1 引言
污水生化處理過程會產生大量污泥, 這些剩余污泥含水率很高, 且脫水性能差, 極大地增加了后續處理環節的負擔.因此, 在對污泥實現無害化和資源化之前必須進行減量化處理, 即降低污泥的含水率.由于剩余污泥顆粒表面攜帶負電荷, 親水性強, 與水分子結合非常緊密, 因此, 在進行脫水之前, 一般需先加入絮凝劑調理, 在改善脫水性能后, 方能進行機械脫水.陽離子聚丙烯酰胺(CPAM)水溶性好、攜帶正電荷, 能通過電中和、架橋吸附等作用與污泥顆粒相結合, 對污泥的資源化利用影響小, 比其他絮凝劑更具優勢, 故而在實際生產中被廣泛使用.
然而高效的CPAM價格昂貴, 使得污泥脫水過程成為污水處理廠運行成本最高的環節, 該環節的藥劑費用約占污水廠運行成本的30%~60%.因此, 選用合適的CPAM是污泥高效脫水和降低處理成本的關鍵要素.為此, 近些年有較多圍繞降低污泥脫水成本的脫水工藝與技術研究, 主要集中在物理與化學方法、有機與無機混凝劑聯合調理等方面.例如, 牛美青等研究發現, 氯化鐵與CPAM聯合調理可提高污泥脫水效果;李愷等運用冷融技術配合化學混凝劑對污泥進行調理脫水.也有一些研究關注CPAM對污泥理化性質的影響, 主要針對藥劑量, 李婷等探究了CPAM投藥量對污泥理化性質的影響.而針對CPAM促進污泥脫水的機理研究很少, 特別是CPAM的吸附架橋與電中和對污泥脫水的協同作用, 如CPAM多樣性的分子量和離子度對于上述兩種機理發揮效用的影響, 以及CPAM對污泥脫水的關鍵因子——胞外聚合物(Extracellular Polymeric Substance, EPS)的影響, 尚未見相應的探討.
因此, 本研究選取12種不同分子量和離子度的CPAM對剩余污泥進行調理, 測定污泥比阻、污泥上清液濁度、Zeta電位、胞外聚合物, 并結合三維熒光分析等手段, 探究CPAM分子量與離子度對污泥脫水性能的影響機理, 以期為污水處理廠選擇適宜的CPAM型號和企業開發用于污泥脫水的高效CPAM提供參考.
2 材料與方法
2.1 試驗材料
2.1.1 污泥來源
實驗污泥取自福州祥坂污水處理廠的二沉池剩余污泥.該廠服務范圍約560 hm2, 已建成污水處理能力9×104 m3·d-1, 是國內較早采用具有脫氮除磷A/O工藝和利用國外貸款的市政污水處理項目.
考慮到原始剩余污泥含水率很高(約99.8%), 故將取回的原始污泥先自由沉降, 穩定后取下層濃縮污泥作為實驗污泥樣品.實驗中的污泥樣品基本參數如表 1所示.
表 1 污泥的基本性質

2.1.2 絮凝劑
絮凝劑為12種不同分子量和離子度的CPAM, 相應樣品編號見表 2.用純水將CPAM溶解并配成濃度為300 mg·L-1的溶液后用于污泥調理試驗, 實驗過程CPAM投加量按實驗污泥干污泥量的0.3%投加.
表 2 陽離子型聚丙酰胺規格

2.2 試驗方法
污泥比阻測定參照《水污染控制工程實驗》(陳澤堂, 2003)中的測定方法;濁度采用WGZ-2B數顯濁度儀(上海昕瑞儀器儀表有限公司)測定;Zeta電位采用Zetasizer Nano-ZS(Malvern Instruments Ltd.)測定;污泥的胞外聚合物(Extracellular Polymeric Substance, EPS)采用熱提取法來提取, 具體方法為:在離心管中加入50 mL實驗污泥, 4000 r·min-1離心5 min后舍棄上清液, 加入15 mL的0.05% NaCl溶液進行溶解, 再用預加熱到70℃的0.05% NaCl溶液稀釋至50 mL(可使污泥懸浮液立即達到50℃左右), 經往復式振蕩機振蕩5 min及4000 r·min-1下離心10 min后, 此時上清液中的有機物視為微生物的溶解態胞外聚合物(LB);在提取LB之后殘留著污泥的離心管中加入0.05% NaCl溶液直至體積恢復至50 mL, 移入60℃水浴鍋中熱浴30 min, 再經4000 r·min-1下離心15 min后的上清液便為結合態胞外聚合物(TB).EPS主要由上清液中的蛋白質、多糖和核酸等含量來表征, 其中, 蛋白質采用考馬斯亮藍法測定, 多糖用蒽酮比色法測定, 核酸由紫外分光光度法測定.
三維熒光光譜:采用HITACHI F4600(HITACHI, 日本)熒光分光光度計測定, 激發光源為氙燈, 激發波長λEx=200~420 nm, 發射波長λEm=250~500 nm, 激發狹縫寬度為10.0 nm, 發射狹縫寬度為5.0 nm, 掃描速度為12000 nm·min-1, 光譜圖分析在FL Solutions上進行.三維熒光的結果以J×K的矩陣呈現, 其中, J代表發射波長, K代表激發波長.I個樣品就構成I×J×K的三維矩陣, 采用平行因子分析方法對形成的三維矩陣進行處理, 可更快捷、準確地從三維熒光激發-發射光譜矩陣中獲得上清液的有效成分.
3 結果與討論
3.1 不同CPAM對污泥脫水性能的影響
污泥比阻常稱比阻抗, 是表征污泥脫水性能的一項最重要指標.通常污泥比阻減小, 表示其脫水性能相對較好, 即越容易脫水, 反之則越難脫水.因此, 研究中通過測試不同CPAM調理后污泥的比阻抗差異, 來分析CPAM的分子量與離子度對絮凝效果的影響.
圖 1為加入等劑量(實驗污泥干泥量的0.3%)的表 2中12種不同CPAM調理后的污泥比阻數值變化情況.可以看出, 投加CPAM能降低污泥比阻, 從而提高脫水性能.實驗發現, 40%、50%和60% 3種離子度的CPAM隨著分子量增大, 其調理后的污泥比阻值均呈現較為顯著的降低, 當分子量達到10×106時, 污泥比阻趨于穩定, 表明這種增強作用有限.此外還發現, 離子度為50%的CPAM的調理效果明顯優于離子度為40%和60%的CPAM, 說明過低離子度的CPAM可提供的正電荷相對有限, 致使電中和能力不足而影響絮凝作用;過高離子度則會使污泥絮體周圍正電荷量過多, 造成膠體顆粒間因電荷排斥作用而無法更好地絮凝.

圖 1不同CPAM對污泥比阻的影響
3.2 不同CPAM對絮凝后污泥上清液性質的影響
CPAM用于污泥調質脫水是電中和與吸附架橋綜合作用的結果, 特別是其表面吸附作用, 即CPAM攜帶的—COO—、—CONH2—、—NH—等活性基團能將小膠體絮集形成大顆粒, 因此, 上清液濁度能用于反映CPAM對污泥的吸附混凝程度.
相關研究表明, 污泥調理過程所使用的絮凝劑種類、含量和離子度都會對污泥的Zeta電位產生影響, 上清液的Zeta電位變化可反映污泥絮凝過程電中和程度.
通過測定CPAM調理后污泥上清液的濁度及Zeta電位, 用來表征CPAM電中和與吸附架橋作用對污泥理化性質的影響, 有助于分析不同分子量與離子度在絮凝過程的作用.
3.2.1 不同CPAM對污泥絮凝效果的影響
圖 2是12種CPAM調理后污泥上清液濁度的變化結果.從圖中可以看出, 投加了CPAM的污泥上清液濁度大幅降低, 這是由于污泥中懸浮態微細顆粒在CPAM的電中和與架橋吸附作用下被大量捕獲, 污泥的絮凝沉淀效果因此提升.實驗發現, 對于離子度為60%的CPAM, 上清液濁度隨分子量增加而降低, 但當分子量>8×106時, 濁度不降反升, 這表明高離子度并不利于CPAM聚合結構的展開.而絮凝劑能否完全伸展, 最大化地提供吸附結合點位與絮凝效果息息相關, 故在高電解質濃度下, CPAM分子量超過一定范圍時, 顆粒物因吸附架橋受阻而繼續懸浮在上清液中, 導致濁度出現反彈, 從而負面地影響了絮凝效果.對于離子度位40%的CPAM, 上清液濁度在分子量為6×106時最低, 之后隨分子量增加, 未能捕捉的懸浮顆粒物越多, 上清液濁度上升.這可能是低離子度CPAM因其電荷密度較小, 正電荷濃度相對不足, 電中和能力較弱, 污泥調理過程許多攜帶負電荷膠體顆粒在因架橋吸附形成絮體的下沉中來不及發生電中和或未發生電中和作用而逸散, 導致很多細微顆粒仍懸浮在上清液中.對于離子度為50%的CPAM, 上清液濁度隨分子量增加而降低, 呈顯著的線性關系.可見, 適宜的電解質濃度對CPAM的吸附架橋作用十分重要, 在適當的CPAM離子度和分子量搭配下, 兩者對絮凝效果將存在協同作用.

圖 2不同CPAM對上清液濁度的影響
3.2.2 不同CPAM對上清液Zeta電位的影響
12種CPAM絮凝后污泥上清液的Zeta電位變化如圖 3所示.從表 1中可知, 未經CPAM調理的污泥上清液濁度為8.1 NTU, Zeta電位為-2.913 mV, 表明上清液處于比較穩定的狀態, 大量的顆粒物因攜帶負電荷相互排斥, 懸浮在上清液中無法沉淀下來.投加CPAM調理后, 上清液Zeta電位由負轉正, 說明CPAM改變了顆粒物表面的電性, 也使膠體顆粒脫穩.通過對污泥比阻與Zeta電位絕對值的相關性分析發現, 兩者呈顯著負相關(p < 0.01, r=-0.829), 說明污泥的失穩有利于原本懸浮的污泥顆粒絮凝沉降, 污泥脫水性能得到提高.

圖 3不同CPAM對上清液Zeta電位的影響
由圖 3可知, 從所加CPAM的離子度角度分析, 對于同一離子度的CPAM調理后污泥上清液Zeta電位總體趨勢為由負值變為正值, 且隨著分子量增大而上升, Zeta電位升高與分子量增大的相關性顯著, 相關系數達0.854(p < 0.01).這可能是由于相同離子度的CPAM隨著分子量增加, 單鏈結構越復雜, 架橋吸附能力越強, 鏈結構上的陽性基團捕獲負電荷顆粒物也就越快, 從而使得上清液的Zeta電位正值變大.從所加CPAM的分子量角度分析, 加入分子量為6×106的3種CPAM(CPAM-1~CPAM-3), 上清液Zeta電位變化不甚明顯, 這是由于3種分子量較小的CPAM的聚合結構較容易打開, 離子度對絮凝反應的影響較小, 絮凝機理以吸附架橋為主.隨著CPAM分子量變大(加入CPAM-4~CPAM-12), Zeta電位由負值變為正值, 變化顯著, 說明CPAM的陽離子電解質開始較明顯地發揮電中和作用, 從而改變膠體系統的電性.對于離子度為50%和60%的CPAM, 分子量為10×106(CPAM-8與CPAM-9)和12×106(CPAM-11與CPAM-12)的Zeta電位變化很小, 表明雖然CPAM的分子量越大, 架橋吸附作用越強, 但因釋放到上清液中的正電荷增至一定程度后開始阻礙CPAM分子完全延伸, 而CPAM的聚合結構越難以完全打開, 也會使架橋吸附作用得到抑制, 從而阻止鏈結構上正電荷的進一步被釋放, 使得上清液Zeta電位不再增大.
3.3 不同CPAM對胞外聚合物的影響
剩余污泥中的胞外聚合物(EPS)是活性污泥代謝過程中分泌的聚合態化合物, 主要由蛋白質、核酸、多糖組成.它具有雙層結構:外層松散附著EPS(Loosely Bound EPS, LB)結構松散, 無明顯邊界, 具有粘性;內層緊密粘附EPS(Tightly Bound EPS, TB)與細胞表面的細胞壁結合緊實, 相對穩定.因此, 本文通過對相應指標的測定, 探尋絮凝劑CPAM的加入對胞外聚合物產生的可能影響, 以揭示CPAM污泥調理的機理.
對提取得到的LB、TB稀釋10倍后進行熒光掃描, 利用3DEEM-PARAFAC法處理熒光數據, 上清液中出現了兩種類型的熒光峰(圖 4).其中, 圖 4a中的熒光峰(λEx/λEm=280 nm/270 nm)為絡氨酸, 圖 4b中的熒光峰(λEx/λEm=280 nm/360 nm)為色氨酸, 兩者均屬于類蛋白物質, 未發現屬于腐敗類物質的熒光峰.同時, 根據對LB、TB定量分析的結果(表 3), 在該實驗污泥的EPS中多糖含量遠低于蛋白質和核酸, 可認為剩余污泥的EPS中蛋白質、核酸將對其絮凝、脫水影響最大, 故研究中選取蛋白質、核酸這兩個指標來進一步揭示CPAM的離子度、分子量對污泥脫水性能的作用.

圖 4胞外聚合物的三維熒光光譜
表 3 實驗污泥中EPS主要組分含量

3.3.1 不同CPAM對EPS中蛋白質的影響
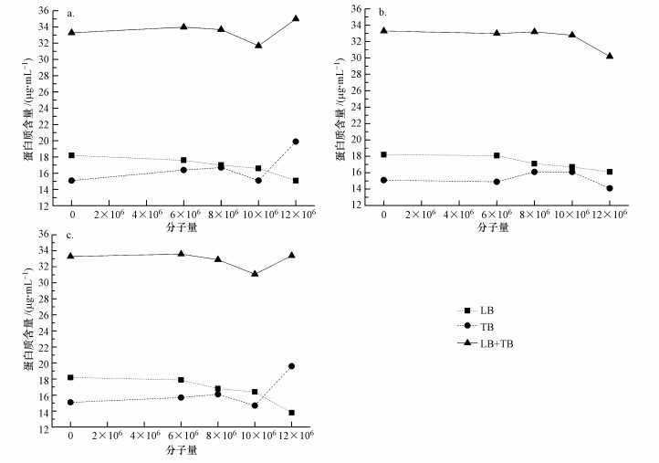
圖 5為12種CPAM調理后污泥胞外聚合物中蛋白質含量情況.剩余污泥蛋白質是有機生物大分子, 具有強親水性.實驗結果顯示, 不同CPAM的分子量、離子度組合對EPS中蛋白質影響不同:較小分子量(6×106、8×106)的CPAM在40%、50%離子度下, 蛋白質總量基本不變, 但離子度達到60%時, 蛋白質總量減少;分子量為12×106的CPAM在40%離子度下蛋白質總量也會明顯低于原污泥, 但在50%、60%等較高離子度時其含量回升.由此可見, 不同的CPAM(不同的分子量、離子度組合)對污泥胞外聚合物中的蛋白質會產生不同的影響, 這進一步說明了分子量、離子度對污泥絮凝脫水的作用機理并非是完全獨立的, 兩者會相互影響.從圖 5可以看出, CPAM的存在會使LB中蛋白質含量明顯降低, 在分子量相同的CPAM調理下, LB中蛋白質含量隨離子度的變化規律與圖 1中污泥比阻的變化規律基本一致, 說明LB對污泥絮凝沉降的影響比TB顯著.同時, LB中蛋白質含量也與CPAM的分子量存在顯著的負相關關系(p < 0.01, r=-0.877), 說明在相同離子度下, 加入的CPAM分子量越大, 則污泥LB中的蛋白質越少.加入CPAM后污泥中LB損失的蛋白質有可能被轉化為TB, 也可能因CPAM的增溶作用而被破壞, 可以認為, 只有較合適的分子量、離子度組合, 才能較好地破壞蛋白質, 從而降低污泥的親水性.

圖 5不同CPAM對EPS中蛋白質含量的影響(a.離子度40%, b.離子度50%, c.離子度60%)
3.3.2 不同CPAM對EPS中核酸的影響
圖 6為12種CPAM調理后對污泥胞外聚合物中核酸的影響.實驗結果顯示, CPAM會使EPS中核酸減少, 離子度50%、分子量10×106的CPAM對EPS中核酸的影響最為明顯, 這與該CPAM作用下污泥的比阻最小相一致.經相關性分析可知, 污泥胞外聚合物中核酸含量與污泥比阻、上清液濁度均呈顯著的正相關關系(與污泥比阻:p < 0.01, r=0.723;與上清液濁度:p < 0.01, r=0.828), 說明核酸含量的減少有助于提高污泥的絮凝沉淀效果, 改善污泥脫水性能.同時, 核酸總量與CPAM的離子度之間還存在負相關關系(p < 0.05, r=-0.77):當CPAM分子量相同時, 污泥胞外聚合物中的核酸含量會隨離子度的升高而降低.說明陽離子電解質在改變污泥顆粒表面電性的同時, 也使核酸分子變性、失活或被污泥絮體所固定, 導致核酸總量減少.此外, 綜合3.3.1節可以看出, 在所研究的實驗范圍內, 核酸對于污泥比阻的影響似乎高于蛋白質.具體參見污水寶商城資料或http://m.bnynw.com更多相關技術文檔。

圖 6不同CPAM對EPS中核酸含量的影響(a.離子度40%, b.離子度50%, c.離子度60%)
4 結論
(1)經CPAM調理后污泥的上清液濁度與污泥比阻呈顯著正相關, 污泥比阻與上清液Zeta電位呈顯著負相關.
2)上清液Zeta電位變化與CPAM分子量的顯著正相關表明, 分子量越大, 越有利于CPAM的電中和作用.
3)EPS中核酸含量的降低說明了CPAM調理使得整個污泥混合液體系發生改變, EPS的顯著下降也降低了污泥的親水性.
4)污泥比阻、上清液濁度、Zeta電位及EPS的變化結果表明, CPAM對污泥脫水性能的影響不是單純的離子度或分子量作用, 是兩者協同作用的結果.但即使協同作用的關聯變量多, 變量間的相互作用復雜, 也會有相適宜分子量的CPAM可在其聚合結構展開期間, 離子度對污泥顆?砂l揮最為理想電中和作用.對于具體的處理對象, 只能通過篩選獲得適宜分子量與離子度的CPAM, 對于本文的研究對象而言, 離子度50%、分子量10×106是較合適的選型.


