1 引言
抗生素濫用、抗生素環境污染的真正危害在于加劇細菌耐藥性, 引起加大恐慌的“超級細菌”.污水處理廠排水是環境中抗生素的重要排放點源.掌握污水廠各工藝單元污水中抗生素的含量水平, 優化現有或開發新的處理工藝, 提高污水廠抗生素藥物的去除效果, 已成為目前環境工作者關注的熱點問題.Carballa等對加拿大加利西亞一污水處理廠中抗生素等藥物的含量進行了檢測, 發現濃度水平在ng·L-1~μg·L-1之間, 活性污泥法可以去除部分物質; Zorita等對比分析了瑞典某生活污水和制藥廢水處理過程中13種抗生素的賦存特征, 結果表明3級深度處理可以顯著去除大部分調查藥品; Gao等對美國密歇根州某污水處理廠中15種抗生素藥物的去除效率進行了調查, 并通過質量平衡法探究了藥物的遷移過程, 認為吸附對所研究的幾種抗生素的去除微不足道, 生物轉化和降解是主要機制.國內的相關研究起步較晚, 甘秀梅等采用SPE-HPLC-MS法調查發現, 我國西南地區某污水處理廠中10種典型抗生素的濃度水平在ng·L-1~μg·L-1之間; 嚴清等檢測了包括磺胺類、喹諾酮類抗生素在內的8種醫藥活性物質在污水處理廠中的含量水平, 并采用EN/PNEC綜合評價法評估了其生態風險, 結果表明, 目標物質在水相中的檢出濃度在ng·L-1~μg·L-1之間, 磺胺甲惡唑、氧氟沙星等在污水廠出水及污泥中的綜合評價因子大于1, 可能對環境存在不同程度的危害.我國地域遼闊, 地區差異大, 抗生素用藥習慣不盡相同, 探究西北內陸城市生活污水處理廠中抗生素藥物的賦存與分布情況, 可以豐富中國的抗生素污染數據庫, 為進一步控制抗生素藥物的環境風險提供支持.
本文調查了9種磺胺類、4種氟喹諾酮類以及1種氯霉素共14種典型抗生素在蘭州市兩個生活污水處理廠中的含量水平及受納河流中的分布情況, 并對其在受納水體中的環境風險進行了初步評估, 揭示了抗生素在污水處理廠中的分布規律, 為探究其去除機制和生態效應提供了科學依據.
2 材料與方法
2.1 儀器與試劑
14種目標抗生素包括9種磺胺類抗生素(SAs):磺胺嘧啶(SD)、磺胺砒啶(SPD)、磺胺噻唑(ST)、磺胺甲基嘧啶(SM1)、磺胺二甲基嘧啶(SM2)、磺胺甲基惡唑(SMZ)、磺胺間甲氧嘧啶(SMM)、磺胺間二甲氧嘧啶(SDM)和磺胺增效劑甲氧芐啶(TMP); 4種氟喹諾酮類抗生素(FQs):環丙沙星(CIP)、諾氟沙星(NOR)、氧氟沙星(OFL)、恩諾沙星(ENR)以及氯霉素(CHL), 以上標準品均購自北京百靈威科技有限公司, 純度>98%.甲醇、甲酸為色譜純, 鹽酸為分析純, 實驗用水均為超純水.
固相萃取柱(Oasis HLB, 500 mg/6 mL)購自Waters公司, 使用前用10 mL超純水和10 mL甲醇活化.其他儀器有高效液相色譜儀(Agilent 1260, 配紫外檢測器)、固相萃取裝置、精密pH計(雷磁PHS-3C)、氮吹儀(美國Orangaomation, N-EVAP112)、渦旋混合儀、超聲波清洗器、離心機等.
2.2 樣品采集
選擇蘭州市兩家生活污水處理廠, A廠服務人口約80萬, 處理規模為18萬m3·d-1, 污泥產生量約180 t·d-1, 含水率為75.05%;B廠服務人口約50萬, 處理規模18萬m3·d-1, 污泥產生量約150 t·d-1, 含水率為80.62%, 部分參數如表 1所示.于2014年12月至2015年1月, 采集兩廠各處理單元污水、活性污泥、脫水污泥及排水受納河流水體樣品, 共3次.污水處理廠各單元進水和出水的采樣點見圖 1.受納河流采樣點分別設置在排污口上游500 m, 排污口下游200 m.所有采集水樣均為瞬時水樣.(其中, 污泥負荷是指單位質量活性污泥在單位時間內所能承受五日生化需氧量 < BOD5>的量, 其單位為kgBOD5·(kgMLSS·d)-1).
表 1 污水處理廠部分參數


圖 1污水廠流程及采樣點示意
2.3 樣品處理
水樣經0.45 μm微孔濾膜過濾除去懸浮顆粒雜質后, 準確量取500 mL, 加入0.2 gNa2EDTA, 鹽酸調節pH為3, 以5~10 mL·min-1的流速通過已活化的HLB固相萃取柱, 用10 mL超純水淋洗, 抽干20 min后, 用6 mL酸化的甲醇(含甲酸0.2%)溶液洗脫.洗脫液于40 ℃下柔和氮氣吹干, 最后用1 mL甲醇定容, 待測.
取冷凍干燥后的污泥樣品5 g, 加入15 mL甲醇、5 mL 0.1 mol·L-1Na2EDTA和10 mL檸檬酸緩沖溶液(pH為3), 渦旋混合1 min后, 超聲萃取15 min, 離心, 取上清液, 重復操作2次, 合并3次提取液, 超純水稀釋至500 mL, 進行固相萃取, 步驟同上.
2.4 HPLC分析
ZORBAXHC-C18(250 mm×4.6 mm, 5 μm)色譜柱, 流動相A:超純水(含0.2%甲酸), 流動相B:乙腈(含0.2%甲酸), 進樣量10 μL.磺胺類抗生素檢測波長為268 nm, 柱溫30 ℃, 流速為0.5 mL·min-1, 洗脫程序為0~40 min, 95%A~60%A; 40~45 min, 60%A; 45~45.05 min, 60%A~95%A; 45.05~55 min, 95%A.喹諾酮抗生素檢測波長為273 nm, 柱溫30 ℃, 流速1 mL·min-1, 洗脫程序為0~15 min, 81%A, 19%B.氯霉素檢測波長278 nm, 柱溫30 ℃, 流速為1 mL·min-1, 洗脫程序為0~10 min, 55%A, 45%B.
2.5 質量保證與質量控制
采用外標法對樣品進行定量分析, 線性方程濃度范圍為0.01~1 mg·L-1, R2值均大于0.99.分別在河水、污水及脫水污泥中添加標準樣品進行回收率實驗.設置平行樣控制實驗誤差, 并在進樣過程中同時測定固定濃度標樣進行質量控制, 取10倍信噪比為定量限(LOQ).各抗生素在河水、污水基質及脫水污泥中的回收率分別在63%~103%、79%~117%以及46%~107%之間, LOQ分別為0.2~4.1 ng·L-1、0.1~12.6 ng·L-1及0.1~5.6 ng·g-1.
2.6 質量平衡分析
抗生素在污水和污泥中的平均質量流量可由式(1)、(2)計算.
(1)
(2)
式中, Mw、Ms為抗生素在污水相中和污泥相的質量流量(g·d-1), Cw和Cs為污水和污泥中測得的抗生素的濃度(μg·L-1, μg·g-1), Q、P分別為污水處理廠中污水的流量和污泥的產率(考慮含水率)(m3·d-1, t·d-1).
抗生素在污水處理過程中的去除率為:

(3)
式中, Ci、Ce為進水、出水中抗生素的濃度(μg·L-1), 則污泥吸附率和出水排放率可由式(4)、(5)表示

(4)

(5)
3 結果與討論(Results and discussion)3.1 污水廠進水與總出水中抗生素的濃度水平
14種抗生素在污水處理廠進出水中的含量如表 2所示.A廠進水中, 除SMT外, 其余13種抗生素均有檢出, 濃度范圍在0.10~20.07 μg·L-1之間.B廠進水中, SM2未檢出, 其余13種抗生素的檢出濃度在0.22~55.25 μg·L-1之間.CHL在A、B廠進水中均具有最高檢出濃度, 可能與藥物使用量和其物理化學性質有關.整體上, B廠進水中抗生素的平均濃度高于A廠, 可能原因是其服務區域內有牛、羊集中宰殺、販賣點, 獸用抗生素使用量大.兩廠進水中SPD的濃度分別為3.52、2.50 μg·L-1, 高于北京污水廠的測量結果(0.08~1.50 μg·L-1).研究認為, SPD很少直接用于抗感染治療, 污水中的SPD主要來源于用量較大的柳氮磺胺吡啶的代謝產物.B廠進水中SMT含量為0.25 μg·L-1, 低于西南某污水處理廠進水中的2.94 μg·L-1.TMP最高進水濃度為30.89 μg·L-1, 遠高于北京、西南所測, 可見作為磺胺類抗生素的輔助藥物, TMP在蘭州地區的使用很廣.氟喹諾酮類抗生素中, OFL的進水檢出濃度最高, 與北京清河污水處理廠類似, NOR進水濃度與之相當, ENR濃度較高.藥物進水濃度差異明顯, 與污水處理廠服務區域、污水來源、污水量等因素息息相關.
表 2 進出水和污泥中抗生素的含量

A廠總出水中檢出10種抗生素, 含量在0.03~9.78 μg·L-1之間.B廠總出水中檢出12種抗生素, 含量在0.06~8.70 μg·L-1之間, 其中OFL和TMP的檢出濃度最高.兩廠總出水中, ST未檢出, SM1、SM2、SMT濃度與廣州某污水廠出水所測相當, SPD檢出濃度較高; 氟喹諾酮抗生素中, CIP在出水中均未檢出, NOR、ENR的出水濃度高于重慶某污水處理廠出水.芬蘭12個污水廠出水中OFL的平均濃度也低于本研究所測.總體上, 蘭州市兩家污水處理廠總出水中, 磺胺類抗生素SPD濃度較高, 其余幾種藥物濃度與其他污水廠出水濃度相當或略低; 氟喹諾酮類抗生素中, CIP濃度普遍低于他人研究, NOR濃度處于正常略高水平, OFL的出水濃度卻遠高于其他研究所測; CHL在文獻中的報道較少.不同污水處理廠抗生素的去除效果不同, 出水濃度差別較大.
3.2 污水處理單元中抗生素的分布
A、B污水廠各處理單元污水中14種抗生素的濃度分布如圖 2所示, 兩廠分布特征相似.SD、NOR在各個環節出水中的濃度變化不大, 比較穩定; ST經過格柵處理后, 完全去除; CHL在初級處理后, 濃度迅速下降, 應該是吸附在大顆粒物表面, 隨顆粒物的沉降而得以去除.初沉池、沉砂池中的抗生素隨污水及二沉池回流的部分污泥進入A2O工藝單元, 活性污泥的吸附作用以及微生物的轉化、降解作用使得大部分抗生素都有一定去除.A2O工藝是利用微生物進行脫氮除磷的傳統污水處理工藝, 對抗生素這種能夠對微生物生命代謝活動產生抑制作用的新型污染物去除能力有限.污水中高濃度抗生素物質存在, 可能會影響微生物生物活性, 從而影響常規污染物的處理效率.根據PPCPs吸收光子的特征, 研究認為紫外光可以有效降解PPCPs(Carballa et al., 2007).本研究中, SPD、TMP以及4種氟喹諾酮抗生素在紫外消毒后, 濃度均明顯下降, 說明紫外光的確能夠降解部分抗生素.而SM2、SDM濃度出現不降反增情況, 可能如周海東等認為的, 在UV的照射下物質的結合體結構發生變化進而形成自由體, 并可能使基質中的物質間相互作用改變, 更多的目標物被釋放進液相中而使檢出濃度升高.B廠使用含氯消毒劑進行消毒, 消毒出水中, 有8種抗生素的濃度升高.有研究認為, 污水中大量有機物未被去除時進行加氯消毒, 不僅由于有機物消耗消毒劑導致消毒效果不好, 而且還會產生大量的有機氯化物, 此類物質大多具有毒性甚至三致效應, 嚴重威脅人體健康.因此, 抗生素含量高的廢水不適宜采用加氯試劑消毒.目標抗生素在污水廠不同環節的去除效果不同.初級處理中, 一方面抗生素會吸附在大顆粒物表面, 隨顆粒物的沉降而去除, 另一方面, 原先以螯合形式存在于污水中的物質也會釋放到水體中, 造成藥物含量的上升; 二級處理中, 微生物會對目標抗生素進行降解, 抗生素也會影響生物活性, 活性污泥能夠吸附抗生素, 污泥中的抗生素也會釋放到水中, 導致水中抗生素含量發生變化.

圖 2污水處理廠各工藝單元出水中目標抗生素的濃度分布
不同抗生素在不同處理廠間的去除率波動較大(圖 3).A廠中, 14種物質的去除率在66.07%~100%之間, ST、SMM、CIP、ENR完全去除, SMT在進水中未檢出, 在出水中檢出濃度為0.06 μg·L-1, 可能是在去除過程中由其他物質轉化而來; B廠中幾種抗生素的去除率在15.39%~100%之間, ST、CIP完全去除.兩廠中均有不同藥物出現負去除, 推測原因可能為吸附在懸浮物或污泥中的抗生素釋放到水體中, 造成出水中抗生素含量上升; 或者是在污水處理過程中抗生素的共扼代謝物發生聚合或生物轉化, 使目標物含量升高.現有處理工藝不能完全去除污水中的抗生素, 殘留藥物會誘導抗性菌產生, 進入到生態環境中的抗性菌能夠通過水平轉移將抗藥基因傳播給病原菌, 增強病原菌的抗藥性, 給人體健康帶來潛在風險.因此, 可以考慮將抗生素類物質列入污水控制指標, 開發經濟有效的處理工藝, 減少抗生素的環境排放, 降低環境風險.

圖 3抗生素在2個污水廠中的去除效率
3.3 污泥中抗生素的濃度
A廠活性污泥中檢出11種目標抗生素, 含量在0.01~0.67 μg·g-1之間, 脫水污泥中檢出12種目標抗生素, 含量在0.03~1.35 μg·g-1之間(表 2).B廠活性污泥和脫水污泥中均檢出10種目標抗生素, 含量分別在0.01~0.69和0.02~2.08 μg·g-1之間(表 2).B廠兩種污泥中抗生素的平均濃度高于A廠.兩廠脫水污泥中抗生素的平均濃度高于活性污泥中的平均濃度.各抗生素含量變化范圍較大, SD、ST未檢出, TMP、SM1、CHL濃度較高.與廣州、香港污水廠脫水污泥中抗生素的含量相比, NOR的濃度偏低, SD、SMT、OFL的濃度與之相當, SM2、CHL的濃度較高.嚴清等報道的重慶污水廠活性污泥中TMP的含量為0.01 μg·g-1, SMT的含量為0.02 μg·g-1, 低于本研究所得結果, NOR、OFL的含量則高于本文.污泥吸附是污水廠中抗生素的去除機制之一, 受藥物自身及污泥理化性質影響, 并不適用于所有種類的抗生素.且此機制只是將液相中的抗生素物質轉移到固相介質中, 并不能減少環境排放量, 還可能進一步增加去除難度.通過吸附能否有效固定抗生素, 也有待進一步研究.
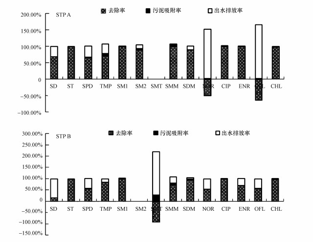
3.4 質量平衡分析
利用質量平衡分析法分析抗生素在污水處理廠中的潛在去除機制.目標抗生素在A、B兩廠進水中的總日質量負荷分別為8330.88、25184.38 g·d-1; 出水中的總日質量負荷分別為2502.93、3094.19 g·d-1; 污泥中的總日質量負荷分別為176.85、153.62 g·d-1.污泥吸附分別占進水總負荷的2.1%、0.6%.Gao等(認為抗生素等藥物在污水處理過程中主要通過生物轉化/降解、吸附和揮發去除, 多數PPCPs類物質的亨利系數非常低, 揮發作用可以忽略.因此, 可以假定其主要去除機制為生物轉化/降解和吸附.本研究中, 多數抗生素經過沉砂池(初沉池)處理后, 濃度下降明顯, 而沉砂池(初沉池)生物量不高, 故其去除應該是吸附在顆粒物表面, 隨顆粒物沉降所致.活性污泥中抗生素的總日質量負荷僅為進水總負荷的2.1%、0.6%, 所占比例不高, 可以推測二級處理的主要去除機制是生物轉化和降解.選擇A、B兩廠進水中檢出的抗生素, 以其不同途徑去除率為基礎作圖(圖 4), 可以看出, A廠TMP、SMM和B廠SMT、SMM在污泥中的含量相對較高, 剩余物質均在污泥中負荷較低, 兩廠SD、ST以及B廠NOR、OFL的污泥吸附率為0, 表明生物作用對去除起主要影響.NOR、OFL屬于氟喹諾酮類抗生素(FQs), 通常認為容易吸附到固相介質中, 實驗所測污泥中的含量并不高.Li等(2004)認為污泥對氟喹諾酮類抗生素的吸附主要受靜電引力作用, Ca2+和Mg2+等濃度較高, 會明顯降低FQs在活性污泥上的吸附.蘭州地區廢水中含鹽量通常較高, 容易通過競爭吸附抑制FQs的吸附, 導致污泥中NOR、OFL的含量降低.另一方面, 不同活性污泥法的微生物群落不同, 所選污水廠的活性污泥中可能產生了某些降解FQs的微生物細菌, 分解了污泥中的部分FQs.

圖 4目標抗生素的質量平衡分析
3.5 受納水體中抗生素含量水平及潛在風險評價3.5.1 受納水體中目標抗生素的濃度
黃河蘭州段是本研究中A、B污水廠出水的受納水體, 目標抗生素在排污口上游和下游水體中的含量如圖 5所示.A廠上游中檢出6種抗生素, SMT的濃度最高, 為0.05 μg·L-1, SM1次之, 濃度為0.04 μg·L-1.下游中檢出7種抗生素, TMP、SPD、CHL的濃度相對較高, 分別為0.23、0.14、0.11 μg·L-1, 磺胺類抗生素的檢出較多; B廠上游中檢出4種抗生素, TMP和SM2的濃度相對較高, 下游中檢出7種抗生素, SM2檢出濃度最高, 達0.47 μg·L-1.排污口上游抗生素有不同程度的檢出, 可能是污水廠出水或其他排放源排水中殘留的抗生素排放后經水流擴散所致, 也可能是存在于水體、沉積物中的抗生素發生了遷移轉化; 排污口處抗生素濃度明顯增加, 且高于上游、下游采樣點所測濃度; 排污口下游抗生素的檢出濃度普遍高于上游, 污水處理廠排水增加了水中抗生素的濃度.黃河蘭州段水體中抗生素的來源之一應是污水廠排放.

圖 5排污口上下游中抗生素的濃度
3.5.2 潛在風險分析
質量平衡分析中算得A、B兩廠出水中目標抗生素的總日質量負荷分別為2502.93、3094.19 g·d-1, 由此可得兩廠每天向黃河蘭州段排放14種抗生素的量約為5.66 kg.相比其他污染物, 抗生素的負荷量并不高.但抗生素類物質使用量大、頻率高、處理率低, 致使其源源不斷地輸入到環境水體中, 造成“假持久性”現象.殘留抗生素低濃度、長周期的暴露給生物體和生態環境帶來的潛在風險不容忽視.
采用風險熵(risk quotient, RQ)評價法評價受納水體中抗生素的環境風險.RQ的計算方法為檢測環境濃度(measured environmental concentration, MEC)與預測無效應濃度(predicted no effect concentration, PNEC)的比值.當RQ < 0.1時, 表明存在較低風險; 當0.1 < RQ < 1時, 表明存在中度風險; 當RQ>1時, 表明存在高度風險, 需要采取相應的風險消減措施.各目標抗生素的PNEC可參照文獻獲得, 根據風險評價中“最壞情況”原則, 使用最大檢出濃度計算污水廠出水中各抗生素的RQ值, 結果如表 3所示.可以看出, TMP、NOR的RQ值大于1, 表明他們對環境存在較高風險, SM2和CHL的RQ值在0.1~1之間, 存在中度風險, 剩余幾種物質存在較低風險.
表 3 目標抗生素的PNECs值, 環境中最大檢出濃度以及RQs

事實上, 污染物通常是多種共存的, 單一藥品的風險效應并不能反映實際情況, 應該考察多種藥物共存下的復合效應.Backhau等曾采用簡單加和模型考察污染物的聯合毒性風險熵, 參照此模型
, 14種抗生素的聯合風險RQsum遠大于1, 低濃度、多種抗生素長期殘留, 可能引起微生物抗藥性的發展和傳播, 具有較高的生態風險效應.因此采取改進污水處理工藝等措施, 減少抗生素環境殘留, 控制水體中抗生素的潛在風險尤為重要和迫切.具體參見污水寶商城資料或http://m.bnynw.com更多相關技術文檔。
4 結論
1) 蘭州市兩座大型生活污水處理廠進水和出水中均有多種典型抗生素檢出, 其濃度差別明顯.進水中目標抗生素濃度在nd~55.25 μg·L-1之間, 出水中濃度在nd~9.78 μg·L-1之間.活性污泥和脫水污泥中均有抗生素檢出, 含量在nd~2.08 μg·g-1之間, 脫水污泥中抗生素的平均濃度高于活性污泥.
2) 14種抗生素在兩廠間的去除率在15.39%~100%之間, A2O工藝對抗生素的去除能力有限.質量平衡分析表明, 二級處理中, 生物轉化或降解起主要作用.
3) 排污口上下游有不同程度的目標抗生素檢出, 污水處理廠排水增加了受納水體黃河蘭州段中抗生素的濃度, 是黃河蘭州段抗生素的來源之一.風險熵評價結果表明, TMP、NOR對環境存在較高風險, 低濃度、多種抗生素長期殘留的復合風險效應不容忽視.


