些,推測是新型碳源GC-4比鋸末屑更易為有機異養菌利用相應微生物量較大而表現出更好的COD的凈化效率.
3.3 2組MSL系統微生物凈化機理初步解析
通過對16S rRNA基因進行定量PCR分析,可以考察研究對象中微生物群落的生物量大小;而通過對參與硝化過程的關鍵功能基因amoA基因、參與反硝化過程的關鍵功能基因nirS和nirK基因的定量分析,能考察MSL系統不同功能區的硝化微生物和反硝化微生物群落的豐度大小,進而解析其脫氮過程的微生物機理.
3.3.1 16S rRNA基因解析
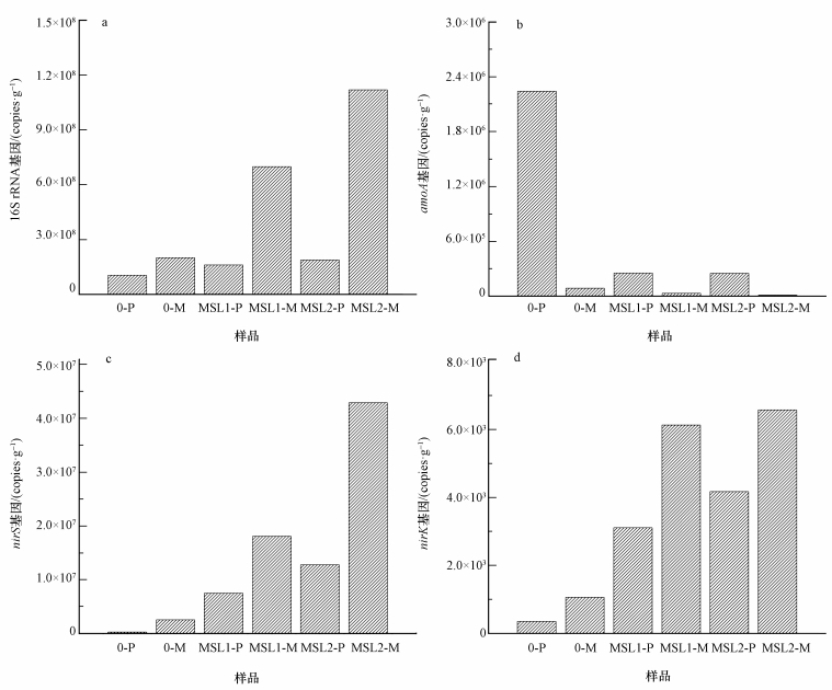
16S rRNA編碼基因序列長度適中,遺傳信息豐富,在結構和功能上高度保守,常用來作為種間分類和系統發育的依據,通過對16S rRNA基因的定量,能夠在一定程度上反映微生物量的多少和豐度.采集的6種填料樣品(曝氣段0-P、0-M和非曝氣段MSL1-P、MSL1-M、MSL2-P、MSL2-M)表面生物膜微生物的16S rRNA基因拷貝數進行定量,檢測結果如圖 4a所示

圖 4 6種樣品填料生物膜細菌16S rRNA (a)、amoA(b), nirS(c)和nirK(d)基因拷貝數
由圖 4a可以看出,MSL系統“曝氣段”填料樣品(0-P、0-M)的生物膜細菌16S rRNA基因拷貝數總量小于兩組“非曝氣段”填料樣品總量(MSL1-P、MSL1-M,MSL2-P、MSL2-M);對比MSL系統中的PL層和ML層填料樣品16S rRNA基因拷貝數,無論“曝氣段”還是“非曝氣段”,ML層的生物膜細菌均大于PL層.MSL系統中土壤模塊層的微生物豐度更大,是由于土壤模塊層中的腐殖質土、陶砂、竹炭、鋼渣、石灰石等為微生物在其上附著生長提供了有效的空間,而其中固相碳源的酶解為反硝化有機異養菌的生長提供了良好的微環境營養條件;MSL系統的滲濾層為防止系統堵塞選擇的是單一、顆粒較大的重質陶粒,相對比表面積小,其上生物膜的生物量豐度相對較少.對比2組MSL系統,MSL1和MSL2“非曝氣段”ML層填料樣品(MSL1-M、MSL2-M)的生物膜細菌16S rRNA基因拷貝數,MSL2-M>MSL1-M,添加固相碳源GC-4能顯著增加系統內的微生物豐度,在微觀層面解釋了MSL2的污染物去除效果好于MSL1的微生物機理.
3.3.2 amoA基因
氨氧化過程是硝化過程的限速步驟,amoA基因是參與氨氧化過程的關鍵基因,也是最常用于研究氨氧化細菌的基因之一.有研究表明,所有的氨氧化細菌均含有編碼催化氨氧化作用的amoA基因,以amoA基因作為分子標記物在對AOB (Ammonia Oxidizing Bacteria,氨氧化細菌)的豐度和種類研究領域得到了廣泛的應用.采集的6種填料樣品表面生物膜細菌amoA基因拷貝數qPCR檢測結果(圖 4b).
由圖 4b可以看出,在MSL系統amoA基因主要分布在“曝氣段”PL層樣品(0-P)重質陶粒表面,遠高于同處于“曝氣段”的ML層樣品(0-M),也比“非曝氣段”的所有樣品多出1個數量級以上.由此可看出,MSL系統硝化過程主要由“曝氣段”尤其是滲濾層PL重質陶粒表面生物膜上氨氧化細菌完成.進水中較高的氨氮濃度、PL層填充的重質陶粒粒徑較大,MSL系統的“曝氣段”創造了良好的好氧環境,使得大量好氧硝化細菌在這里生長繁殖,表現出優異的硝化效果.amoA基因在MSL系統“非曝氣段”樣品(MSL1-P、MSL2-P)也出現一定的拷貝數,說明在“非曝氣段”的滲濾層中也存在著某些氨氧化細菌.
3.3.3 nirS與nirK基因
亞硝酸鹽還原酶Nir催化NO2-N還原為NO的過程是反硝化過程的限速步驟,也是區別于其他硝酸鹽代謝的標志性反應.亞硝酸鹽還原酶包括細胞色素型(由nirS基因編碼)和Cu型(由nirK基因編碼),對nirS和nirK基因的定量研究能夠準確反映MSL系統中各單元反硝化菌群的豐度.樣品qPCR檢測結果如圖 4c、4d所示.
對比圖 4c和d可以發現,2組MSL系統填料樣品表面生物膜nirS和nirK基因拷貝數有相同的規律性,且nirS基因拷貝數普遍比nirK基因高3~4個數量級,與反硝化功能基因相關文獻報道相似.nirS和nirK基因主要分布于MSL系統“非曝氣段”尤其是其中的土壤模塊層ML內,而在“曝氣段” ML層(0-M)中有少量存在.由圖 4c中比較MSL系統“非曝氣段”土壤模塊層(ML)中nirS基因豐度,MSL2-M明顯高于MSL1-M,這是新型碳源GC-4比傳統碳源鋸末屑更易被反硝化菌所利用而有利于它的富集升高表現出更好的反硝化脫氮效果.具體參見污水寶商城資料或http://m.bnynw.com更多相關技術文檔。
4 結論
1) 在整個運行階段,MSL1系統和MSL2系統的TN平均去除率分別為58.53%、70.34%,證明了在不同條件影響下,添加新型材料的MSL2比MSL1表現出較好的強化脫氮性能;
2) 在相同表面水力負荷(1.0 m3·m-2·d-1)條件下,水溫的降低會直接降低系統的脫氮效率.當水溫從平均19 ℃下降到 < 15 ℃時,MSL1系統對NH4+-N、TN的平均去除率分別由91%、62%下降為81%、45%,MSL2系統對NH4+-N、TN的平均去除率分別由88%、72%下降為80%、55%,但MSL2系統仍然優于MSL1系統.
3) 水力負荷的降低會提高2個系統TN去除率大約20%,證明了低水力負荷利于系統的脫氮效果.在各個運行階段,MSL系統添加固相碳源均沒有出現碳源過度釋放現象,表現出較好的COD去除效果.
4) 分子生物學研究揭示了兩段式MSL系統中微生物、硝化菌、反硝化菌的功能分區及其豐度,在生物量和反硝化基因數量上MSL2均大于MSL1,硝化菌(amoA基因)集中分布在微曝氣段,反硝化菌(nirS、nirK)集中分布在土壤模塊層層,比較好解釋了不同碳源類型條件下MSL系統的脫氮效果的差異性.


