1 引言
為適應社會經濟的快速發展和日益緊張的能源需求,中國在河流上修建的水壩數量日益增多.水壩工程在帶來灌溉、供水、航運、防洪和發電效益的同時,也會引發生物棲息地喪失和水環境質量惡化等環境問題.水壩建成后,河水會淹沒岸邊大量的土地,進而改變流域內的生境條件.由于水壩工程的攔沙效應,大量重金屬元素由水相通過懸浮物沉積在庫底.庫底的沉積物既是重金屬的儲存場所,也會在一定條件下成為污染物的釋放源,因此沉積物中重金屬元素的含量是評價沉積物質量的主要指標,同時也可以反映流域內人類活動對水環境的影響程度.重金屬的生物活性和毒性與其在沉積物中的賦存形態緊密相關,其中重金屬的賦存形態包括可交換態、可還原態、有機質態、硫化物態和殘渣態.這些不同形態的重金屬往往會對環境質量形成直接或間接的影響,因而成為了解重金屬遷移性和潛在釋放能力的關鍵指標.目前,許多學者針對不同地區的水體沉積物的特征,研究了重金屬元素不同賦存形態的分布規律和污染程度,但是,鮮有學者針對梯級水壩工程影響下的河流沉積物進行重金屬形態分析及污染規律研究.
自20世紀80年代開始,中國在西南諸河規劃了梯級水電基地,僅在瀾滄江干流規劃建設5座梯級水電站(目前已建成4座).瀾滄江流域梯級水壩建設引發的生態環境問題也得到了國內外學者的廣泛關注,)評價了大壩建設對河流生態系統服務功能的影響和分別從瀾滄江境外河段的含沙量和境內河段的水文數據入手,定量研究了漫灣大壩造成的沉積物淤積規律;和分別就梯級水壩建設對流域植物、動物分布和生物完整性的影響進行了定量評價;解譯遙感影像解譯,分析了梯級水壩建設對土地利用類型和景觀連接度的影響.;研究了漫灣庫區沉積物的重金屬生態風險,但是并未從重金屬形態角度分析重金屬的污染水平和遷移能力.因此,本文以漫灣庫區和大朝山庫區作為梯級水壩工程建設案例,分析沉積物中不同重金屬賦存形態的含量和比例,揭示重金屬元素受人類活動和其他因素的影響,量化重金屬元素的污染水平,為流域重金屬生態風險的防控提供科學依據.
2 材料與方法
2.1 研究區域概況
研究區域屬于峽谷河流地區,冬季涼爽少雨,夏季炎熱多雨.漫灣庫區始于小灣水壩壩下,止于漫灣水壩壩前,回水距離70 km(圖 1).大朝山庫區始于漫灣水壩壩下,止于大朝山水壩壩前,回水距離80 km(圖 1).漫灣水電站于1986年開工建設,1993年開始投產,壩高132 m.大朝山水電站于1996年動工建設,2003年開始投產,壩高115 m.兩座水電站合計年發電量可達13.7億kW · h.
圖1(Fig.1)

圖1 研究區采樣斷面分布圖
2.2 樣品采集
本研究于2013年5月在漫灣庫區和大朝山庫區使用重力式抓泥斗對沉積物進行了系統采樣.根據兩個庫區的地形特征和河道長度,使用全球衛星定位系統分別在漫灣庫區和大朝山庫區布設12個采樣斷面和13個采樣斷面(圖 1).每個采樣斷面分別在距離岸邊5 m處和斷面中心采集樣品.考慮到水壩對水流的攔截效應根據,根據分類方法,按照水流速度的變化趨勢,將每個庫區劃分為3個區域,從上游到下游分別命名為河流區、過渡區和湖泊區.考慮到本研究中河道的支流較短,因此所有采樣斷面均位于河道干流.
2.3 樣品分析
各斷面不同位置的3個沉積物樣品經過等量混合后,于-65 ℃下冷凍干燥至恒重.在除去大石塊后過100目篩,密封冷藏保存待分析用.重金屬形態連續提取采用改進BCR四級五步提取法,具體步驟如下:①準確稱取1 g沉積物樣品置于聚丙烯離心試管中,加入0.11 mol · L-1醋酸溶液40 mL,在室溫下振蕩提取16 h,以4000 r · min-1離心分離,取其上清液,殘渣分別用8 mL 0.11 mol · L-1醋酸溶液清洗,離心分離,取其上清液合并于提取液中稀釋到50 mL,作為待測液,殘渣留作下一步分級提取物.此步提取的重金屬為可交換態(F1);②在殘渣中,加入0.1 mol · L-1NH2OH · HCl 40 mL(pH=3),室溫下振蕩16 h,殘渣用8 mL提取劑溶液清洗,離心分離,取其上清液合并于提取液中稀釋到50 mL,作為待測液,殘渣留作下一分級提取物.此步提取的重金屬為可還原態(F2);③在殘渣中,加入0.01 mol · L-1NaOH 40 mL,室溫下振蕩12 h,以4000 r · min-1離心分離,取其上清液,殘渣分別用8 mL 0.0l mol · L-1NaOH溶液清洗,離心分離,取其上清液合并于提取液中稀釋到50 mL,作為待測液.殘渣加入0.1 mol · L-1NH2OH · HCl(0.02 mol · L-1HCl)40 mL,室溫下振蕩16 h,以4000 r · min-1離心分離,取其上清液,殘渣分別用8 mL 0.1 mol · L-1NH2OH · HCl(0.02 mol · L-1HCl)溶液清洗,離心分離,取其上清液合并于提取液中稀釋到50 mL,作為待測液.殘渣留作下一步分級提取物.此步提取的重金屬元素均為有機物態(F3);④)將殘渣移入100 mL三角燒瓶中,滴加10 mL(分數次加入)0% H2O2溶液,搖勻,室溫下放置1 h,低溫水浴加熱1 h,間歇式搖動,加熱恒溫于(85±2)℃,蒸發至剩余溶液2 mL左右.補加H2O210 mL,重復上述蒸發操作,至剩余溶液2 mL左右.冷卻后加入l mol · L-1醋酸溶液3 mL(pH=2)搖勻,振蕩0.5 h,離心分離取其上清液,殘渣再加入4 mL 1 mol · L-1HAc溶液(pH=2)搖勻振蕩0.5 h,離心分離取其上清液與前述上清液合并,稀釋至10 mL作待測液,殘渣留作下一步消解用.此步提取重金屬為硫化物態(F4);⑤將殘渣移至微波消解儀中,使用HF-HNO3-HClO4體系進行消解,此步提取的重金屬為殘渣態(F5).
沉積物中重金屬總量的測試方法與殘渣態的方法相同.所有提取液和消化液采用ICP-AES(SPECTRO Analytical Instruments GmbH)測定金屬元素,分析過程中用程序空白、水系沉積物成分分析標準物質GBW07309來控制實驗的準確性和精確性,測得標準物質中各重金屬的變異系數均小于15%.沉積物干燥樣品在經過H2O2和HCL除去有機質和碳酸鹽的干擾后,使用Microtrac Inc S3500激光粒度儀測定粒度分布.總有機碳(TOC)采用TOC-V有機碳測定儀測定,總氮(TN)采用PerkinElmer 2400 CHN分析儀測定.
2.4 數據處理與分析
本研究采用EXCEL軟件對重金屬元素的空間分布進行分析,并計算各元素的最大值、最小值、變異系數,并通過公式進行重金屬人為貢獻率和污染水平的評價.針對沉積物中重金屬元素的分布影響因素,采用SPSS18.0中的Pearson相關性分析模塊進行計算.沉積物中值粒徑采用機關粒度分析儀自身軟件進行計算.
2.5 環境風險評價方法
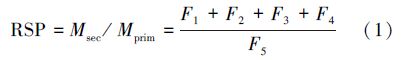
本研究采用次生相與原生相分布比值法(RSP)來估測環境風險.沉積物在未受污染的條件下,大部分重金屬都分布于礦物晶格和顆粒物包裹膜的鐵-錳氧化物中.而沉積物在受污染的條件下,人為源的重金屬元素較多被吸附于顆粒物表面或與顆粒物中的有機質結合.根據水系沉積物各地球化學相自身的起源和重金屬的來源,提出將顆粒物中的原生礦物稱為原生地球化學相(primary phase),將風化產生物和外來次生物質統稱為次生地球化學相(secondary phase),并提出次生相與原生相分布比值法來反映和評價沉積物中重金屬的來源和污染水平.具體公式如下:

式中,RSP表示污染程度;Msec表示沉積物的次生相中重金屬含量;Mprim表示原生相中重金屬的含量.F1表示交換態重金屬含量;F2表示還原態重金屬含量;F3表示有機質態重金屬含量;F4表示硫化物態重金屬含量;F5表示殘渣態重金屬含量. RSP≤1,表示無污染;1< RSP≤2,表示輕度污染;2< RSP≤3,表示中度污染;RSP>3表示重度污染.
3 結果與分析
3.1 重金屬總量含量分布規律
由表 1可知,在漫灣庫區和大朝山庫區,沉積物的中值粒徑從上游的河流區到下游的湖泊區均呈現明顯的下降趨勢,兩個庫區的沉積物中值粒徑均值差異較小.在過渡區和湖泊區,因為水壩對水流的阻攔效應,導致水流速度減緩,為河流中懸移質的沉積創造了更加有力的條件.從沉積物中值粒徑結果來看,從河流區到湖泊區,各庫區沉積物中的細顆粒含量呈現明顯的下 降趨勢.通過對比相鄰的漫灣庫區湖泊區和大朝山庫區過渡區可以發現,水文條件的不同導致沉積物粒徑組成差異明顯.總有機碳(TOC)和總氮(TN)均主要來自輸入到沉積物中的有機質.漫灣庫區中TOC和TN的含量從上游到下游均呈現上升的趨勢.在大朝山庫區,過渡區的沉積物中TOC和TN的含量與下游的湖泊區相似,均明顯高于河流區.漫灣庫區沉積物中TOC和TN整體含量均低于大朝山庫區.在過渡區和湖泊區,由于沉積條件優于河流區,導致水體中大量有機質隨懸移質沉積到沉積物中.沉積物中的細顆粒具有較高的比表面積,對碳、氮及金屬元素能表現出不同程度的吸附作用.在沉積物物理結構相似的條件下,輸入大朝山庫區沉積物中有機質要高于漫灣庫區,這是由于梯級水壩的攔截作用使上下游庫區有機質源輸入強度不同所致.
表1 沉積物中重金屬、總有機碳、總氮以及中值粒徑分布
從各庫區的上游到下游,重金屬元素中所有元素均與TOC和TN呈現相似的空間變化趨勢.在漫灣庫區,Cd和Pb元素的空間變異系數均高于0.4,Al和Cr元素空間變異系數均低于0.3,其余金屬元素空間變異系數均位于0.3~0.4之間.在大朝山庫區,除Al和As元素變異系數低于0.3外,其余金屬元素變異系數均高于0.4.空間差異性較大的金屬元素受水電建設影響較為明顯;空間差異較小的金屬元素以沉積物母質影響為主.空間根據兩個庫區重金屬元素均值對比結果來看,砷(As)、鎘(Cd)和鋅(Zn)元素的含量在漫灣庫區較高;鉻(Cr)、錳(Mn)、鎳(Ni)和鉛(Pb)元素的含量在大朝山庫區較高;銅(Cu)元素含量在兩個庫區差異較小.這一方面是由于梯級水壩的攔截效應,從漫灣庫區下泄到大朝山庫區的泥沙受漫灣大壩攔截而減少了40%以上;另一方面是梯級水壩的時間效應,由于漫灣水壩運行時間長于大朝山水壩,所以在外來源輸入強度相同的條件下,漫灣庫區的沉積物積累重金屬的量可能高于大朝山庫區.Cd、As、Zn元素主要來源于電鍍廠、金屬冶煉和采砂場,這些重金屬在漫灣庫區及其上游的外源輸入和漫灣水壩較長運行時間內的累積效應可能是造成漫灣庫區含量較高的主要原因.由于Cu屬于生命構成元素,在沉積物中常與有機質結合.Cr、Ni、Mn元素的差異可能受到庫區周邊土壤中原生礦物質和外來輸入源差異性的共同影響,需要從賦存形態角度進一步分析.實地調查結果表明,大朝山庫區兩岸農田面積比例明顯高于漫灣庫區.梯田內農作物的種植帶來更多的有機質和農藥殘留的輸入,造成了Mn、Pb元素在大朝山庫區含量上升.
3.2 沉積物中重金屬元素賦存形態分析
沉積物中不同賦存形態重金屬含量見圖 2.各區域沉積物中的As元素主要以殘渣態為主,其次是有機質態,其余形態含量較少.殘渣態的As元素在漫灣的過渡區和湖泊區含量明顯高于大朝山庫區.各庫區中,有機質態As呈現出從河流區到湖泊區上升的趨勢.Cd元素主要以可交換態為主,其余形態含量相近.從河流區到湖泊區,各庫區均呈現可交換態Cd含量逐漸上升的趨勢,且漫灣庫區整體高于大朝山庫區.Cr元素主要以殘渣態為主,其含量從河流區到湖泊區逐漸上升,且大朝山庫區殘渣態Cr含量明顯高于漫灣庫區的相同區域.Cu元素主要以殘渣態和有機質態為主,除漫灣庫區的湖泊區外,其余區域殘渣態含量均高于有機質態.殘渣態和有機質態Cu元素從河流區到湖泊區均呈現含量升高的趨勢.Mn元素主要以可交換態和殘渣態為主,且在各區域中可交換態含量均高于殘渣態.還原態Mn元素含量僅次于可交換態和殘渣態,在大朝山庫區的湖泊區中也同樣占有較高的比例.從河流區到湖泊區,Mn元素的主要賦存形態的含量均呈現上升的趨勢.Ni元素主要以殘渣態為主,其空間變化趨勢與Cr元素相同.Pb元素在漫灣庫區主要以可還原態、有機質態和殘渣態為主.從漫灣庫區的上游到壩前,可還原態和有機質態Pb元素含量呈現上升的趨勢,有機質態比重逐漸增加.Pb元素在大朝山庫區主要以有機質態和殘渣態為主,有機質態和殘渣態從河流區到湖泊區呈現上升的趨勢,且有機質態比重增加較為明顯.Zn元素主要以殘渣態為主,其余賦存形態含量相似.在漫灣庫區,過渡區的殘渣態Zn含量與其他形態較為接近,其余區域殘渣態含量明顯高于其他形態.漫灣庫區Zn元素除殘渣態外的賦存形態含量均高于大朝山庫區.大朝山庫區Zn殘渣態含量明顯高于漫灣庫區同區域的含量.
圖2 重金屬賦存形態空間分布
在重金屬的不同賦存形態中,可交換態屬于較易釋放的形態,可還原態、有機質態和硫化物態屬于較難釋放的形態,殘渣態屬于極難釋放的形態.殘渣態的重金屬元素對環 境風險極小,然而可交換態比重較高的元素(Cd和Mn)應重點關注.以有機質態為主的重金屬元素,可能源自于有機質的直接輸入,或者由可交換態與有機質官能團的絡合作用,其空間分布與有機質呈現一致性.殘渣態主要來自于土壤母質,以殘渣態為主的重金屬元素主要受到區域背景值的影響.受水壩建設影響,這些重金屬元素較易隨懸移質沉積于過渡區和湖泊區的庫底,但是并不受到沉積物中有機質蓄積的影響.總體上,在水壩建成后,重金屬元素在有機質蓄積和細顆粒含量上升的影響下,造成在庫區的過渡區和湖泊區沉積物中含量較高.根據我們以前在本區域的研究結果,Cd和As的潛在生態風險較高,其余元素處于低風險或無風險等級.本研究中As元素主要以殘渣態和有機質態為主,盡管受水壩建設影響,大量沉積在過渡區和湖泊區,但在有機碳大量蓄積的環境中,較難釋放于水環境中,其潛在風險可以降低.Cd元素主要是可交換態為主,當水體酸性增加時,較易釋放到水體中,被水生生物所吸收,應重點關注.雖然Mn元素的可交換態含量較高,但由于其全量處于安全濃度范圍內,因此風險較小.本研究中,因水庫建設導致的有機質蓄積效應對As、Cu、Mn和Pb元素的螯合固定作用較為明顯,增強了重金屬蓄積在沉積物中的穩定性.但是,由于有機質在活性有機質的作用下,也存在礦化作用的風險,因此有機質態重金屬元素也具有釋放的可能性.
3.3 重金屬賦存形態相關性分析
表 2分別表示8種重金屬元素的賦存形態的相 關性分析.由表 2可知,As的可交換態與有機質態和中值粒徑呈顯著相關;可還原態與硫化物態和殘渣態呈現顯著相關;有機質態與中值粒徑、TOC和TN均呈現顯著相關.硫化物態與殘渣態、TN呈現顯著相關.由表 3可知,Cd的可交換態與除殘渣態外的賦存形態呈顯著相關;可還原態與有機質態、殘渣態以及中值粒徑、TOC和TN呈顯著相關;有機質態與除可還原態外的指標呈現顯著相關;殘渣態與中值粒徑呈現顯著相關.Cr的賦存形態中,除了可還原態與中值粒徑外,其余形態均與各指標之間呈現顯著相關關系.除了Cu的可交換態與殘渣態、硫化物態與殘渣態之外,各賦存形態之間均呈現顯著相關關系;TOC和TN與有機質態和殘渣態呈現顯著相關.Mn、Ni元素各賦存形態與各指標之間均呈現顯著相關關系.Pb的可交換態與可還原態之間呈現顯著相關;可還原態與有機質態和中值粒徑呈顯著相關;有機質態與除可交換態外指標均呈現顯著相關;硫化物態與殘渣態、中值粒徑、TOC和TN均呈現顯著相關關系.Zn元素的可交換態與可還原態、硫化物態呈顯著相關;有機質態與殘渣態、中值粒徑、TOC和TN呈現顯著相關;硫化物態與中值粒徑呈現顯著相關關系.
表2 重金屬元素賦存形態相關性分析
|
可交換態 |
可還原態 |
有機質態 |
硫化物態 |
殘渣態 |
中值粒徑 |
TOC |
TN | ||
|
Cd |
可交換態 |
1.00 |
0.810* * |
0.713* * |
0.580* * |
0.38 |
-0.37 |
0.16 |
0.06 |
|
|
可還原態 |
|
1.00 |
0.792* * |
0.40 |
0.442* |
-0.726* * |
0.544* * |
0.471* |
|
|
有機質態 |
|
|
1.00 |
0.425* |
0.556* * |
-0.637* * |
0.527* * |
0.472* |
|
|
硫化物態 |
|
|
|
1.00 |
0.17 |
-0.28 |
-0.17 |
-0.22 |
|
|
殘渣態 |
|
|
|
|
1.00 |
-0.474* |
0.34 |
0.38 |
|
As |
可交換態 |
1.00 |
0.27 |
0.566* * |
0.22 |
0.35 |
-0.442* |
0.27 |
0.23 |
|
|
可還原態 |
|
1.00 |
0.32 |
0.757* * |
0.889* * |
-0.12 |
-0.31 |
-0.39 |
|
|
有機質態 |
|
|
1.00 |
0.05 |
0.39 |
-0.841* * |
0.692* * |
0.655* * |
|
|
硫化物態 |
|
|
|
1.00 |
0.803* * |
-0.06 |
-0.40 |
-0.434* |
|
|
殘渣態 |
|
|
|
|
1.00 |
-0.34 |
-0.14 |
-0.23 |
|
Cr |
可交換態 |
1.00 |
0.438* |
0.498* |
0.526* * |
0.642* * |
-0.714* * |
0.728* * |
0.700* * |
|
|
可還原態 |
|
1.00 |
0.438* |
0.556* * |
0.450* |
-0.39 |
0.441* |
0.422* |
|
|
有機質態 |
|
|
1.00 |
0.967* * |
0.953* * |
-0.690* * |
0.812* * |
0.825* * |
|
|
硫化物態 |
|
|
|
1.00 |
0.933* * |
-0.617* * |
0.803* * |
0.825* * |
|
|
殘渣態 |
|
|
|
|
1.00 |
-0.765* * |
0.861* * |
0.880* * |
|
Cu |
可交換態 |
1.00 |
0.808* * |
0.587* * |
0.748* * |
0.22 |
-0.600* * |
0.23 |
0.14 |
|
|
可還原態 |
|
1.00 |
0.550* * |
0.632* * |
0.430* |
-0.665* * |
0.28 |
0.27 |
|
|
有機質態 |
|
|
1.00 |
0.458* |
0.814* * |
-0.836* * |
0.861* * |
0.818* * |
|
|
硫化物態 |
|
|
|
1.00 |
0.27 |
-0.585* * |
0.18 |
0.14 |
|
|
殘渣態 |
|
|
|
|
1.00 |
-0.845* * |
0.871* * |
0.904* * |
|
Mn |
可交換態 |
1.00 |
0.620* * |
0.720* * |
0.828* * |
0.873* * |
-0.815* * |
0.902* * |
0.895* * |
|
|
可還原態 |
|
1.00 |
0.772* * |
0.637* * |
0.740* * |
-0.538* * |
0.636* * |
0.672* * |
|
|
有機質態 |
|
|
1.00 |
0.745* * |
0.761* * |
-0.539* * |
0.582* * |
0.593* * |
|
|
硫化物態 |
|
|
|
1.00 |
0.844* * |
-0.695* * |
0.757* * |
0.763* * |
|
|
殘渣態 |
|
|
|
|
1.00 |
-0.842* * |
0.762* * |
0.770* * |
|
Ni |
可交換態 |
1.00 |
0.819* * |
0.708* * |
0.851* * |
0.833* * |
-0.729* * |
0.862* * |
0.821* * |
|
|
可還原態 |
|
1.00 |
0.568* * |
0.738* * |
0.759* * |
-0.865* * |
0.712* * |
0.678* * |
|
|
有機質態 |
|
|
1.00 |
0.891* * |
0.887* * |
-0.671* * |
0.779* * |
0.787* * |
|
|
硫化物態 |
|
|
|
1.00 |
0.925* * |
-0.761* * |
0.845* * |
0.859* * |
|
|
殘渣態 |
|
|
|
|
1.00 |
-0.829* * |
0.916* * |
0.935* * |
|
Pb |
可交換態 |
1.00 |
0.921* * |
0.23 |
0.04 |
-0.31 |
-0.16 |
-0.05 |
-0.12 |
|
|
可還原態 |
|
1.00 |
0.410* |
0.20 |
-0.25 |
-0.405* |
0.18 |
0.11 |
|
|
有機質態 |
|
|
1.00 |
0.917* * |
0.653* * |
-0.749* * |
0.791* * |
0.787* * |
|
|
硫化物態 |
|
|
|
1.00 |
0.750* * |
-0.711* * |
0.673* * |
0.695* * |
|
|
殘渣態 |
|
|
|
|
1.00 |
-0.418* |
0.484* |
0.537* * |
|
Zn |
可交換態 |
1.00 |
0.929* * |
0.15 |
0.653* * |
-0.15 |
-0.22 |
-0.02 |
-0.13 |
|
|
可還原態 |
|
1.00 |
0.13 |
0.774* * |
-0.15 |
-0.28 |
-0.11 |
-0.20 |
|
|
有機質態 |
|
|
1.00 |
0.34 |
0.800* * |
-0.562* * |
0.473* |
0.435* |
|
|
硫化物態 |
|
|
|
1.00 |
0.12 |
-0.463* |
0.00 |
-0.06 |
|
|
殘渣態 |
|
|
|
|
1.00 |
-0.767* * |
0.798* * |
0.821* * |
|
注:**為在0.01水平(雙側)上顯著相關;*為在0.05水平(雙側)上顯著相關. | |||||||||
本研究中,有機質態重金屬元素均與TOC和TN呈現顯著正相關,表明此賦存形態受有機質含量影響明顯.同屬于次生相的各個賦存形態之間的顯著相關關系表明各形態之間存在轉化關系.賦存形態與中值粒徑顯著相關關系表明此類重金屬的空間分布受到沉積物的吸附能力和水壩建成后改變的水文條件的影響.
3.4 重金屬污染水平評價
從重金屬污染水平結果可知(表 3),As、Cr、Ni在研究區各河段均呈現無污染水平.Cd元素在各區域均呈現重度污染水平,尤其是在各庫區的過渡區和湖泊區的污染水平較高,漫灣庫區的Cd污染水平明顯高于大朝山庫區.Cu元素在各個庫區均呈現輕度-中度污染水平,在漫灣庫區的過渡區和湖泊區污染水平最高,處于中度污染.Mn元素在漫灣庫區的河流區和過渡區呈現輕度污染,在漫灣庫區的湖泊區和大朝山庫區的整個河段均呈現中度污染水平.Pb元素在漫灣庫區的過渡區和湖泊區均呈現重度污染,在其余河段處于輕度-中度污染水平.Zn元素在漫灣庫區處于輕度-中度污染水平,在大朝山庫區處于無污染狀態.考慮到RSP法僅考慮次生相與原生相的比例關系,未考慮各區域環境本底值的差異和惰性金屬元素(Al、Fe)的影響,因此RSP結果僅可以表征外來源輸入導致影響程度,不足以表征重金屬元素對于水質和水生生物產生的生態風險大小.考慮到本研究區重金屬污染較嚴重的河段較深,其沉積環境較難受到外界環境因素的干擾,因此污染程度比具有相同RSP值的淺水湖泊低. 具體參見污水寶商城資料或http://m.bnynw.com更多相關技術文檔。
表3 沉積物RSP污染水平結果
4 結論瀾滄江中游漫灣和大朝山梯級水壩的建成和運行,使得水中懸移質更容易沉積,顯著改變庫區沉積物的粒徑組成.由于在過渡區和湖泊區沉積條件較好且沉積物細顆粒含量較高,沉積物中碳、氮元素蓄積明顯.沉積物中細顆粒組分的吸附能力和有機碳的絡合作用使得重金屬元素在過渡區和湖泊區蓄積含量高于河流區.沉積物中Cd和Mn的可交換態明顯高于其余提取的形態,且與其他形態相關性較高,表明其較易釋放到水環境中,形成直接的生態影響.Cu和Pb的各賦存形態以有機質態為主,且與除可交換態外的形態均呈現顯著相關,表明其在有機質礦化的情境下可能產生直接生態影響.其余以殘渣態為主的重金屬元素對河流環境影響較小.在水壩建設影響下,Cd、Mn、Pb和Cu元素在壩前地區污染水平較高,尤其是Cd以可交換態為主,其生態風險管理應予以重視.




