氧化溝是一種改良型循環流動式活性污泥法,一般采用低負荷延時曝氣的方式運行,具有維護運行簡便、處理效果穩定等特點。目前各種類型的氧化溝已經在污水處理廠中得到應用。近年來微孔曝氣氧化溝通過采用曝氣和推流功能相分離的方式,具有便于獨立控制及低能耗等特點,應用日趨增加。根據龐各莊污水處理廠水質與水量特點,考慮到脫氮除磷要求,采用了微孔曝氣氧化溝工藝,取得了較好的效果。
1工程概況
龐各莊污水處理廠位于北京市大興區龐各莊鎮區南部,在原有污水廠占地范圍內改擴建而成,總占地面積58512m2,總投資7149萬元污水廠處理規模近期為1.1萬m3/d,遠期1.4萬m3/d主要處理城市污水,生物處理采用厭氧+微曝氧化溝工藝,污水廠工藝流程見圖1。
圖1工藝流程
工藝設計充分考慮到脫氮除磷,采用前置厭氧+微孔曝氣氧化溝工藝,總水力停留時間13.25h,其中厭氧段2.0h,設計BOD5污泥負荷0.08kg/(kgd),污泥濃度4000mg/L,污泥齡26d,回流污泥比:60%~100%污水廠設計出水要求達到GB189182002城鎮污水處理廠污染物排放標準中的一級B排放標準污水處理廠進出水水質指標見表1。

2主要設備與構筑物設計參數
2.1預處理段
回轉式機械格柵2臺,柵條間隙25mm,渠寬1.0m,渠高10.0m,安裝傾角為=75°進水泵站:潛污泵3臺,揚程15m,流量360m3/h轉股式細格柵2臺,柵條間隙6mm,渠寬0.8m,渠高2.0m,安裝傾角為=75°沉砂砂水分離一體化旋流沉砂池2座,直徑2.5m,處理量720m3/h。
2.2生物處理段
1)厭氧池厭氧池兩座,采用矩形鋼筋混凝土結構,平均設計流量為1.1萬m3/d,每組池長18m,寬6m,有效水深5m,池內設有4臺潛水推流攪拌器,直徑400mm。
2)微曝氧化溝設計2組,每組有4條廊道相連,結構尺寸為長40m,寬16m(每個廊道寬4m),有效水深4m陶瓷管狀微孔曝氣器尺寸為75mm×750mm水下推流器8臺,直徑2500mm離心式鼓風機2臺,規格35~51m3/min,壓力58800Pa,功率90kW3)沉淀池單管吸泥輻流式沉淀池,周邊進水及出水,直徑20m,池邊水深4.0m平均流量表面負荷0.83m3/(m2h),最大流量表面負荷1m3/(m2h),停留時間5.5h。
2.3污泥處理段
1)回流污泥泵站螺旋離心式潛水泵3臺(其中1臺為變頻),單泵流量250m3/h,揚程6m2)污泥脫水機房脫水機房由設備間配電控制室儲藏室和值班室組成,設備間平面尺寸12m×12m共有帶式脫水機2臺,處理量15m3/h絮凝劑投加裝置2套污泥輸送泵2臺,單泵流量20m3/h,水平無軸螺旋輸送機1臺,直徑280mm,長度5m傾斜螺旋輸送機1臺,長度10m加藥泵2臺,流量2m3/h,沖洗水泵2臺,流量25m3/h。
3活性污泥的培養馴化
活性污泥的培養馴化可以采用間歇培養低負荷培養滿負荷培養及接種培養等方式,幾種方式各有利弊,接種培養與其他幾種方式相比,最大的優點是培菌時間短,見效快龐各莊污水廠屬于小型污水處理廠,且附近已有大型氧化溝污水處理廠,可以較方便的運送活性污泥因此采用接種培養的方案2009年8月3日開始進行活性污泥培養,采用附近污水處理廠的濃縮污泥接種接種污泥濃度79.5%,接種污泥量為每座氧化溝20t,接種后的北氧化溝污泥濃度996mg/L,南氧化溝污泥濃度1338mg/L接種期間及接種后進行悶曝,經測定:南氧化溝內溝DO:3.4mg/L,外溝:3.2mg/L;北氧化溝內溝DO:6.4mg/L,外溝DO:6.0mg/L取樣觀察微生物相,發現有少量污泥絮體形成,污泥絮體較分散,顏色較好,但沒有觀察到細菌活動跡象由于污泥接種數量控制不嚴格導致兩個氧化溝濃度有差距,DO分布不均勻,在以后的幾天調節進氣量,降低北氧化溝內DO。
8月45日,北氧化溝內的白色泡沫溢出氧化溝,水面高度達1.5m左右,對溢出的泡沫進行沖水打碎處理,并短時停止北溝的曝氣,待去除泡沫后繼續曝氣8月7日進行間歇進出水到10日采用連續進出水方式,8月14日取樣觀測微生物相,發現鐘蟲,呈單個個體生長且活性良好。
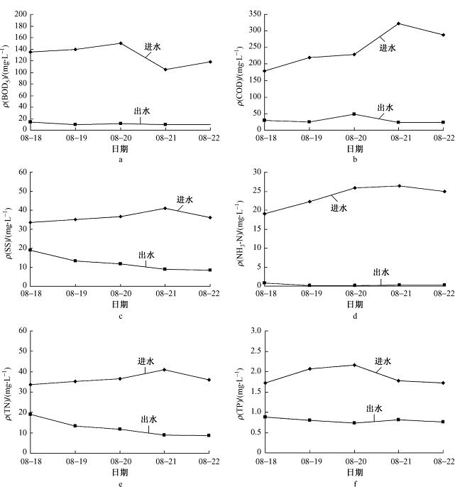
8月1822日對污水廠進出水各指標進行連續監測,監測結果見圖2由圖2可知,工藝不僅對CODBODSS有較高去除率,達90%以上,而且對NH3-NTN及TP的去除也十分有效出水水質達GB189182002一級B標準。
4調試中的問題。具體參見http://m.bnynw.com更多相關技術文檔。
8月10日水廠連續進出水后,實際管網輸送的來水水量大大低于設計值,設計進水量為1.1萬而實際進水僅為0.2萬t,不足設計負荷的20%目前進水量過小使得底物濃度偏低,導致微生物營養不足,活性污泥生長緩慢雙系列運行時氧化溝MLSS僅為1500mg/L這種情況會隨著上游配套管網落實水量增加逐步加以解決。
5運行效果
經過系統調試及污水收集管網逐步完善,進水負荷增加到設計值的50%~60%,2009年910月該工藝運行良好,出水水質穩定,不同污染物的平均去除率如圖3所示由圖3可知,BOD5CODSS及NH3-N去除效率均很高,分別為91.4%88%87.7%和98.6%而TNTP去除率相對較低,分別僅為66.3%和57.6%,說明系統脫氮除磷能力有待進一步強化提高。

圖2 各污染物的進水出水水質

6結語
1)龐各莊污水廠采用厭氧+微孔曝氣氧化溝工藝處理污水是可行的,該工藝運行穩定且污染物去除效率高,出水水質可達GB189182002的一級B排放標準。
2)采用直接接種培養具有培養時間短,效率高的特點,在有條件的污水廠可以優先選用此方式進行污泥培養。
3)調試后,龐各莊污水廠微曝氧化溝工藝運行良好,BOD5CODSS及NH3-N去除效率分別為91.4%88%87.7%及98.6%,而TNTP去除率較低,分別為66.3%和57.6%,系統的脫氮除磷效率有待進一步提高。


