公布日:2023.09.12
申請日:2023.06.27
分類號:C08F220/56(2006.01)I;C08F220/34(2006.01)I;C08F220/40(2006.01)I;C08F2/48(2006.01)I;C02F11/148(2019.01)I;C02F11/147(2019.01)I
摘要
本發明提供一種含有三維網狀有機聚合物的污泥處理劑及其應用,該含有三維網狀有機聚合物的污泥處理劑具有如下式Ⅰ所示的結構。本發明制得的污泥處理劑對污泥處理時能降低污泥的濾餅含水率、污泥指數以及污泥比阻,沉降性能好且污泥含水率降低明顯。
權利要求書
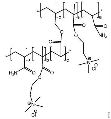
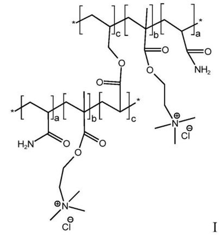
1.一種含有三維網狀有機聚合物的污泥處理劑,其特征在于:所述三維網狀有機聚合物具有如下式Ⅰ所示的結構:

其中,a、b、c均表示整數,*表示化學鍵的連接點位。
2.根據權利要求1所述的一種含有三維網狀有機聚合物的污泥處理劑,其特征在于:所述a:b:c=10000:(2000-3000):(1-2)。
3.根據權利要求1所述的一種含有三維網狀有機聚合物的污泥處理劑,其特征在于:所述三維網狀有機聚合物的制備,包括以下步驟:(1)將丙烯酰胺、2-甲基丙烯酰氧基乙基三甲基氯化銨投入石英反應瓶中,加入超純水,充分攪拌,配制成混合試劑;(2)將步驟(1)的石英反應瓶抽真空,充入氮氣平衡壓力,并調節反應體系pH值,繼續投入引發劑溶液,其中,引發劑占丙烯酰胺和2-甲基丙烯酰氧基乙基三甲基氯化銨總質量的0.1-0.3%;(3)將步驟(2)的石英反應瓶進行紫外光照射,在不斷攪拌下進行光催化聚合反應,并通過注射器將丙烯酸烯丙酯投入到石英反應瓶中繼續進行反應,投入速度為(10-30)s/滴;(4)將步驟(3)反應后的反應液加入大量乙醇、過濾收集到的白色固體,烘干粉碎,制得含有三維網狀有機聚合物的污泥處理劑。
4.根據權利要求3所述的一種含有三維網狀有機聚合物的污泥處理劑,其特征在于:步驟(1)中,丙烯酰胺和2-甲基丙烯酰氧基乙基三甲基氯化銨的質量之和占混合試劑總質量的5-30%。
5.根據權利要求1所述的一種含有三維網狀有機聚合物的污泥處理劑,其特征在于:所述三維網狀有機聚合物為污泥處理劑總質量的0.05-99.9%。
6.根據權利要求1所述的一種含有三維網狀有機聚合物的污泥處理劑,其特征在于:還包含凈水劑,所述凈水劑包括沸石粉、膨潤土和滑石粉中的至少一種。
7.根據權利要求6所述的一種含有三維網狀有機聚合物的污泥處理劑,其特征在于:所述凈水劑的粒度為150-400目。8.根據權利要求1所述的一種含有三維網狀有機聚合物的污泥處理劑,其特征在于:還包含陽離子表面活性劑,所述陽離子表面活性劑為十六烷基三甲基氯化銨、十四烷基三甲基溴化銨中的至少一種。
9.根據權利要求1所述的一種含有三維網狀有機聚合物的污泥處理劑,其特征在于:還包含助劑,所述助劑為羧甲基纖維素鈉、檸檬酸中的至少一種。
10.根據權利要求1-9任一項所述的一種含有三維網狀有機聚合物的污泥處理劑在污泥處理中的應用。
發明內容
本發明的目的在于提供一種含有三維網狀有機聚合物的污泥處理劑及其應用,以解決上述背景技術中提出的問題。
為實現上述目的,本發明提供如下技術方案:一方面,本發明提供一種含有三維網狀有機聚合物的污泥處理劑,所述三維網狀有機聚合物具有如下式Ⅰ所示的結構:

其中,a、b、c均表示整數,*表示化學鍵的連接點位。
作為進一步的改進,所述a:b:c=10000:(2000-3000):(1-2)(a:b:c例如可以為10000:2000:1、10000:2200:1、10000:2500:1、10000:2600:1、10000:2800:1、10000:3000:1、10000:2000:2、10000:2200:2、10000:2500:2、10000:2600:2、10000:2800:2、10000:3000:2中的一種),優選地,a:b:c=10000:(2500-3000):(1-2)。
作為進一步的改進,為了具有更好的沉降性能、且污泥含水率降低明顯,本發明含有三維網狀有機聚合物的污泥處理劑優選含有至少兩種式Ⅰ化合物組成的組。
作為進一步的改進,所述三維網狀有機聚合物的制備,包括以下步驟:
(1)將丙烯酰胺、2-甲基丙烯酰氧基乙基三甲基氯化銨投入石英反應瓶中,加入超純水,充分攪拌,配制成混合試劑;
(2)將步驟(1)的石英反應瓶抽真空,充入氮氣平衡壓力,并調節反應體系pH值,繼續投入引發劑溶液,其中,引發劑占丙烯酰胺和2-甲基丙烯酰氧基乙基三甲基氯化銨總質量的0.1-0.3%(例如,可以為0.1%、0.15%、0.2%、0.25%、0.3%中的一種),引發劑溶液為引發劑和水混合后的溶液;
(3)將步驟(2)的石英反應瓶進行紫外光照射,在不斷攪拌下進行光催化聚合反應,并通過注射器將丙烯酸烯丙酯投入到石英反應瓶中繼續進行反應,投入速度為(10-30)s/滴,(例如,可以為10s/滴、20s/滴、30s/滴中的一種);
(4)將步驟(3)反應后的反應液加入大量乙醇、過濾收集到的白色固體,烘干粉碎,制得含有三維網狀有機聚合物的污泥處理劑。
作為進一步的改進,步驟(1)中,丙烯酰胺和2-甲基丙烯酰氧基乙基三甲基氯化銨的質量之和占混合試劑總質量的5-30%(例如,可以為5%、10%、15%、20%、25%、30%中的一種),優選地,為了提高制備含有三維網狀有機聚合物的污泥處理劑的產率,步驟(1)中,丙烯酰胺和2-甲基丙烯酰氧基乙基三甲基氯化銨的質量之和占混合試劑總質量的10-15%。
作為進一步的改進,為了促進反應的進行,步驟(2)中的引發劑溶液所使用的的引發劑例如可以為偶氮脒類引發劑、偶氮腈類引發劑等中的至少一種,其中偶氮脒類引發劑包括V40引發劑、V50引發劑中的至少一種,偶氮腈類引發劑為VA-044引發劑、VA-086引發劑。
作為進一步的改進,為了促進反應的進行,步驟(2)引發劑溶液中的引發劑占引發劑溶液總質量的1-5%。
作為進一步的改進,所述三維網狀有機聚合物為污泥處理劑總質量的0.05-99.9%(例如,可以為0.05%、1%、5%、10%、15%、20%、25%、30%、35%、40%、50%、60%、70%、80%、90%、95%、98%中的一種)。
作為進一步的改進,還包含凈水劑,所述凈水劑包括沸石粉、膨潤土和滑石粉中的至少一種。
作為進一步的改進,所述凈水劑的粒度為150-400目。
作為進一步的改進,還包含陽離子表面活性劑,所述陽離子表面活性劑為十六烷基三甲基氯化銨、十四烷基三甲基溴化銨中的至少一種。
作為進一步的改進,還包含助劑,所述助劑為羧甲基纖維素鈉、檸檬酸中的至少一種。
另一方面,本發明還提供一種含有三維網狀有機聚合物的污泥處理劑在污泥處理中的應用。
與現有技術相比,本發明的有益效果是:本發明制得的污泥處理劑對污泥處理時能降低污泥的濾餅含水率、污泥指數以及污泥比阻,沉降性能好且污泥含水率降低明顯;
另外,三維網狀有機聚合物相對現有的聚丙烯酰胺,不僅保留了聚丙烯酰胺的結構規整度以及在酸性或堿性介質中均呈現陽電性的特性,具有能與污泥發生纏繞及起到電中和作用,讓污泥之間的作用力消失,具有較好的沉降脫水效果外,還由于丙烯酸烯丙酯、2-甲基丙烯酰氧基乙基三甲基氯化銨的加入,使制得的三維網狀有機聚合物為三維網狀結構,而不再是線型結構,污泥處理時,能夠更好的將污泥分割開,從而具有更好的沉降脫水效果。
(發明人:林君峰;羅誠;林國清)






